新浪财经

中金缪延亮 | 打破负向螺旋:低通胀的破局之道

市场资讯 2025.07.04 07:29

来源:中金点睛 作者:缪延亮

2023年以来,我国物价持续低位运行,各主要分项类别物价涨幅普遍回落,反映出经济运行中总需求不足和结构转型的双重压力。这一现象背后,本质是金融地产周期下行与居民收入预期转弱两方面因素的共同作用。房地产市场的调整不仅直接抑制了相关行业投资及从业人员收入,还通过信用紧缩效应进一步拖累了整体就业市场和居民消费能力。居民收入预期的下滑又进一步加剧了消费疲软,形成了“房价-收入预期”的负向循环,对通胀水平构成了普遍而持续的下行压力。剖析我国低通胀的成因,不仅有助于把握宏观经济运行的新特征,还能为政策制定提供依据,有效防范和化解潜在的通缩风险。

  • 本轮低通胀的四个典型事实

物价低迷普遍且持续:2023年以来,我国物价持续低位运行。CPI同比增速长期在零值附近徘徊,核心CPI同比涨幅也持续在0-1%区间波动,GDP平减指数连续8个季度处于负值区间,持续时间超过1998-1999年的通货紧缩时期(当时连续7个季度为负)。从结构上看,各类通胀主要分项与2012-2019年的平均涨幅相比普遍回落,八大类分项呈现“一升七降”格局,仅黄金、珠宝等饰品仍在上涨,其余通胀类别普遍承压。

量价背离,背后是生产、消费景气分化:最近三年我国实际GDP增速保持在5%左右,而GDP平减指数却连续八个季度为负,经济增长的成效在居民日常感知层面尚未充分显现。这种“量价背离”反映了生产与消费之间的剪刀差:企业景气指数自2023年后回升,但消费者信心指数在疫情结束初期短暂反弹后迅速回落,从2022年3月的118.4降至2024年9月85.8的历史低点。居民的边际消费倾向依旧低迷,生产端景气与消费端信心明显分化。货币在居民部门沉淀为定期存款,未能形成消费支出,导致居民向企业的资金循环受阻,货币政策对总需求的传导受限。

生产端PPI和消费端CPI均持续低位运行:2022年10月以来,PPI已连续32个月负增长。PPI与CPI同时低迷,进一步凸显了需求不足的压力。如果仅是PPI低迷,并不一定引发通缩担忧。如2012-2016年期间,我国PPI连续54个月为负,但CPI仍然保持正增长。当时大家并不担心通缩,因为期间居民可支配收入增速一度高达10%。由于CPI是下游企业的收入,可以近似为PPI(产业链上游出厂价格)和工资收入(人工成本)。只要工资在快速上涨,即使PPI为负,也不容易有CPI通缩。但是当前城镇居民可支配收入增速已从2019年的8%降至不足5%,工资上涨明显放缓,让这一轮对通缩的担忧更甚。

低通胀压力从房租逐步向耐用品、可选消费品扩散:2019年起,房租CPI率先明显回落,年均增速中枢从此前的3%降至零。2021年6月,随着房价下行周期到来,与地产链相关的家具、家电等耐用消费品价格持续走弱;在金融周期下行的大背景下,房价周期和信用周期共振下行、互相加强,可选消费品价格也持续下滑。相比之下,只有黄金、珠宝饰品这类具有保值增值属性的商品价格仍在上涨,但难以支撑整体物价水平。

  • 本轮低通胀的主要推手:金融地产周期下行与收入预期走弱形成负向螺旋,导致低通胀普遍而持续

金融周期进入下半场,私人与政府部门信用紧缩,导致物价普遍低迷。简单而言,金融周期是地产周期与信用周期的共振。2017年开始,中国金融周期触顶回落。在金融周期下半场,私人部门加杠杆意愿下降,增长下行压力持续时间可能较长,导致微观主体的资产价格预期发生变化,通胀普遍承压。2019年以来,我国房价上涨速度明显放缓,带动住房CPI与核心CPI增速进入下行通道。2021年6月全国二手房价格触顶,租金CPI年均增速回落至零附近,相较2012-2019年水平,对核心CPI形成约0.5个百分点的直接拖累。值得注意的是,金融地产周期下行的影响远远超过房租本身,还会引发私人部门的信用收缩。反映在量上,2025年1-5月,居民新增贷款占新增总贷款比重降至5.4%,创2009年以来的历史新低。反映在价格上,尽管2020年以来基准利率持续下行,但银行贷款利率与民间融资利率的信用利差却显著走阔,反映出整体信用环境趋紧。最后,金融地产周期下行不仅影响私人部门,还影响政府部门。土地出让金是地方政府收入的重要来源。伴随地产周期调整,地方政府卖地收入占财政收入的比重从2020年的44.3%降至2024年的27.6%。分母端土地收入减少,分子端刚性化债压力增加,形成了“财政加速器”效应,挤压了地方政府用于支持实体经济的财政资源,导致其在2024年9月份的政策转向之前意外财政紧缩。总结来说,在金融周期下半场,由于过去对土地财政的依赖,从政府到私人部门都出现了信用紧缩现象,抑制了全社会的消费和投资意愿。

收入预期偏弱,居民“消费降级”。房价周期调整可以解释物价的普遍承压,因为房地产上下游产业链长,对耐用品、可选消费影响很大。但如何解释经济中的量价分离呢?这里主要是收入预期下行,导致居民消费量持续恢复,但消费价格水平反而下跌,呈现明显的“消费降级”特征。一个典型例子是疫情后国内出游人数增长,但人均支出并未明显增加。收入预期下降的背后受到多重因素影响。首先,由于疫情“疤痕效应”和经济结构调整,2022年起,城镇就业人员工资增速明显放缓,部分在岗人员对收入增长的获得感有待进一步提升。其次,随我国劳动年龄人口达峰,就业人口开始下降、灵活就业人员占比上升、平均工作时间延长,“内卷式”竞争加剧,进一步影响了收入预期。烟酒、旅游等可选消费品领域普遍出现“消费降级”现象,反映出收入预期偏弱背景下,消费需求结构正在经历深层次调整。

地产金融周期调整与预期转弱形成负向螺旋,持续抑制通胀水平。房地产市场的调整不仅直接抑制相关行业投资及从业人员收入,随之而来的信用紧缩还拖累了整体就业市场,让居民收入预期持续下行。收入预期下滑,反过来会抑制消费和购房需求,两者相互强化,形成“房价-收入预期”的负向循环,对通胀构成持续的下行压力。

  • 如何破局低通胀?两个方向——修复企业资产负债表、改善居民现金流量表

在2024年12月发布的《通胀形成机制与风险应对》[1]中,我们强调通胀由货币、信用、预期三者共同决定。从货币视角出发,在“房价-收入预期”负向螺旋持续存在的背景下,尽管货币维持宽松,但货币政策传导受限,银行间融资流动性转换不成市场流动性,依然难以扭转低通胀局面。打破低通胀,关键在于财政货币协同发力,从稳定房地产市场和提振收入预期两端同时着手,改善企业资产负债表和居民现金流量表,重建消费和投资信心,畅通企业和居民之间的经济“内循环”。为此,我们认为未来政策应在两个方向发力:一是通过注资、扩表、贷款贴息、破产重组等方式,修复企业资产负债表,缓解应收账款压力,稳定信用扩张能力,改善企业投资预期和就业市场,从而带动居民部门资产与收入的同步修复。二是通过稳就业、提收入、强化社会保障、优化转移支付等手段,改善居民现金流量表,尤其是通过完善中国的社会保障体系,破除居民消费的后顾之忧。在财政、货币的合力支持下,提升企业盈利预期与居民消费意愿,打破“房价-收入预期”的负向螺旋,激发内生需求,推动价格水平企稳回升,为经济实现高质量发展奠定坚实基础。

本轮低通胀的四个典型事实

物价低迷普遍且持续

2023年以来,我国物价持续低位运行,CPI同比增速长期在零值附近。2025年2月起,受食品和能源价格下行影响,CPI同比一度跌入负区间。核心CPI同比涨幅也持续在0-1%区间低位波动,GDP平减指数连续8个季度处于负值区间,持续时间超过1998-1999年的通货紧缩时期(当时连续7个季度为负),创历史最长纪录。

从结构上看,CPI八大类分项呈现出显著的“一升七降”格局:与2012-2019年均增速相比,除“其他用品和服务”中的黄金、珠宝首饰受国际金价上涨的带动而大幅上升外,其余七大类价格涨幅普遍回落。其中,房租分项从2012-2019年间年均3%的增速,下降至2023年至2025年5月的零增长水平。此外,烟酒类CPI由正转负,交通和通信、医疗保健等分项价格同比亦明显下滑。各类商品与服务价格普遍回落,表明本轮低通胀并非源于个别行业供过于求引发的局部冲击,而更可能反映出一种广泛且持续的总需求不足。

图表1:低通胀格局仍在延续

资料来源:Wind,中金公司研究部

图表2:CPI八大类分项同比呈现“一升七降”特征

资料来源:Wind,中金公司研究部

量价背离,背后是生产、消费景气分化

2023年以来,我国实际GDP增速维持在5%左右,但GDP平减指数却自2023年第二季度起已连续8个季度为负,形成量价背离。虽然经济实际保持增长,但通胀却在低位,让居民和企业体感偏冷,尤其是PPI持续为负,企业销售收入和盈利承压,PPI负增长还推升了企业的实际融资成本。

“量价背离”的背后,本质上是生产与消费景气度的分化。从生产端观察,我们以国家统计局编制的企业景气指数追踪企业对经济的看法。该指数来源于季度对全国31个省(自治区、直辖市)企业经营者开展的问卷调查,采用净差额法计算得出。该指数以100作为景气临界点(即选择“好”的企业与选择“差”的企业比重相等),当指数高于100时,表明经济处于景气区间。企业景气指数从2022年四季度的低点98.9明显反弹至景气区间,2025年一季度攀升至108.5的阶段性高位。相比之下,消费端表现偏弱。我们使用国家统计局公布的消费者信心指数追踪消费者的消费行为变化。类似企业景气指数的编制方法,消费者信心指数来自对全国31个省(自治区、直辖市)的19-70岁城乡常住居民的问卷调查,根据消费者对当前的判断(满意指数)和对未来6个月的预期(预期指数)编制,以100为景气临界值。在2022年末疫情结束初期,消费者信心指数一度回升,但随后迅速回落,从2023年一季度的93.6降至2024年三季度85.8的历史低点。同时,居民边际消费倾向依旧低迷,城镇居民边际消费倾向从2019年的0.66下降至2025年的0.64。生产和消费信心之间的“剪刀差”仍在扩大。

图表3:企业景气指数与消费者信心指数背离

资料来源:国家统计局,中金公司研究部 *注:企业景气指数采用净差额法计算,即(调查对象认为景气“好”的比重减“差”的比重)×100+100,即100为景气临界值;消费者信心指数通过调查获取消费者对当前及未来一段时期宏观经济形势的主观判断和心理感受,100为指数强弱临界点,指数大于100时,表明消费者信心处于强信心区,数值由100趋近200,表明消费者信心逐渐增强;反之,指数小于100时,表明消费者信心处于弱信心区,数值由100趋近0,表明消费者信心逐渐减弱。

图表4:城镇居民边际消费倾向中枢下移

资料来源:Wind,中金公司研究部

注:为平滑季节性影响,边际消费倾向采用滚动四个季度新增支出/新增可支配收入计算而得

生产与消费的分化,在广义货币结构上体现为居民存款多、企业存款少,企业与居民部门之间的货币循环不畅。疫情以来,我国居民存款相对企业存款在加速累积:居民存款从2021年1月的94万亿元上升至2025年5月的160万亿元,增幅接近70%;而同期企业存款从67万亿元增加至78万亿元,仅增加了17%。企业存款同比更是在2024年4月份罕见转为同比负增长。在2025年3月份发布的《从广义货币结构的变化看货币传导效率》中,我们曾从经济循环的角度讨论企业和居民存款失衡这一现象:居民存款相对企业增长过多,反映企业和居民之间内循环不畅,会影响未来的货币扩张效率和经济增长。居民和企业两部门间的资金循环主要通过两种途径:一是企业向居民发放工资,企业存款转化为居民存款;二是居民积极消费、投资,居民存款转化为企业存款。企业的工资支出整体稳定,存款从企业部门正常地向居民部门流动。但是由于居民的消费和投资倾向明显下降,居民存款难以向企业部门回流。其中最突出的一个因素就是居民购房减少,居民存款通过地产销售向企业存款的转化机制明显弱化,对企业存款增速形成拖累。居民存款难以回流至企业部门,企业就缺乏增量资金用于投资,反过来也会影响企业的营运能力。

这种循环不畅也证明了反复依靠投资和生产端的刺激效果难以持续,甚至会加剧供需失衡和PPI下行压力。

生产端PPI和消费端CPI均持续低位运行

2022年10月至今,我国PPI已连续32个月同比负增长,且2024年下半年加速下行。截至2025年5月PPI同比降至-3.3%。PPI和CPI同时低迷,进一步凸显了需求不足压力。如果仅仅是PPI低迷,并不一定引发通缩担忧。例如,我国在2012-2016年间曾出现过更长时间的PPI负增长,PPI连续54个月为负,最低的时候降至-6%。但同期核心CPI仍维持在1.5%-2%区间。为何当时PPI通缩并未传导至CPI通缩?PPI是上游企业的出厂价格,上游产品沿着产业链进入下游,再叠加人工成本,最终形成消费端CPI。2012-2016年间,虽然上游PPI承压,但就业和工资保持较快增长,城镇居民人均可支配收入年均增速一度高达10%以上,甚至超过名义GDP增速。居民收入强劲增长,支撑CPI保持正增长。但近年来我国城镇居民可支配收入增速从2020年的约8%下降至不足5%,收入增速放缓叠加居民边际消费倾向下降,导致CPI长期徘徊在零值附近。

图表5:城镇居民收入增速明显放缓

资料来源:Wind,中金公司研究部

低通胀压力从房租逐步向耐用品、可选消费品扩散

低通胀压力的传导在近年呈现出明显的结构性特征。2019年起,随着房价上涨放缓,房租CPI增速率先下行,年均增速由2012-2019年的3.0%降至0%左右。2020年受疫情冲击,服务类可选消费场景受限,相关价格阶段性下跌,并在2021年经济活动恢复后短暂回升。2021年6月,随着房地产进入全面下行周期,住房相关的家具、家电等耐用消费品CPI明显走弱,叠加居民部门去杠杆,可选消费品价格也随之下行。2023年,房价和居民收入预期进一步走弱,耐用消费品价格持续承压,低通胀压力逐步向更广泛的可选消费领域扩散。相比之下,衣着、通信等必需消费品价格在此期间表现出更强的韧性,尤其是首饰、黄金等具有保值属性的消费品。

图表6:通缩压力从房租项逐渐向耐用品、可选消费品传导

资料来源:Wind,中金公司研究部    *注:必需品包含衣着、通信服务、邮递服务、交通工具使用和维修;耐用消费品包含家用器具、交通工具、通信工具;可选消费品包含烟酒、家庭服务、教育文化和娱乐。对可选消费品CPI1月和2月春节窗口期数据做了平滑处理

本轮低通胀的主要推手

金融周期进入下半场,对总需求构成显著冲击,导致物价普遍低迷

简单而言,金融周期是地产周期与信用周期的共振。2017年开始,中国金融周期触顶回落。金融地产周期下行首先影响CPI中与住房相关的分项。从房价来看,中金同质性二手房指数高点是在2021年6月,房租CPI增速从2019年开始快速下行,同比增速由2012-2019年间的年均约3.0%降至2020-2025年5月间的几近零增长,按照房租在CPI中的占比13%估算,直接拉低核心CPI约0.5个百分点。

图表7:核心CPI与地产周期同步回落

资料来源:Wind,中金公司研究部

图表8:房租CPI中枢下移近3个百分点

资料来源:Wind,中金公司研究部

金融地产周期下行对通胀的影响远远超过房租本身,还会导致私人部门的信用紧缩,抑制消费和投资需求。由于居民资产中有七成配置在房地产,金融地产周期下行,私人部门加杠杆的能力和意愿下降,抑制投资和消费需求,让通胀普遍承压。从量的角度,历年1-5月居民户新增人民币贷款占全部新增贷款比重,从2021年的34.9%大幅降至2025年的5.4%,显示出居民部门信贷增长几近停滞,社会融资增量主要集中在企业和政府部门,反映出信贷结构的深刻调整。从价格角度看,2020年以来银行发放的一般贷款利率从5.8%持续下行至3.8%,但同期温州民间融资利率却从2019年底的16%持续攀升至2024年中19%的高位,直至2024年四季度才出现回落。银行与民间信用利差走阔,表明基准利率下行并未真正带来整体信用环境的宽松。

图表9:银行贷款与温州民间小额贷款利率利差走阔

资料来源:Wind,中金公司研究部

最后,金融地产周期下行不仅影响私人部门,还影响政府部门。土地出让金是地方政府收入的重要来源。金融地产周期下行也削弱了政府部门的信用扩张和财政补位能力。直至2024年9月政策转向之前,地方政府面临明显的财政紧缩压力。2020年,地方政府土地出让收入占财政收入比重高达44.3%,但此后一路下滑至2024年的27.6%。土地出让收入减少,导致地方政府支出与GDP之比迅速下降。中央政府支出在过去十年相对稳定,与GDP之比接近4%。疫情后,地方政府支出与GDP之比从2020年末的32.1%降至2024年上半年的25.6%,显示出地方政府的支出相比整体经济的顺周期性还要强。这6.5个百分点的下滑,其中约一半或可归因于土地出让收入和政府性基金收入的下降。在收入端,土地收入下滑本身已经降低了财政支出力度;在支出端,地方政府化债力度还需要加大,导致支出中有相当一部分须用于债务化解。收入端和支出端同时对财政脉冲形成负向冲击,对能够用于支持实体经济的财政资源形成双向挤压。财政支持力度不足、实体经济疲弱,反过来导致财政收入增速进一步放缓,收入端和支出端相互影响加强,形成“财政加速器”效应。

图表10:地方政府卖地收入占比大幅下滑

资料来源:Wind,中金公司研究部

综上,金融周期下行,不仅是简单的房价下行,而是引发了从政府到私人部门的普遍信用紧缩,抑制了全社会的消费和投资意愿。从CPI分项数据看,地产周期下行首先沿产业链传导至与住房相关的家具、家电等耐用品领域,导致相关CPI分项(家用器具、交通工具、通信工具)价格下跌。伴随信贷环境趋紧、总需求收缩,这一压力进一步扩散至可选消费品领域,推动各类物价增速普遍回落。

图表11:可选消费品CPI滞后房价变动

资料来源:Wind,中金公司研究部注:可选消费品包含烟酒、家庭服务、教育文化和娱乐

收入预期偏弱,居民“消费降级”

2024年9月之后,宏观政策明显转向,货币和财政政策加力,金融环境整体趋于宽松,房地产市场出现止跌回升迹象。然而,物价水平并未随房价出现明显反弹,核心CPI仍在低位区间震荡,表明除地产周期下行的冲击外,内需疲弱还存在更深层次的结构性原因。

我们认为信用及其驱动的总需求,最终取决于市场主体对未来的预期。数据显示,核心CPI与房价预期走势高度一致,房租CPI与居民收入预期也呈现明显的同向关系,表明收入预期在通胀形成中扮演重要角色。2024年9月末政策转向后,房价预期有所回升,但收入预期下行趋势仍未扭转,限制了居民消费意愿与支付能力,可能是核心CPI长期低位运行的重要原因。

近两年来,我国就业与收入形势持续承压,居民收入预期疲弱,对房地产市场和物价水平构成持续抑制。一方面,在职人员面临工资增速放缓和收入差距扩大的双重压力。工资增速放缓叠加分配不均,强化了居民对未来收入走弱的预期。另一方面,就业环境整体承压,“内卷式”竞争[2]进一步压缩收入增长空间。随着我国劳动年龄人口达峰,国家统计局公布的就业人员数净增量(取历年就业人员的相邻两年数据相减之差)自2015年以来持续为负,仅在2023年疫情防控政策优化后出现正增长。《中国统计年鉴2024》显示,2023年我国灵活就业人口达到2亿,占全国就业人口的14.3%。智联招聘研究报告指出,新型灵活就业需求和供给规模占比仍在上升。尽管工资增速放缓,“内卷式”竞争却反而加剧,劳动者的周均工作时长从2018-2019年的约46小时延长至接近49小时。“内卷式”竞争导致就业市场中的岗位竞争愈发激烈,在有限的岗位资源面前,部分岗位的任职要求有所提升,而薪酬增长幅度与求职者预期存在一定差距,进一步制约了收入预期增长。

图表12:新型灵活就业岗位供需增加

资料来源:智联招聘,中金公司研究部

图表13:周平均工作时长由46小时延长至近49小时

资料来源:国家统计局,中金公司研究部

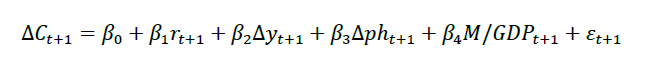
实证检验:收入预期显著影响消费

我们借鉴Campbell and Cocco(2007)和万晓莉等(2017)的实证方法,构建如下模型,分析消费对收入、房价、利率和房地产金融的敏感度:

其中,表示城镇居民人均消费支出,为实际贷款利率(1年期名义贷款利率减去通胀率),为人均可支配收入,为房价指数,表示房地产抵押贷款与GDP之比(即“金融自由化”)。其中,消费、收入和房价均以实际价格表示,并使用季调后的对数差分形式。

考虑到收入、房价、消费等经济变量共同受到宏观经济和政策的内生性影响,我们采用两阶段最小二乘法(2SLS)估计模型,选取各变量的滞后项作为工具变量:这是因为前期数据对于当期变量而言是确定的,同时具有相关性。具体估计方法为,首先将各解释变量,收入、利率、房价、房地产贷款占比对工具变量回归,得到每个变量预期成分。以收入为例,预期内收入是将当期收入对滞后期的收入、消费、房价、利率等变量回归得到的拟合值,预期外收入则为实际值与预期内收入的差。之后将消费分别对预期内和预期外成分进行回归。

基于2002Q1-2025Q1季度数据的实证结果表明,预期到的和未预期到的收入增长均对居民消费具有显著的正向影响,并且未预期到的收入变化对消费的边际效应更显著。2023年一季度以来,基于人民银行城镇储户问卷调查编制的未来收入信心指数从49.9%下滑至2024年末的45.1%,预期收入走弱持续抑制消费需求。相较之下,房价变化对消费的系数虽然为正,但在统计上不显著,显示房价对消费的直接影响有限。利率的影响同样不显著,可能是由于居民对利率变化的敏感性较低,利率更多影响企业融资和金融资产配置,这些发现与张邦科等(2011),万晓莉等(2017)的研究结论一致。此外,房地产金融的未预期扩张对消费存在“挤出效应”,表明突然的地产信贷放松会吸引更多居民储蓄流向房地产市场,从而抑制消费支出。

消费的影响因素众多,除了房价下跌和收入预期下滑之外,可能还有其它因素制约国内消费增长。首先,2024年二、三季度的财政意外紧缩曾对内需形成冲击,但这一约束在2024年9月份之后已经明显缓解。2024年9月份政策转向后,地方化债方案“三箭齐发”[3],地方政府债务化解的紧迫性已经大大降低。2025年以来财政政策明显加码,目标赤字率突破至4%,地方专项债发行进度较过去一年明显提速。财政紧缩已经明显缓解,但社零增速和物价水平仍在低位徘徊,消费者信心仍未有明显起色,表明财政紧缩并非当前消费偏弱的主因。中美贸易摩擦可能是另一个消费的制约因素。今年以来,我国出口增速仍然保持平稳,一季度货物贸易进出口总额同比增长1.3%,出口增长6.9%,进口下降6%。中美贸易摩擦尚未对我国出口形成实质冲击。但特朗普的贸易政策具有高度不确定性,可能让企业在制定资本支出计划的时候更加谨慎,进而影响就业和居民收入。为了应对这一不确定性,国内政策积极应对,更大力度提振消费。2024年中央经济工作会议[4]强调“大力提振消费、提高投资效益,全方位扩大国内需求。实施提振消费专项行动,推动中低收入群体增收减负,提升消费能力、意愿和层级”。2025年 3月,中共中央办公厅、国务院办公厅印发《提振消费专项行动方案》[5],以六部门19项举措进一步落实政策部署、补齐消费短板。

图表14:居民人均消费对收入、房价、利率、金融自由化(房地产贷款/GDP)的回归结果

资料来源:Wind,中金公司研究部

注:消费对“预期到的”利率、收入、房价等变量变动的回归方程为:,消费对“未预期到的”利率、收入、房价等变动的回归方程为。模型采用两阶段最小二乘法(2SLS)估计,括号中为标准差。

图表15:核心CPI与房价预期同向变动

资料来源:Wind,中金公司研究部

图表16:房租CPI与未来收入信心同向变动

资料来源:Wind,中金公司研究部

收入预期不仅影响消费总量,还影响消费结构

社会消费品零售数据显示,去年四季度以来,消费量持续恢复,但价格水平仍是拖累,从另一个角度验证了前文经济中存在的“量价分离”现象。这反映出入预期偏弱带来的消费需求结构调整,具体表现为:

 烟酒消费降级:2023年以来,高档烟酒价格持续下调,而中低端烟酒价格则相对坚挺。据“今日酒价”平台披露的批发参考价,飞天茅台(原箱)价格自2021年高点约3900元一路回落。2023年,虽经历出厂价上调20%,市场价格却不涨反跌。今年6月以来,飞天茅台价格继续失守,跌破2000元关口。蓝色经典梦之蓝M6批发价也从2021年高点655元跌至2025年5月的350元。从全国连锁店超市信息网公布的销量份额看,600元以上的高价白酒占比从2024年的3.0%高点降至2025年的1.9%,而200元以下的白酒销量占比同期从90%增加至95%,反映出消费者偏好下移,消费观念日趋理性。

 “穷游”特征:与2019年相比,近两年,春节、五一、端午等法定节假日的出游人次明显增加,但人均支出呈下降趋势。以2025年五一假期为例,日均出游人次由2019年的0.488亿增至0.628亿,而人均日花费却从2019年的151元下降至115元,反映出人们出游意愿增强,但消费支出上趋于理性与节约。

房价与收入预期形成负向螺旋,持续抑制通胀水平

收入预期受众多因素影响,并与房价形成双向反馈。对未来的收入预期不仅取决于当下的工资收入,还受到房价、股市等财产性收入影响。收入预期的变化也会反过来影响购房决策。从数据上看,核心CPI与房价预期,房租CPI与收入预期走势展现出高度正相关。随着2021年中地产周期下行,产业链上下游的投资和需求受到直接冲击,相关岗位的就业与薪资随之缩减;资产价格回调进一步抑制居民的消费和投资意愿,导致总需求收缩,进而波及更广泛的就业市场,削弱居民收入预期。

收入预期下滑,一方面抑制租金上涨动力,使得房租价格同比增速长期处于低位。由于房租在CPI统计中的权重较高(约13%),这一趋势持续拖累整体CPI水平。另一方面,收入预期走弱也会削弱居民的购房意愿,限制房地产市场复苏。房价下跌与收入预期转弱相互强化,形成“负向螺旋”,对通胀形成持续压力。

目前,房地产市场的价格均衡依然脆弱。尽管2024年9月政策转向帮助房价短暂企稳,但2025年二季度再度下跌,反映出“房价—收入预期”之间的负向螺旋仍未彻底扭转。如果居民收入预期迟迟不改善,房价走势也难以稳定,这种互相强化的下行机制可能对通胀回升形成持续拖累。

图表17:社零消费量企稳回升,价格水平仍承压

资料来源:Wind,中金公司研究部

图表18:旅游消费降级

资料来源:文旅部,中金公司研究部

注:其中,国庆为2019年和2024年数据

如何破局低通胀?  

产能出清不足以缓解通缩压力

2024年12月中央经济工作会议提出综合整治“内卷式”竞争[6],规范地方政府和企业行为。2025年以来,围绕这一目标,政策层面持续发力,先后出台《全国统一大市场建设指引(试行)》[7]、修订《反不正当竞争法》[8],各行业也强化自律,着力遏制恶性竞争、低质扩张等行为。在政策引导和市场调整的双重作用下,供给端积极去产能,出现触底改善迹象:以A股制造业为例,自2024年三季度以来,单位生产性资产创造的收入下滑趋势明显放缓;资本投入与折损比例显示总体投入水平稳步下降;产能形成指标自去年四季度以来已连续数月呈负增长,反映出去产能进程的实质推进。然而,尽管供给端压力有所缓解,价格端仍未见明显回升。以新能源汽车为例,虽然2024年11月乘用车价格环比由负转正,但今年2月以来,环比再度转负,显示市场终端价格仍承压。

因此,短期来看,通过减少供给、去产能的方式推动通胀回升似乎并未起到实际效果,核心症结或仍在需求端。在2024年12月发布的《通胀形成机制与风险应对》[9]中,我们强调通胀由货币、信用、预期三者共同决定。要打破低通胀困境,需要财政货币协同发力,配合结构性改革,三管齐下共同提振市场主体信心。

仅靠货币宽松或难以扭转低通胀

总量层面,我国货币总量在疫情之后持续扩张。截至2025年5月末,广义货币(M2)余额已突破325万亿元。然而,我国的货币流通速度却在持续下降。居民部门预防性储蓄偏好上升,居民和企业之间资金循环不畅。结果是“松货币”却并未“松信用”,风险溢价仍在高位,大量流动性沉淀在银行体系内,融资流动性难以转化为市场流动性,制约了货币政策的传导效果。在总需求偏弱的背景下,仅靠货币宽松并不能推升通胀,反而容易产生“资金空转”,增加金融风险(详见2024年1月发布的《从低效货币扩张到高效信用扩张》)。要想真正打通货币政策传导链条,需要财政货币协同发力,推动需求侧的修复。

当前低通胀的核心症结在于金融地产周期与收入预期形成的负向螺旋。要破解这一困局,需从稳定房地产市场和提振收入预期两端同时发力。当前国内宏观环境与去年相比已经具备三大积极条件:一是2024年财政意外紧缩已经明显缓解,二是股市、房市等资产价格已经开始止跌企稳,三是各行各业都在迎来“deepseek”时刻,不仅是AI突破改写了科技叙事,中国创新药与美国的差距也在快速缩小。这些因素共同为摆脱低通胀困境创造了有利条件。

我们认为未来政策可以考虑在以下两个方向发力:一是修复企业资产负债表,二是改善居民现金流量表。双管齐下畅通实体经济“内循环”,为通胀回升奠定需求基础。

在居民端信用持续收缩,收入预期未显著改善的背景下,单靠刺激房地产来提高居民购房意愿,进而稳房价、改善居民的资产负债表的难度较大。相比之下,企业部门具有逐利性,且资产盘活空间更大。通过注资、降息、信贷支持,可以迅速降低企业成本,推动企业扩张、增加就业需求,从而间接修复居民资产负债表。

修复企业资产负债表,稳定信用扩张能力

注入资金是改善资产负债表的必要条件。如果缺乏流动性支持,法制或监管改革就只能在存量资金中再分配。在通缩的环境下,这种存量竞争很容易演变为私人部门资产负债表的“零和博弈”,其效果可能大打折扣。

稳定房地产市场,优先考虑权益端注资。对房地产市场而言,相比政府直接收购全部不良资产,权益端注资的资金需求更可控、市场化程度更高。通过支持资产管理公司(AMC)或优质房企进行权益端注资,可以帮助行业恢复正常交易功能,我们预计所需资金体量在“万亿级别”,相对可控。而如果政府直接下场收购全部不良资产,资金需求可能高达“十万亿级别”,且后续处置难度和风险也显著增加。

加大财政补贴和贷款贴息的政策力度。财政补贴可为企业提供直接的资金支持,引导企业进行投资、技术改造和转型升级,提升企业的盈利能力和市场竞争力。贷款贴息政策则能有效降低企业的融资成本,发挥财政资金的杠杆作用,为中小民营企业创造更多市场机会和盈利空间。

设立专项再贷款工具,缓解企业应收账款压力。目前,企业部门的内生信用紧缩压力仍然显著。应收账款回收期持续延长,创下历史同期新高,产成品周转天数也处于高位。若缺乏改善,这种流动性压力可能进一步演化为资产价值下跌,导致企业资产负债表进一步恶化。对此,央行可设立专项再贷款工具,定向降低大企业短期融资成本,并要求获得资金的大企业专项用于缩短应付账款账期。这既可以降低银行直接向小微企业放贷的信用风险,也能够从源头上缓解小微企业的资金压力。

探索建立个人破产制度,为债务困境家庭和个体经营者提供重启机会,减少债务负担对消费和创业活力的长期抑制。

改善居民现金流量表,提振收入预期与消费能力

提高社会保障水平与转移支付力度,增加居民可支配收入,缓解消费的后顾之忧。尤其是农村居民的边际消费倾向普遍高于城镇居民,通过提高城乡居民养老金标准、加大对低收入群体的转移支付,能够提升整体消费倾向,增强内需动力。短期内,可通过债券融资筹集资金,长期则需依托财税制度改革,例如适度增加财产税,降低间接税,实现财政收入结构的可持续性和公平性。这也有助于“资产重分配”,即在政府部门资产充裕但现金约束较强,居民部门存款充裕但缺乏优质资产的背景下,促进资产在部门之间平滑转化。

建立适宜劳动密集型服务业发展的地方政府综合激励机制。鼓励教育、医疗、托育、旅游、娱乐、文化等服务业发展,扩大就业容量,增加居民收入来源。这不仅有助于短期稳就业、促收入,也契合消费结构升级和服务消费增长的长期趋势。

调整居民部门存量贷款利率,减轻利息负担。截至2025年5月,中国住户贷款余额已达81.45万亿元。如果平均利率下调1个百分点,居民每年可节省利息支出约8145亿元,这将直接改善居民现金流,增强消费能力。

[1] https://mp.weixin.qq.com/s/7pijZoSHV-u-T6BPh6pJmA?scene=1

[2] http://theory.people.com.cn/GB/n1/2025/0423/c40531-40466089.html

[3] https://www.gov.cn/zhengce/202411/content_6985669.htm

[4] https://www.gov.cn/yaowen/liebiao/202412/content_6992258.htm

[5] https://www.gov.cn/zhengce/202503/content_7013808.htm

[6] http://www.qstheory.cn/20250629/6d682af56d64487f817084e890fbcdfd/c.html

[7] https://www.gov.cn/zhengce/zhengceku/202501/content_6996676.htm

[8] https://m.caixin.com/m/2025-06-27/102336272.html

[9] https://mp.weixin.qq.com/s/7pijZoSHV-u-T6BPh6pJmA?scene=1

本文摘自:2025年7月4日已经发布的《打破负向螺旋:低通胀的破局之道》

缪延亮  分析员  SAC 执证编号:S0080525060005 SFC CE Ref:BTS724

责任编辑:石秀珍 SF183

加载中...