新浪财经

福彩中心14名领导贪污1360亿 区块链或赋能彩票行业

新浪财经综合

关注

一则“贪污1360亿元”谣言引出的区块链话题

来源:共享财经  

近日,一则谣言惊动国人:中国福利彩票发行管理中心14名领导贪污1360亿元!

虽然这一消息被驻民政部纪检监察组认定为谣言,但是,也因其“具体数据尚不便公开”,导致“福彩门”已经陷入了舆论漩涡,人们的声讨声也日渐高涨。

彩票贪腐惊人

11月9日,中央纪委网站发布了一篇重磅文章:《减遏并重,标本兼治,重构福彩公信力,驻民政部纪检监察组从典型案例入手推动形成良好政治生态》,文章长达4000多字,还公布了中国福利彩票发行管理中心4名原负责人忏悔视频。

在这份时长达4分12秒的视频里,中国福利彩票发行管理中心原主任鲍学全、原主任王素英、原副主任王云戈、原副主任冯立志四位落马官员一一面对镜头忏悔,自称“一失足成千古恨”。

据悉,从十八大以来,我国民政系统至少已有14人涉福彩领域问题被问责,12人被立案审查。

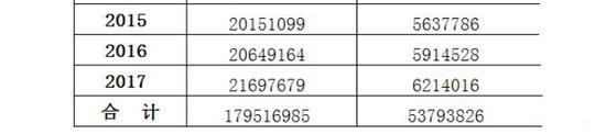
由于是全民参与,彩票行业涉及的资金量往往数额巨大。数据显示,2017年我国彩票销售收入高达4266.29亿元,其中福利彩票达2169亿元,且仍呈逐年上涨的趋势。从1987年开始到现在,福彩的发行量共计17951亿元,其中公益基金为5379亿元。

巨大的资金流水难免让人心生摇曳。2015年,国家曾抽查了658.15亿元的彩票资金,占当年彩票销售额的18.02%,其中居然有169.32亿元的资金存在问题,也就是1/4的资金有问题。

而中国福利彩票发行管理中心作为全国福利彩票发行和组织销售工作的主要机构,其原任一二把手“落马”,自然会引发诸多猜想。

虽然具体贪污数额尚未公布,但是,从2015年《经济参考报》披露,中彩在线总经理贺文一个人在2002年到2014年非法获利27亿元,并行贿数十亿元来看,鲍学全作为作为彩票发行管理中心主任,贺文的顶头上司,在任期间,与贺文有巨额经济往来,其贪污数额不言而喻。

可以看到,福彩作为中国最需要公信力的机构,正一步步陷入信任危机。

彩票系统问题重重

自建立伊始,中国福利彩票就高举“扶老、助残、救孤、济困”的福利旗帜,积累了大量公益资金,并积极推进公益项目,为中国公益慈善事业发展做出了突出贡献。

但是,福利彩票在发展过程中暴露出的一些问题,比如功能定位不清、资金使用不够透明、操作规程缺乏诚信等,已经引起了全社会的广泛关注。

中国彩票行业沙龙创始人、北京社会管理职业学院教授苏国京撰文称,目前彩票资金的财务管理原则是收支两条线,这个规则的存在是造成现行彩票机制弊端的核心所在。

所谓收支两条线,就是两个国家彩票中心(中国福利彩票发行管理中心、国家体育总局体育彩票管理中心)和所有省级彩票中心只负责彩票的发行和销售,销售后获得彩票资金除去返奖全部上缴财政,财政再负责把公益金和发行费用于不同的公益用途和发行费进行支出。再简单说,就是彩票中心负责收钱,财政、民政或体育总局负责支出。负责收钱的人并不知道钱最终会如何支出,同时也无权过问支出到何方。

也有媒体曝光由于彩票行业机制的漏洞,从而导致“吃票”行为泛滥。

“吃票”是时下不法网络售彩平台、代购平台主要的创收手段,即付款人买彩后,虽在所发单的信息里标明已出票,但是其实并没在真正从售票机里打出来,而是赌你不中,彩金就是他的了。

其中,机制的漏洞就在于福彩中心不会把大奖放给正常购买的彩民,而彩票公司可以进行篡改,那么只要获得一组正常的号码,无限随机给其他彩民,然后就可以神不知鬼不觉地贪掉这部分购彩钱,给国家彩票资金带来的巨大损失。

除此之外,还有贪污腐败、复式投注、假票泛滥、用时长、不透明等各种让人生疑的问题。

区块链赋能彩票行业

对于最近彩票腐败事件频发,再加上目前已经叫停互联网彩票,有人突发奇想,如果彩票运用区块链技术,是否会有所改善。

目前的彩票系统采用的是中心化的IT系统,投注数据采用的是公证处、售彩中心、主管部门各自利用光盘备份的形式,这中间不仅无法完全避免数据篡改的风险,而且还浪费了大量的人力物力。

对此,有业内人士认为,区块链致力于建立点对点的安全与信任,这可以免去中间绝大部分冗杂的流程,从而大大节省成本。

而且,由区块链智能合约构建的开源生态,由于其规则体系可信无误的自动化运转和不可篡改的特性,可以大大减少人为干预,从而提高透明度,方便用户监督。

实际上,已经有不少机构开始尝试把区块链与彩票相结合。

今年3月份,暴风集团旗下的区块链基础设施服务商暴风新影与壹分体育达成合作,暴风新影通过区块链底层技术实现对壹分体育平台上的积分兑换以及支付进行记录和追溯。这其中就涉及到了体育彩票等。

5月份,亚洲最大的彩票分发平台TCG(TCgaming)与一家区块链项目达成合作,TCG将基于区块链平台分发区块链彩票,旨在实现彩票开奖数字化、去中心、可追溯、高度透明。

9月,一个英国团队宣布全球首家申请专利技术的区块链彩票投注系统上线,它支持双语言投注,支持比特币、莱特币、以太坊等主流虚拟币种。

随后,塞浦路斯的俄罗斯企业家推出一个在线彩票平台,试图解决整个在线彩票市场的透明度和公平问题。其声明表示,可以基于区块链技术的随机数生成器选择了中奖号码,实现程序不可伪造……

可以看到的是,为彩票赋能区块链绝不只是空谈。现如今,已经有越来越多的彩票行业开始接纳区块链。

苏国京说,“一条河里一两条鱼死了,是鱼的问题,如果所有的鱼都死了,那就是水的问题。如果一个主任出问题,可能是这个主任的问题,但如果连续几届主任都出问题,那一定是这个行业在体制机制方面出了问题,需要彻底变革和整改。”

中国彩票业2018年的销量突破5000亿元大关已经没有悬念,但量变之后的质变是否是我们期望的呢?中国彩票如何健康有序地发展,是我们每个彩票参与者都该去深思的问题。

加载中...