新浪财经 债券

中金所:银保参与国债期货市场百问百答(一)

新浪财经

关注

文:中金所

一、国债期货概述

1、什么是国债期货?

国债期货作为利率期货的一个主要品种,是指买卖双方通过有组织的交易场所,约定在未来特定时间,按预先确定的价格和数量进行券款交收的国债交易方式。国债期货具有可以主动规避利率风险、交易成本低、流动性高和信用风险低等特点。

2、国际上国债期货的发展历程是怎样的?

在国际市场上,国债期货是历史悠久、运作成熟的基础金融衍生产品之一。20世纪70年代,受布雷顿森林体系解体以及石油危机爆发的影响,西方主要发达国家的经济陷入滞涨,为了推动经济发展,各国政府纷纷推行利率自由化政策,导致利率波动加剧。在此背景下,国债期货在美国应运而生。

1976年1月,美国芝加哥商业交易所(CME)推出91天期国库券期货合约,标志着国债期货的诞生。经过四十多年的发展,目前在美国CME集团挂牌交易的国债期货产品共6个,即2年期、5年期、10年期、超10年期、长期和超长期美国国债期货,完整覆盖了美国国债收益率曲线的关键期限,是全球最具影响力的国债期货市场。

随后,其他国家与地区也逐步推出国债期货品种,全球国债期货市场快速发展。其中德国、英国、澳大利亚和韩国等国家的国债期货市场发展最为成功。见表2。

3、我国国债期货现在有哪些品种?

中金所于2013年9月6日上市5年期国债期货,2015年3月20日上市10年期国债期货,2018年8月17日上市2年期国债期货,基本形成了覆盖短中长端的国债期货产品体系。

4、国债期货合约标的为什么是名义标准券?

名义标准券是指现实中并不存在的,票面利率标准化、具有固定期限的虚拟券。采用名义标准券作为国债期货合约标的是国际通用做法。名义标准券的设计可以扩大可交割债券的范围,防止交易过程中期货价格被操纵,降低交割时的逼仓风险。

我国2年期国债期货合约标的是面值为200万元人民币、票面利率为3%的名义中短期国债;5年期国债期货合约标的是面值为100万元人民币、票面利率为3% 的名义中期国债;10年期国债期货合约标的是面值为100万元人民币、票面利率为3%的名义长期国债。

5、国债期货的合约面值是如何规定的?

合约面值是一张国债期货合约对应标的的名义价值,其数值应符合国债现货市场交易习惯并兼顾市场流动性和不同期限产品的特性。我国5年期和10年期国债期货合约面值为100万元人民币,2年期国债期货合约面值为200万元人民币。

6、国债期货的票面利率是如何规定的?

国债期货的票面利率是指国债期货合约对应的名义标准券的票面利率,是国债期货定价机制的核心参数之一。合理的票面利率设定可以有效预防价格操纵,减小逼仓风险,增强各可交割券之间的可替代性,有利于国债期货的平稳运行。我国国债期货合约的票面利率参考境外国债期货设计惯例,结合我国现货市场的收益率水平确定。2年期、5年期、10年期国债期货的票面利率均为3%。

7、我国国债期货采用什么交割方式?

我国国债期货采用实物交割制度。实物交割制度是国际上主要采用的国债期货交割制度,具有提高避险效率、促进债券市场流动性等优点。

8、国债期货的可交割券是如何规定的?

实物交割模式下,如果期货合约的卖方没有在合约到期前平仓,理论上需要用“名义标准券”去履约。但现实中“名义标准券”并不存在,因而交易所规定现实中存在的、满足一定期限要求的一篮子国债均可进行交割。

国债期货的可交割国债应满足以下条件:

(一)中华人民共和国财政部在境内发行的记账式国债;

(二)同时在全国银行间债券市场、上海证券交易所和深圳证券交易所上市交易;

(三)固定利率且定期付息;

(四)符合国债转托管的相关规定;

(五)交易所规定的其他条件。

不同国债期货合约的可交割国债,还需满足合约条款规定的期限等相关条件。目前,2年期国债期货合约的可交割国债为发行期限不高于5年,合约到期月份首日剩余期限为1.5-2.25年的记账式附息国债。5年期国债期货的可交割国债为发行期限不高于7年,合约到期月份首日剩余期限为4-5.25年的记账式附息国债。10年期国债期货合约的可交割债券为发行期限不高于10年,合约到期月份首日剩余期限不低于6.5年的记账式附息国债。

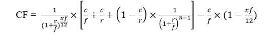
9、什么是国债期货的转换因子?

在名义标准券设计下,国债期货合约对应了一篮子可交割券,可交割国债和名义标准券之间的价格通过一个转换比例进行换算,这个比例就是通常所说的转换因子。转换因子实质上是面值1元的可交割国债在其剩余期限内的现金流按国债期货合约票面利率折现的现值,其计算公式如下:

其中,

r: 国债期货合约名义票面利率

x: 交割月到可交割国债下一付息月的月份数

n: 可交割国债剩余付息次数

f: 可交割国债每年付息次数

c: 可交割国债票面利率

计算结果四舍五入,保留到小数点后4位。

交易所会在新合约上市或新发债券纳入可交割券范围时公布转换因子。

10、国债期货的报价方式是如何规定的?

国债期货的报价方式通常与现货市场保持一致,采用百元净价报价。百元报价是指以假定债券面额100元为单位进行报价,净价报价是指以不含应计利息的价格报价。国债期货的合约价值为“价格×合约面值÷100”。

11、国债期货的最小变动价位是如何规定的?

国债期货最小变动价位是指期货交易时的最小报价单位,是两个不同委托价格的最小价格差,是国债期货合约微观结构的重要参数。目前,2年期、5年期、10年期国债期货合约的最小变动价位均为0.005元。国债期货价格变动一个最小变动价位,每手持仓的实际损益为“0.005×合约面值÷100”。

12、国债期货的合约月份是如何规定的?

国债期货的合约月份是指期货合约到期,进入实物债券交割的月份。国债期货的合约月份为最近的三个季月,即3月、6月、9月、12月四个月中,最近的三个月份,由近及远分别称为当季、下季和远季合约。

13、国债期货的交易代码是如何规定的?

每个国债期货产品和合约都有其对应的交易代码。2年期、5年期和10年期国债期货的交易代码分别为TS、TF和T。国债期货合约的交易代码生成规则是“产品代码+交割年份(两位数)+交割月份(两位数)”。例如,2019年3月交割的2年期、5年期和10年期国债期货合约的交易代码分别为TS1903、TF1903和T1903。

14、国债期货的交易时间是如何规定的?

一般交易日,国债期货交易时间为上午9:15-11:30,下午13:00-15:15,最后交易日交易时间为上午9:15-11:30。

14、国债期货的最后交易日是如何规定的?

最后交易日指合约挂盘交易的最后一个交易日。国债期货产品各合约的最后交易日为合约到期月份的第二个星期五。如果当天是法定节假日则向后顺延。

15、国债期货的交易方式有哪些?

国债期货目前有集合竞价、连续竞价及期转现三种交易方式。集合竞价是指对在规定时间内接受的买卖申报一次性集中撮合的竞价方式。连续竞价是指对买卖申报逐笔连续撮合的竞价方式。期转现交易是指交易双方协商一致,同时买入(卖出)交易所期货合约和卖出(买入)交易所规定的有价证券或者其他相关合约的交易行为。

16、什么是国债期货的滚动交割和集中交割?

国债期货的滚动交割是指合约进入交割月份后至最后交易日之前,由卖方主动提出交割申报,并由交易所组织匹配双方在规定的时间内完成交割。集中交割是指合约最后交易日收市后的未平仓部分按照交易所的规定进入交割。

17、国债期货的最后交割日是如何规定的?

国债期货最后交割日的设定主要考虑最后交易日和最后交割日之间间隔,即考虑债券结算、跨市场过户的时间。国债期货的最后交割日设定为最后交易日后的第三个交易日。

18、国债期货的开盘价、收盘价是怎么确定的?

开盘价是指某一合约经集合竞价产生的成交价格。集合竞价未产生成交价格的,以开盘集合竞价后第一笔成交价为开盘价。

收盘价是指某一合约当日交易的最后一笔成交价格。

19、国债期货合约的涨跌停板是如何规定的?

涨跌停板,是指合约在1个交易日中的交易价格不得高于或者低于规定的涨跌幅度,超出该涨跌幅度的报价将被视为无效,不能成交。例如,10年期国债期货合约的每日价格最大波动限制是上一交易日结算价的±2%。合约上市首日涨跌停板幅度为挂盘基准价的±4%。上市首日有成交的,于下一交易日恢复到合约规定的涨跌停板幅度;上市首日无成交的,下一交易日继续执行前一交易日的涨跌停板幅度。如上市首日连续三个交易日无成交的,交易所可以对挂盘基准价作适当调整。

20、国债期货合约的交易保证金是如何规定的?

交易保证金是指结算会员存入交易所专用结算账户中确保履约的资金,是已被合约占用的保证金。期货合约买卖双方成交后,交易所按照持仓合约价值的一定比率或交易所规定的其他方式向双方收取交易保证金。交易所按买入和卖出的持仓量分别收取交易保证金。

以10年期国债期货为例,合约的最低交易保证金标准为合约价值的2%。其中,合约价值=合约价格×(合约面值/100元)。自交割月份之前的两个交易日结算时起,交易保证金标准为合约价值的3%。目前对同一客户号在同一会员处的2年期、5年期、10年期国债期货的跨品种双向持仓(合约在交割月份前一个交易日收盘后除外),按照交易保证金单边较大者收取交易保证金。

21、国债期货的当日结算价如何确定?

国债期货合约的当日结算价为集中交易中合约最后一小时成交价格按照成交量的加权平均价。计算结果保留至小数点后三位。

合约在该时段无成交的,以前一相应时段成交价格按照成交量的加权平均价作为当日结算价。该相应时段仍无成交的,则再往前推相应时段。以此类推。合约当日最后一笔成交距开盘时间不足相应时段的,则取全天成交量的加权平均价作为当日结算价。

合约当日无成交的,当日结算价计算公式为:当日结算价=该合约上一交易日结算价+基准合约当日结算价-基准合约上一交易日结算价,其中,基准合约为当日有成交的离交割月最近的合约。合约为新上市合约的,取其挂盘基准价为上一交易日结算价。基准合约为当日交割合约的,取其交割结算价为基准合约当日结算价。根据本公式计算出的当日结算价超出合约涨跌停板价格的,取涨跌停板价格作为当日结算价。

采用上述方法仍无法确定当日结算价或者计算出的结算价明显不合理的,交易所有权决定当日结算价。

22、国债期货的交割结算价如何确定?

国债期货合约最后交易日之前的交割结算价为卖方交割申报当日的结算价,最后交易日的交割结算价为集中交易中该合约最后交易日全部成交价格按照成交量的加权平均价。计算结果保留至小数点后三位。合约最后交易日无成交的,交割结算价计算公式为:交割结算价= 该合约上一交易日结算价+ 基准合约当日结算价-基准合约上一交易日结算价,其中,基准合约为当日有成交的离交割月份最近的合约。根据本公式计算出的交割结算价超出合约涨跌停板价格的,取涨跌停板价格作为交割结算价。

交易所有权根据市场情况对交割结算价进行调整。

二、商业银行和保险资金参与国债期货市场的国际经验

1、境外银行参与国债期货的情况如何?

在国际市场上,国债期货是历史悠久、运作成熟的基础类金融衍生产品,也是商业银行管理债券资产利率风险的重要工具,美国、德国、英国、澳大利亚、日本、韩国等国家的商业银行均已参与国债期货市场。

以美国市场为例,利率类衍生品是美国银行业使用最多的衍生品,其规模从1997年的18.99万亿美元逐步增长,2018年末其规模为168.18万亿美元。根据美国商品期货交易委员会(CFTC)定期公布的银行参与期货交易数据,2015年以来,参与国债期货交易的商业银行数量逐年增长,美国商业银行各品种国债期货持仓量和持仓占比不断提高。美国市场国债期货投资者结构与其现券市场投资者结构较为一致,银行在期现货市场的持仓占比大致相同。

2、境外银行参与国债期货市场发挥了怎样的作用?

境外市场发展经验表明,银行运用国债期货等利率衍生品,有效提升了风险管理能力,降低了利率风险敞口,促进信贷增长,提升服务实体经济能力。20世纪80年代中期前,美国银行业主要依靠传统的资产负债久期管理工具,如久期缺口分析(maturity gap)来管理利率风险。随着利率衍生品市场发展,80年代中期以后,美国银行业开始转向使用利率衍生品管理利率风险。银行运用国债期货等利率衍生品,降低了利率风险敞口,有助于其在不增加总风险水平的情况下增加贷款,提供更多中介服务,更好地服务实体经济。

3、境外保险资金参与国债期货的情况如何?

从境外经验看,不同类型保险公司的投资目的和策略有所差异,但普遍持有国债、高等级公司债等债券,需要通过国债期货等利率衍生品进行风险管理。国债期货在欧美保险资金中被广泛用于对冲利率风险、控制组合久期和增强投资收益,特别是对于负债久期长、利率风险敞口大的寿险公司而言,国债期货是其进行利率风险管理的重要工具。

以美国最大的寿险公司大都会人寿公司(MetLife)为例,其衍生品投资主要为基于风险管理目的的稳健投资。从衍生品类型来看,MetLife运用了多种类型的衍生品,基本实现了场内、场外衍生品的综合运用,包括国债期货在内的利率类衍生品在场内衍生品交易中占主导地位,占比达40%以上。

三、商业银行和保险资金参与国债期货市场的必要性和可行性

1、商业银行参与国债期货市场有什么意义?

商业银行是国债现券市场最重要的持债主体,参与国债期货交易具有重要意义。一是有助于提升国债期货市场定价效率和精度,形成准确反映全市场的价格信号;二是有助于商业银行管理国债业务风险,促进现货市场平稳发展;三是促进商业银行转型发展,更好服务于实体经济。

2、商业银行对国债期货的需求体现在哪些方面?

随着我国利率市场化改革的深入推进,商业银行在国债承销、做市业务、债券交易、资产负债管理等方面均面临较大的利率风险,具有参与国债期货市场的迫切需求。一是在一级市场具有承销义务的承销团银行,因包销等因素持有债券,需要国债期货对冲利率波动风险;二是银行在履行做市商义务时,需要国债期货对冲持券的利率风险,提高报价质量和市场流动性;三是银行需要国债期货管理债券交易的利率风险,平抑损益波动;四是银行可以运用国债期货进行资产负债管理,灵活、高效地调整久期,防范和化解市场风险。

3、保险资金参与国债期货的必要性体现在哪里?

保险资金具有资金规模大、负债久期长、成本稳定等特点,是我国10年期以上债券的最主要投资主体。随着利率市场化改革深入推进,保险资金利率风险管理压力与日俱增,但缺乏相应的风险管理工具,在管理债券资产利率风险、匹配资产负债期限结构等方面面临诸多约束。目前我国保险行业投资资产规模已超过17万亿,其中超过30%是债券投资,运用国债期货规避利率风险的需求强烈。保险机构负债端久期长,与之期限匹配的资产稀缺,运用国债期货调整资产负债久期缺口的需求迫切。因此,稳步推进保险资金参与国债期货市场,对于增强保险资金经营稳健性、提升长期国债市场的流动性具有重要意义。

4、商业银行和保险资金参与国债期货是否条件成熟?

商业银行和保险资金参与国债期货市场条件成熟。一是商业银行、保险资金参与国债期货是国际通行惯例。境外发达债券市场的商业银行、保险资金广泛参与国债期货,运用国债期货进行利率风险管理。二是商业银行和保险资金衍生品交易经验丰富,具备参与国债期货的能力。商业银行深度参与利率互换、黄金期货市场,保险资金也参与了股指期货市场,具有丰富的风险管理经验和严格的风控制度,具备参与国债期货市场的能力。三是国债期货市场运行平稳,具备商业银行和保险资金入市的承载能力。目前,我国已经成功上市2年期、5年期和10年期国债期货,市场运行平稳,效率不断改善,功能逐步发挥,具备承载商业银行、保险资金入市的能力。

四、国债期货交易策略

1、银行和保险资金如何用国债期货进行套期保值?

在国债期货套期保值操作中,投资者会根据现货头寸反向建立期货头寸,使得期货和现货的组合风险尽量呈现中性。套期保值分为多头(买入)套期保值和空头(卖出)套期保值。多头套期保值指的是投资者先在国债期货市场买入期货,对冲将来在债券市场买入现货时因利率下降、债券价格上升而造成经济损失的风险。空头套期保值指的是投资者先在国债期货市场卖出期货,对冲未来利率上升、债券现货价格下跌造成损失的风险。

理想的套期保值想要达到的目标是在一定利率变化下,期货合约数量×每个期货合约价值的变化=国债组合价值的变化,即套期保值比率=国债组合价值的变化/每个期货合约价值的变化。国债期货套期保值比率的计算方法主要有修正久期法和基点价值法等。

(1)修正久期法

到期日时期货价格收敛于最便宜可交割国债的转换价格,期货合约的修正久期约等于最便宜可交割国债(CTD)的修正久期,从而计算套保比率:

套期保值比率=(债券价格*债券修正久期)/(期货合约价格*CTD修正久期)

(2)基点价值法

期货合约的基点价值约等于最便宜可交割国债(CTD)的基点价值除以其转换因子(CF),从而计算套保比率:

套期保值比率= 债券DV01/(CTD DV01)*CF

2、银行和保险资金如何用国债期货进行久期管理?

国债期货可以用来调整投资组合的久期。投资者一般在预期利率升高时缩短组合的久期,预期利率走低时拉长组合的久期。虽然买卖现券同样可以达到调整组合久期的目的,但市场冲击成本和操作成本较大,国债期货流动性好、交易成本低,可以更为高效地管理和调节组合久期。假设一个债券投资组合久期为D1,投资者需要把久期调整到D2,则需要买入的国债期货合约数量约为:((D_2-D_1 )*债券组合市值)/(D_CTD*国债期货合约价格)

3、国债期货套利交易的原理是什么?

理论上,国债期货与相关国债现货之间、国债期货不同品种或不同月份合约之间,都应保持一定的合理价差。套利是指当价差偏离合理水平时,同时买入定价偏低资产,卖出定价偏高资产,待价差回归合理后平仓了结,从而获取无风险收益的交易行为。

4、银行和保险资金如何用国债期货进行期现套利?

国债期现套利是指套利者发现期货和现货价差出现偏离后,同时买进(卖出)现货债券并且卖出(买进)国债期货的交易。这样的交易方式,和基差交易(Basis Trading)较为一致,也可视为国债基差交易。

国债期货基差是指经转换因子调整后的国债期货合约价格和相应现货之间价格的差异,计算如下:

基差=国债现券价格-国债期货价格*转换因子

做多基差或买入基差,是投资者认为基差会扩大,同时购买现货国债并卖出总值等于现货国债量乘上转换因子的国债期货,待基差如期扩大后再进行平仓。做空基差或卖出基差,是投资者认为基差会缩小,同时卖出国债并买入总值等于现货国债量乘以转换因子的国债期货,待基差如期缩小后进行平仓。

5、银行和保险资金如何用国债期货进行跨期套利?

国债期货跨期套利就是利用远期与近期合约的价差变化在期货市场上同时买、卖两个不同月份、同一品种的期货合约,利用价差的扩大和缩小来赚取利润。例如,2016年11月23日10年期国债期货合约跨期价差T1612-T1703和T1703-T1706分别为1.01和0.63,如果投资者预期3个月后跨期价差的期限结构不变,即T1703-T1706会上涨到1.01,则做多跨期价差。

6、银行和保险资金如何用国债期货进行跨品种套利?

国债期货的跨品种套利也常常被称作收益率曲线套利。当预期收益率曲线变陡时,买入短端国债期货,卖出长期国债期货;预期收益率曲线变平时,卖出短端国债期货,买入长期国债期货。例如,2017年3月,10年期和5年期国债利差持续下降,达到2013年9月国债期货上市以来的历史低位,部分投资者选择国债期货进行做陡曲线交易,即买入5年期国债期货,卖出10年期国债期货,待10年期和5年期利差恢复正常时平仓获利。

五、商业银行和保险资金参与国债期货市场的影响

1、银保入市对国债期货市场有什么影响?

商业银行、保险资金是债券现货市场重要的参与主体,约占银行间债券市场托管总量的70%。商业银行、保险资金参与国债期货,有助于进一步完善国债期货市场投资者结构,促进债券期现货市场的投资者主体匹配,提升国债期货价格的代表性。此外,商业银行、保险资金与证券、基金等市场参与者具有不同的资金来源、期限特征和风险偏好,银行和保险资金进入国债期货市场可以成为其他机构的交易对手,实现交易需求互补,进一步增强市场的流动性和深度,促进国债期货市场功能发挥。

2、银保入市对国债现货市场有什么影响?

商业银行和保险资金入市可以提升国债市场流动性和定价效率,健全反映市场供求关系的国债收益率曲线。国债期货上市后,在套保、套利、实物交割等需求的带动下,对应期限的国债持续成为市场交易活跃品种。商业银行、保险资金参与国债期货市场,其交易模式和策略更加丰富,将进一步提升国债市场流动性和定价效率,助力健全国债收益率曲线。同时,商业银行和保险资金入市有助于平抑债券市场波动,增强金融市场韧性。随着利率市场化的深入推进,债券市场波动增加。在债市快速调整期间,金融机构抛债止损,流动性可能出现一定困难。商业银行、保险资金可以利用国债期货流动性好、成交快速的特点,通过国债期货有效对冲现券市场的下跌风险,分流债券市场的抛压,增强金融市场的活力和韧性。

3、银保入市对股票市场有什么影响?

债券市场和股票市场相对独立,在风险属性、运行方式和投资者群体等方面存在显著差异。从国际经验上看,商业银行和保险资金参与国债期货,以套期保值为主要目的,没有对股市走势和波动情况产生明显影响。同时,国债期货采用保证金交易,资金使用效率高、资金占用较少。商业银行和保险资金入市,可以提升债券市场流动性和资金运用效率,不会挤占股票市场资金,对股票市场没有直接影响。当市场出现极端行情时,国债期货可以为机构提供有效的利率风险对冲工具,有助于保障市场的稳定。

六、商业银行和保险资金参与国债期货市场的风险控制

1、国债期货市场是否具有完备风控体系保障商业银行和保险资金平稳入市?

国债期货市场已经具备比较完善的风险管理体系,2013年以来,5年期、10年期和2年期国债期货成功上市,市场运行平稳,未发生交割风险事件,也未出现重大违法违规情况。在风控制度方面,交易所建立了包括保证金、涨跌停板、持仓限额、大户持仓报告、强行平仓、强制减仓制度等一系列制度。交易机制方面,国债期货市场推出做市商制度,增强市场报价厚度,防范市场流动性风险。交割制度方面,国债期货采用实物交割,并实行滚动交割模式,提升交割效率、防范交割风险。

加载中...