新浪财经 债券

转换因子的定义及计算是怎样的?

新浪财经

关注

原标题:国债期货知识基础篇(九)| 转换因子的定义及计算是怎样的?

来源:中金所发布 

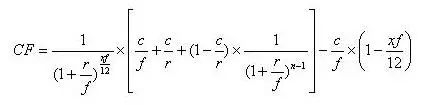
Q:转换因子的定义及计算是怎样的?

A:可交割债券和名义标准券之间的价格通过一个转换比例进行换算,这个比例就是通常所说的转换因子。转换因子的计算是面值 1 元的可交割国债在其剩余期限内的所有现金流量按国债期货合约票面利率折现的现值,这是国债期货合约中最重要的参数之一。国债期货转换因子的具体计算公式如下:

其中: 

r :国债期货合约票面利率;

x :交割月距离下一个付息月的月份数; 

n :剩余付息次数;

c :可交割券的票面利率; 

f :可交割券每年的付息次数。

加载中...