新浪财经

广东教育考试院权威公布:2025广东高考“一分一段”表

珠江时报

关注

刚刚,广东省教育考试院发布

广东省2025年普通高考成绩各分数段数据公布

这个俗称“一分一段”的表

考生靠此可以精准定位自己的位置

将是填报志愿的重要参考

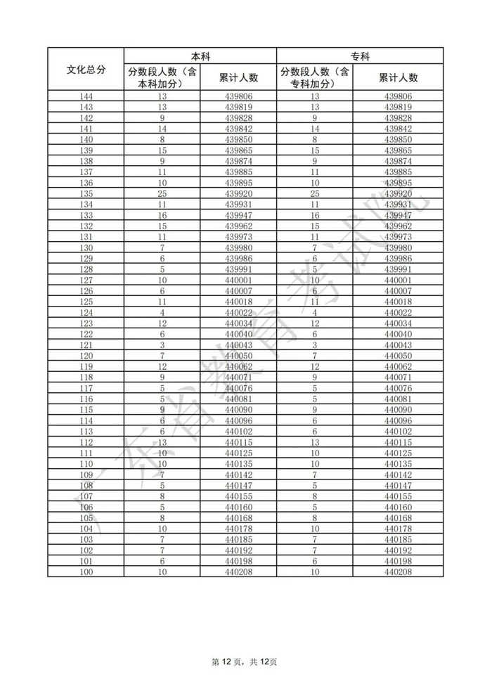
广东省2025年普通高校招生考生填报志愿时间为6月28日-7月4日,为便于考生填报志愿,确保志愿填报工作顺利进行,现将我省今年普通高考各科类各分数段成绩数据予以公布。

1.广东省2025年高考普通类(历史)分数段统计表

2.广东省2025年高考普通类(物理)分数段统计表

3.广东省2025年普通高考体育类总分分数段统计表

4.广东省2025年普通高考美术与设计类总分分数段统计表

5.广东省2025年普通高考音乐教育类总分分数段统计表

6.广东省2025年普通高考音乐教育(声乐主项)方向总分分数段统计表

7.广东省2025年普通高考音乐教育(器乐主项)方向总分分数段统计表

8.广东省2025年普通高考音乐表演(声乐)方向总分分数段统计表

9.广东省2025年普通高考音乐表演(器乐)方向总分分数段统计表

10.广东省2025年普通高考舞蹈类总分分数段统计表

11.广东省2025年普通高考表(导)演(戏剧影视表演)方向总分分数段统计表

12.广东省2025年普通高考表(导)演(服装表演)方向总分分数段统计表

13.广东省2025年普通高考表(导)演(戏剧影视导演)方向总分分数段统计表

14.广东省2025年普通高考播音与主持(普通话)方向总分分数段统计表

15.广东省2025年普通高考播音与主持(粤语)方向总分分数段统计表

16.广东省2025年普通高考书法类总分分数段统计表

2025广东高考物理类一分一段表

1

2025广东高考历史类一分一段表

2

加载中...