新浪财经

险资新年第一举!太保举牌上海机场,去年险资41次举牌创十年新高

第一财经

关注

2026年险资又举牌了。

1月12日,上海机场(600009.SH)发布公告称,太保资产9日通过大宗交易增持公司股份7242.4万股,从而使其持股比例升至5%,触达举牌线,资金来源则为受托太保寿险的保险资金。这也成为今年公布的险资“第一举”。

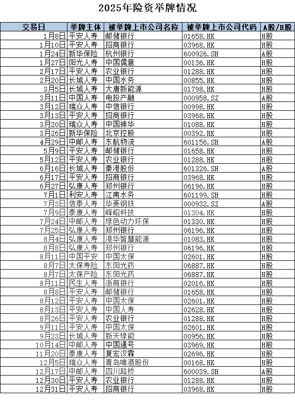
事实上,近两年险资开启了新一轮的“举牌热”。根据第一财经粗略统计,2025年险资举牌达到41次,较2024年的20次进一步增加,仅次于2015年62次的历史峰值,创下近十年新高。

华创证券表示,和十年前以万能险助力的举牌潮相比,此轮险资举牌潮一方面来源于低利率环境下对于红利股的重视;另一方面则基于ROE(净资产收益率)的考虑,通过长期股权投资纳入优质标的。展望2026年,预计上述两类诉求仍有市场,险资举牌热潮或将延续。

新一轮举牌潮缘何而起

和2021~2023年偶尔几次的举牌相比,近两年开始险资举牌又进入了新一轮高峰期。据第一财经不完全统计,2024年险资举牌就达到20次,2025年更是进一步大幅增至41次,仅次于2015年62次的历史峰值,创下了新十年新高。

和十年前的历史峰值相比,此轮举牌潮又有何不同?“2015年举牌主要受高负债成本万能险扩张、偿二代下长期股权投资节省资本消耗等因素驱动。2020年和2024年举牌潮动力则来自利率下行环境下险资投资压力增大等原因,险资需要通过投资高息股来获取稳定现金收益,同时增加长期股权投资有助于获得稳定投资收益。”华泰证券非银首席分析师李健在研报中表示。

具体来说,综合多名业内分析师的观点,一方面,在十年期国债利率持续下行、传统固定收益类资产收益吸引力下降的背景下,保险资金出于优化资产配置结构、提升投资回报率的考量,将目光更多投向权益市场。同时,2023年以来,以增额终身寿为代表的传统险产品热销,带动行业保费高速增长,形成了资产端较大的配置需求。从2025年开始,分红险取代传统险占据新“C位”,而分红险在收益上低保证、高浮动的特性让其能够在权益投资上拥有更大的弹性。

另一方面,新会计准则下股票投资面临收益与波动的两难选择。2023年起,上市险企开始执行新金融工具准则,股票资产需要在FVTPL(交易类资产)和FVOCI(以公允价值计量且其变动计入其他综合收益的金融资产)中二选一。目前上市险企股票投资以FVTPL为主,股市波动对当期净利润影响显著。而通过买入高息股并计入FVOCI或者配置长期股权投资,有助于降低利润波动,本轮举牌是该策略执行的反映。

同时,2020年以来,监管层多次提到鼓励长期资本入市,并在近两年落地了包括下调股票投资风险因子、长周期考核、提高权益投资上限等一系列政策,再加上资本市场在2025年开始的回暖走势,使得举牌对于险企的吸引力增加。

谁举牌最多?“平安系”举了15次

据第一财经粗略统计,2025年的41次险资举牌一共涉及15家举牌险企,以及28家被举牌上市公司。

华创证券认为,不同于2023~2024年长城人寿牵头的举牌潮,2025年以来险资举牌参与方更加多元化。

在这15家举牌险企中,“平安系”可谓“独占鳌头”,举牌了15次。从“平安系”的举牌路径来看,无疑是“瞄准目标,反复增持”,其15次举牌的对象仅有5家上市公司,且均为银行股和保险股这两类金融股。其中,中国平安对于银行股H股的“钟情”凸显,一年中分别举牌了招商银行H股、农业银行H股4次之多,持股比例一路增至这两家银行H股股本的20%。中国平安对于邮储银行H股亦举牌了3次,同时贡献了险资举牌中时隔六年对于中国太保中国人寿的同业举牌。

“我们投资同业(保险),不管是金融行业还是其他行业,有一个‘三可’原则,看一家企业是否经营可靠、增长可期、分红可持续。这是我们衡量是否长期持续、稳定持有该公司股票的标准。”中国平安联席首席执行官兼副总经理郭晓涛在2025年8月的公司业绩发布会上曾就举牌做出回应。

除了中国平安之外,2024年的举牌“大户”长城人寿、瑞众人寿在2025年亦分别举牌了4次及3次,相较于“平安系”反复增持几家银行个股,这两家的举牌对象较为分散。不过,长城人寿对于公用事业类个股颇感兴趣,4次举牌中3次为公用事业类股票。另外,中邮人寿及弘康人寿在2025年也均举牌了4次。

什么股票最受青睐?银行股被举牌17次

由于“平安系”在2025年贡献了11次对于银行股的举牌,因此银行股在2025年以17次被举牌高居行业首位,在41次险资举牌总次数中占比达41.5%。除了银行股之外,公用事业、保险、医疗健康、交运等行业也均是被举牌次数较多的行业。

银行股之所以被青睐,主要缘于其高股息的特征,而高股息股则是此次险资举牌的一大类别。

华创证券认为,结合被举牌标的整体高ROE、高分红、高股息等特征,预计险资举牌目的主要分为高股息、高分红的股票投资以及高ROE的股权投资两类。其中,股票投资以股票-FVOCI计入表内,能够稳定贡献分红现金流提升投资收益,同时股价波动不影响净利润表现,即挖掘“类固收”高息标的,作为抵御利率下行风险的路径,典型代表如“平安系”举牌国有大行,以及瑞众人寿举牌中信银行、民生人寿举牌浙商银行等。

根据华泰证券此前研报的统计,2024年至2025年一季度,20家被举牌公司的上一年平均股息率约为5.0%,较2015年、2020年两轮举牌潮的1.0%及3.3%逐步提升,且以港股为主(17只)。“港股估值较低、股息率较高,因此高股息的港股适合作为红利股长期持有。投资机构如果通过港股通买入港股且连续持有超12个月,取得的股息收入可以豁免相应的企业所得税。”华泰证券表示。据第一财经统计,2025年的41次险资举牌中,H股为35次,占比高达85%。不过,也有业内人士表示,和A股市场的举牌以持股比例占总股本5%为线不同,港股市场达到H股流通股的5%就达到了举牌线,相对较易触及披露要求,也造成了H股举牌的增多。

而在股权投资方面,华创证券认为,险资的选股“审美”主要集中于高ROE资产,从举牌行为上更偏向于央国企、有一定行业垄断地位、盈利模式较为成熟的标的,以长期股权投资-权益法计入表内,能够显著提升举牌险资本身的ROE水平,如东航物流(2024年ROE为16%)、中国水务(2024年ROE为12%)。

不过,李健在研报中也表示,长期股权投资最重要的考量因素在于战略协同效应,不应仅仅考虑稳定账面投资表现。此外,长期股权投资对偿付能力的压力较大;如果账面价值长期高于市价,可能产生减值压力;长期股权投资流动性较弱,退出不易,如果涉及受监管行业如银行,想要退出还将面临更多的监管要求,这些都需要在投资时慎重考虑。

今年举牌热潮将延续

“展望2026年,预计上述两类诉求(股息率及ROE)仍有市场,险资举牌热潮或将延续。”华创证券金融业研究主管徐康团队表示。

综合业内分析师观点,险资对于优质权益资产的驱动,一方面来自长端利率下行倒逼权益资产需进一步发挥增厚投资收益的功能;另一方面来自分红险销售占比预计提高的背景下,负债端资金风险偏好有望提升。另外,2026年非上市险企正式启用新会计准则,预计也会延续之前同业的举牌思路。同时,引导中长期资金进一步入市的政策“组合拳”也能够为险资的权益投资提供更多空间。

而从险资的权益投资重点对象来看,多家大型险企均采用“哑铃型”策略,增配高股息股票并使用FVOCI计量模式依然是重要举措,这成为权益投资的“安全垫”,对冲低利率对净投资收益率带来的下行压力;代表新质生产力的成长股则是险企在权益投资中寻找超额收益的重要领域。

加载中...