新浪财经

浮息债投资:流动性困境中的挑战与优化路径

市场资讯 2025.07.12 07:04

(转自:浙商银行FICC)

作者|刘婧骅 章凌逸 陶雨琴 简科磊

浮息债是一种浮动计息的债券,其利息支付会跟随指定参考利率(基准利率)变化作定期调整,票面利率一般由“基准利率+利差”两部分构成。当前中国浮息债市场仍面临规模占比偏低、流动性分化显著、定价机制待完善等挑战,但相较于固息债,浮息债有时具有独特的防御属性,并且在特定利率周期中能够增厚价值。本文将从市场现状、流动性差异、定价逻辑及优化路径四维度展开分析,旨在揭示浮息债市场的核心矛盾与可行的投资策略,为市场参与者提供实践参考。

1、浮息债市场现状

截至2025年6月30日,国内债券存量市场约187.49万亿元,其中附息债券存量规模约158.99万亿元,占比约85%。在附息债券中,绝大多数属于固定利率债券,浮动利率债券存量规模约4,959.15亿元,占附息债券的比重仅为0.31%。在浮动利率债券中,资产支持证券的只数最多,但余额占比约为15%;公司债、企业债和中期票据余额占比共计约为5%;金融债共计29只,余额占比约为80%。

从历史发行及存量情况来看,2013年至今,国内浮息债的存量规模大体呈现下行趋势。2007-2012年,浮息债迎来了一波较大规模发行,以Shibor为基准利率的浮息品种初次登场,也推动2011-2013年浮息债存量规模逐年攀升。2014-2021年,浮息债的发行规模再度迎来扩张,2019年以LPR利率为基准的浮息品种出现且发行规模提升明显。2022至2024年的总发行规模不及2021年全年发行规模,存量规模也迅速萎缩,市场热度有所降低。2025年上半年,浮息债发行规模为1,294.00亿元,同比增长51.68%,发行规模提升明显。

iFinD,浙商银行整理

利率债方面,截至6月30日,浮息债共计19只,共计3,890亿元,均为政金债。其中,基准利率挂钩DR007的债券共10只,余额为1,930亿元;基准利率挂钩LPR的债券共8只,余额为1,680亿元;基准利率挂钩定期存款利率的债券共1只,余额为280亿元,即13国开202。

表一 当前存量浮息利率债基本信息

iFinD,浙商银行整理

2、浮息债流动性压力

浮息利率债在浮息债市场中规模大、成交相对活跃,本文将主要以浮息利率债为例,分析其在市场中存在的流动性压力。

产生原因

与固息债相比,浮息债在市场上的流动性相对较差,我们认为,这主要由以下几个原因导致:

(1)市场规模与品种有限:

浮息债市场规模相对较小,品种也不够丰富。与庞大的固息债市场相比,浮息债的发行量和存量规模都较小,投资者在买卖浮息债时,可能会面临找不到足够数量的对手方或者难以以合理价格成交的问题。

(2)市场定价与估值难度:

浮息债的定价和估值比固息债更为复杂,这给市场交易带来了困难。浮息债的价格不仅受到当前市场利率的影响,还与未来的利率走势密切相关。由于定价困难,买卖双方在对浮息债的价值评估上可能存在较大分歧,导致交易难以达成。

(3)挂钩基准利率数量众多:

浮息债所挂钩的基准利率数量繁多,这增加了市场的复杂性和不确定性。不同的浮息债可能挂钩不同的基准利率,以浮息利率债为例,基准利率不仅在挂钩利率上存在差异(一年期LPR、五年期LPR、DR007、定期存款利率),还在计算方式上有所不同(前30个交易日均值、前60个交易日均值、重置日前一交易日)。

(4)报价方式存在分歧:

在实际交易中,部分交易方采用收益率报价方式,另一些交易方则倾向于使用净价报价方式。这种报价方式的分歧给交易双方带来了诸多不便。这不仅降低了交易效率,还可能因为转换过程中的误差而导致交易纠纷。

除此之外,投资者认知与偏好局限等其他因素也是导致浮息债流动性不高的重要原因。

流动性压力对比

在19只浮息利率债中,流动性最好的5只债券分别是25农发09、25国开14、25农发清发09、23农发09和24国开14,6月换手率分别在10%-60%不等。其中,25农发09换手率最高,为59.24%;25国开14成交量最高,6月总成交量为228.74亿元,日均成交量为9.47亿元。

流动性较好的浮息债通常拥有以下特征:

(1)存量规模较高,在150亿元以上;

(2)剩余期限在1-3Y区间内;

(3)发行日期较新,为近两年发行的债券。

表二 当前存量浮息利率债流动性情况

iFinD,Qeubee,浙商银行整理

整体来看,浮息债成交量不及相似期限及品种的活跃固息债。但是从个券数据来看,浮息债中也存在流动性尚可甚至不弱于同类固息债的。例如浮息债250214在7月成交量显著攀升,7月日均成交量18.6亿元,虽然仍然不及3Y国开活跃券230208的36.93亿元,但也能满足一定的交易需求;此外,浮息债09250412在5月中旬至6月中旬流动性较好,浮息债09250412和固息活跃债09250409期间日均成交量分别为3.97亿元和5.10亿元。值得注意的是,即便是整体流动性相对好的浮息债品种,也存在多个交易日无成交的情况,流动性变动较大。

3、浮息债定价逻辑

相较于固息债,浮息债的票面利率会进行调整,但调整并非实时变动,而是有特定的重置频率,重置频率通常是每半年、每季度、每月或每周次。因此,对于不确定的远期票息,浮息债的估值成为了一个更为复杂的问题。目前被广泛运用的浮息债估值方式如下:

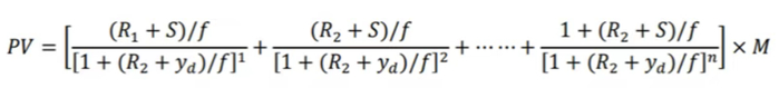
在债券付息日,浮息债全价计算公式为:

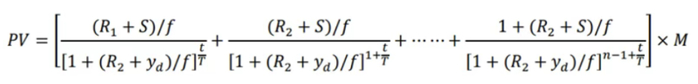
若介于两次付息日之间的某个交易日,浮息债全价计算公式为:

其中:

PV为估值全价,

R1为债券当期基础利率,

R2为计算日基础利率,

S为招标利差,

Yd为点差收益率,

f为年付息次数,

M为债券本金,

n为剩余付息次数,

t为计算日距离下一次付息日的天数,

T为本次付息周期的天数。

其中,影响浮息债价值的因素主要有两个:基准利率和到期收益率(R2+Yd)。相较于固息债,浮息债的定价机制更为复杂,其价格波动受双重因素驱动。一方面,基准利率的动态调整会导致未来现金流重新定价;另一方面,市场对未来基准利率路径的预期变化也会传导至债券估值。传统固息债定价中,YTM可有效衡量价格敏感性,但未来基准利率和YTM的变动皆会对浮息债价格产生影响,因此二级交易过程中时常通过债券净价而非直接使用YTM进行报价。

浮息债的票息支付随基准利率周期性重置,因此市场参与者为规避定价不确定性,普遍采用相近券参照定价法作为替代方案,即选取类似期限、类似发行人的固息债为基准,粗略反映浮息债价值。但是,固息债定价框架无法捕捉基准利率变动对浮息债现金流的实质影响,例如在利率下行周期中,浮息债票息随基准利率调降而减少,但其估值却因参照固息债高票息水平而被高估,存在定价失真风险。为规避此类风险,投资者可能倾向于减少对浮息债的购买,即使买入后也倾向持有至到期,不主动交易,因此浮息债的二级市场成交活跃度低于固息债。

4、如何提升浮息债流动性

提升单只债券发行规模并进行常态化发行,减少浮息债市场分散度

当前浮息债市场存在“品种多、单只规模小”的特征,导致二级市场交易深度不足。通过单只债券发行规模突破400亿元,可形成稳定的买卖盘队列。同时,大额债券的定价锚定效应将显著增强,市场更倾向于以其为基准进行相对价值交易,从而削弱投资者因参照券选择差异导致的定价混乱。

推动浮息债关键要素标准化,固定基准利率选择、利率计算方式和重计算周期

浮息债流动性不足的深层原因在于条款非标准化导致的估值不确定性。发行方可以通过关键要素标准化消除市场认知壁垒,主导建立统一的发行框架。

在基准利率的选择上,可以优先选择市场认可度较高的Shibor或者FR007,Shibor及FR007是货币市场的重要参考利率,能够有效衡量银行间市场的资金成本,并且在IRS市场中也有对应的品种能够对冲浮息债利率变动产生的风险;在利率计算方式上,目前包括前30个交易日均值、前60个交易日均值、重置日前一交易日等计算混杂,建议可以统一利率计算方式,或者选择3个月Shibor、1年期FR007等主要IRS期限,便于机构对冲投资风险;在重计算周期上,建议统一设置为季度或半年,与主流利率衍生品的付息周期匹配,降低投资者对冲利率风险的操作成本。

培育做市商生态,激活市场价格发现功能

浮息债流动性的提升离不开做市商提供连续报价,发行方可以针对浮息债创设做市商专项激励场景。此外,浮息债市场净价和收益率的报价分歧也会阻碍流动性的提升。而基于浮息债本身的定价特性,收益率报价存在价格失真、付息日计算分歧等问题,因此建议统一为净价报价的方式,从而推动浮息债发行及二级交易的常态化和规范化,提升浮息债流动性,促进浮息债定价和估值体系建设。

统一SPPI测试标准,对相关标准进行解释说明

SPPI(Solely Payments of Principal and Interest),即金融工具现金流量测试,确定金融工具的现金流量是否仅源于本金和利息。部分浮息债券的现金流存在不稳定性,能否通过测试需进一步分析,因而并不是所有的浮息债都可以放入银行账簿。建议发行方在发行文件中详细说明现金流计算方式,并对SPPI测试进行相关解释说明,明确符合测试要求的基准利率范围、利差调整条件及信息披露要求。

5、总结

浮息债市场当前处于“规模小、流动性弱、定价难”的发展瓶颈期,但其利率敏感性特征在特定周期中仍具战略价值。值得关注的是,随着市场环境变化,浮息债受众群体呈现扩大趋势:商业银行等传统配置型机构除了通过持有浮息债缓解利率敏感度指标外,还能凭借其流动性溢价优势增厚投资利润;在利差压缩的市场行情中,交易型基金等交易盘也开始积极参与,逐步形成多元化投资格局。

面对当前存在的流动性问题,破解路径可从规模化常态化发行、标准化条款设计、培育做市商生态等多维路径着手。未来随着发行交易体系的完善及投资者专业化水平提升,浮息债有望成为利率市场化进程中的重要配置工具,在金融市场深化发展中发挥更积极作用。

加载中...