新浪财经

@信阳高考生,近三年河南高招录取分数线、分数段汇总→

江苏省政府网站

关注

转自:信阳发布

2025高考志愿填报工作即将启动

小编为大家带来

2021年~2024年近四年

河南高招录取分数线及分数段汇总

赶紧来看看

↓↓↓

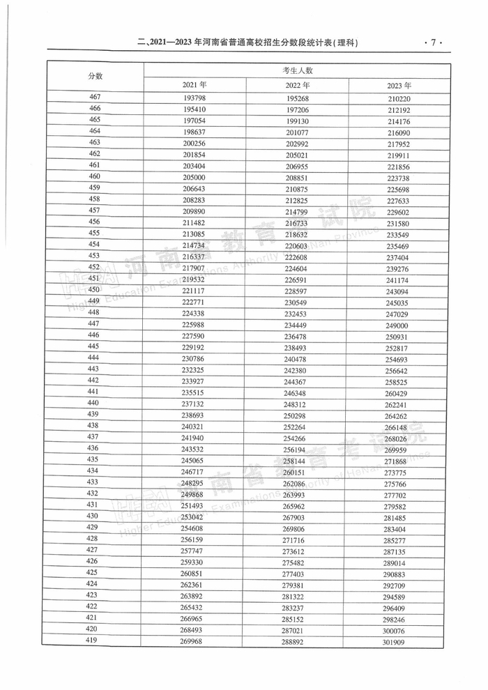
2024年河南高招录取分数线及分数段

理科

文科

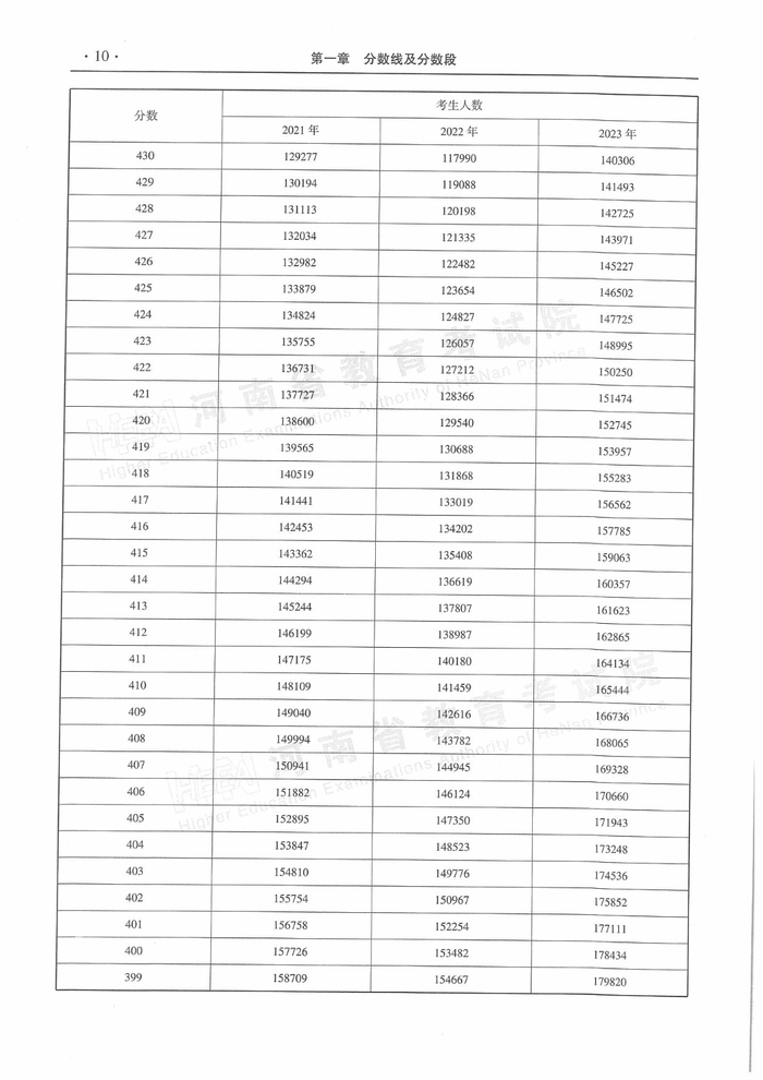
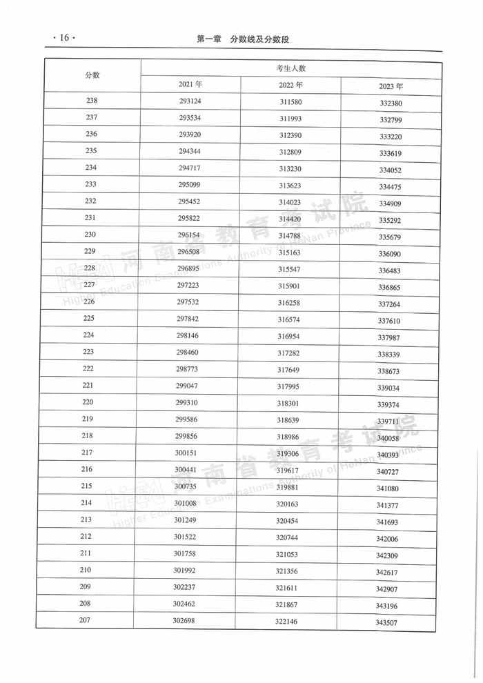
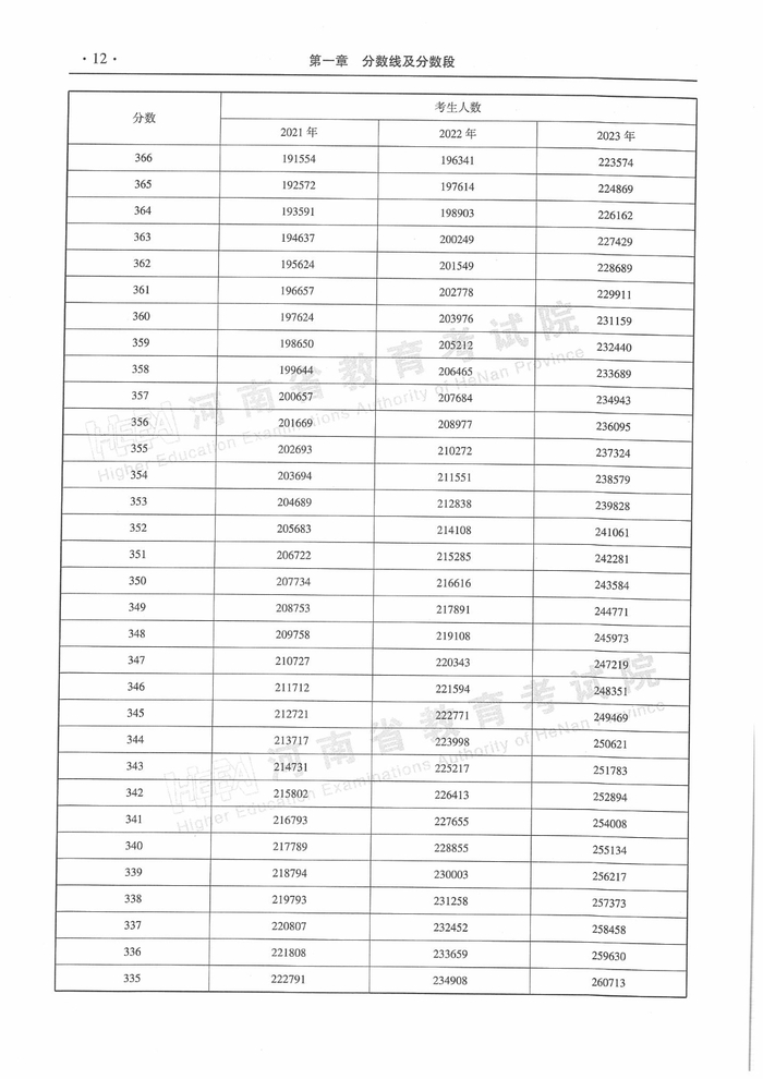
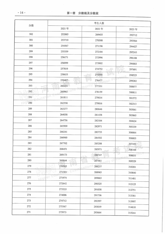
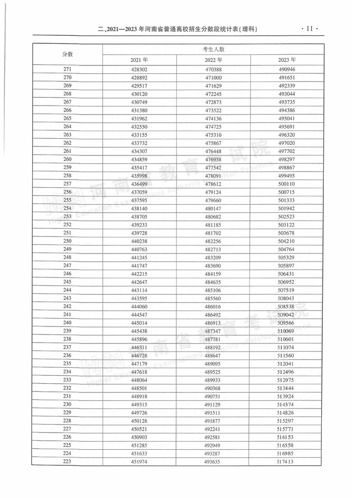
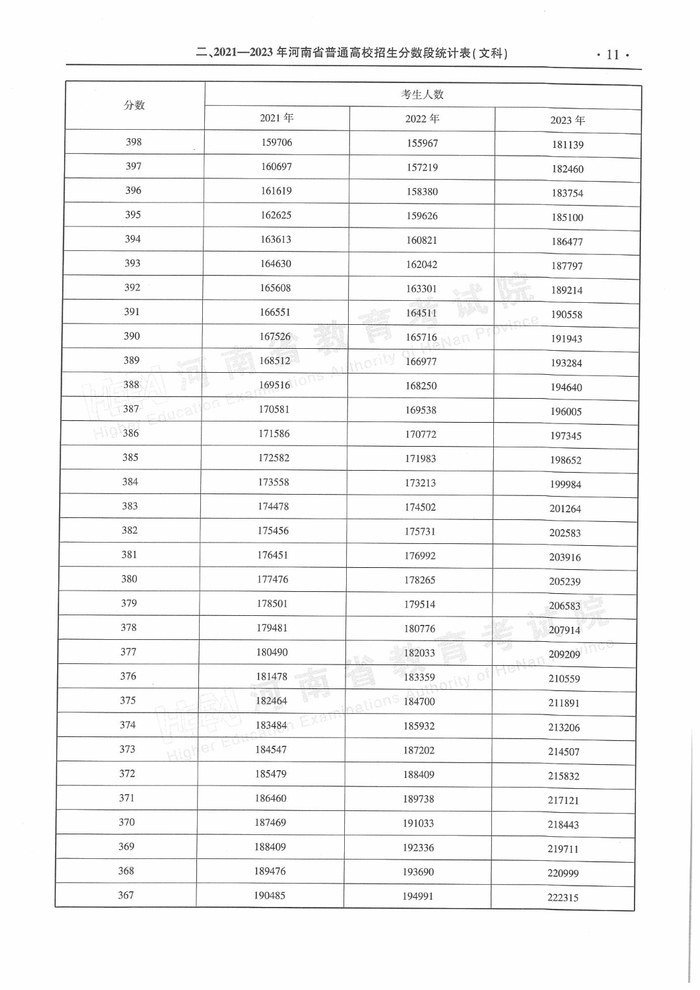
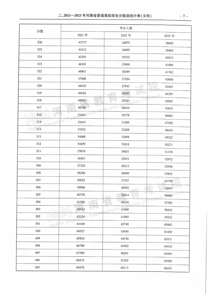
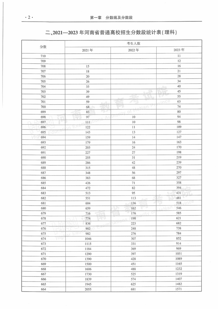
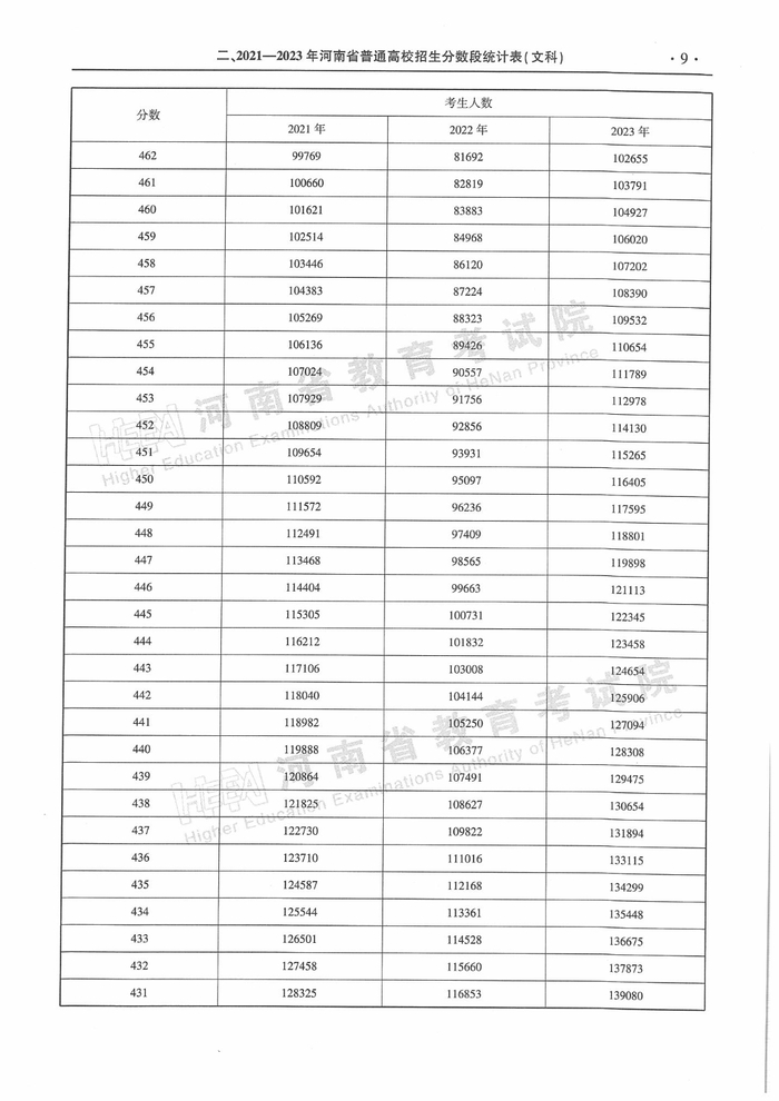
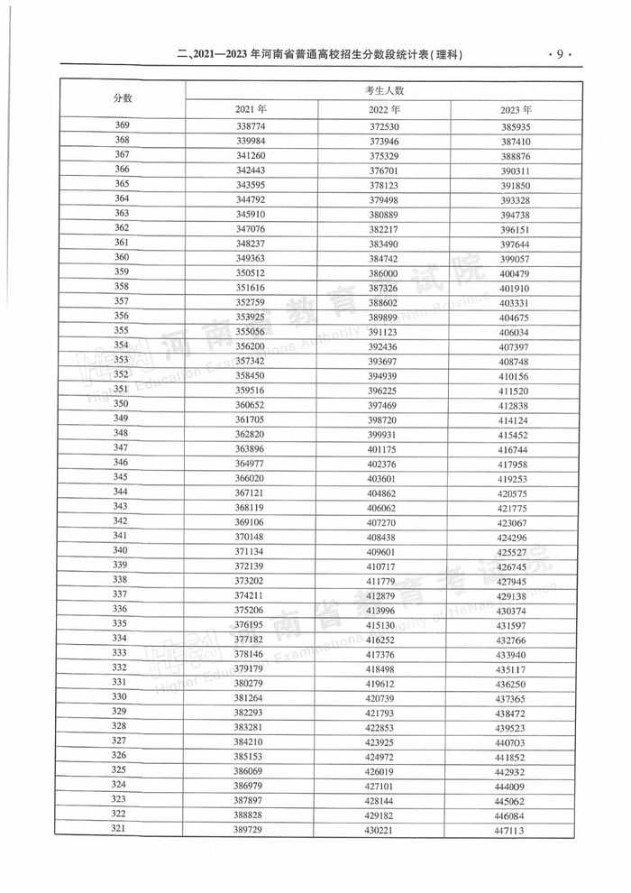
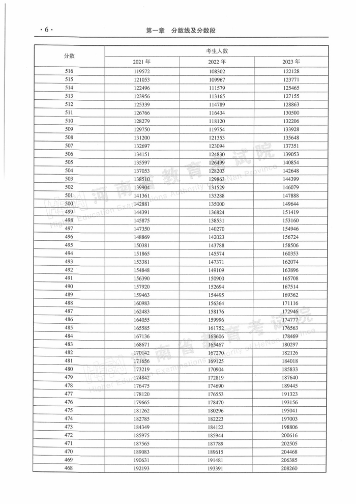
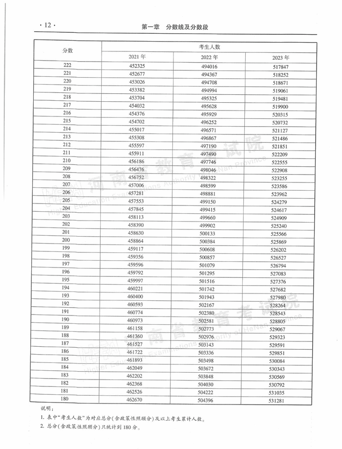
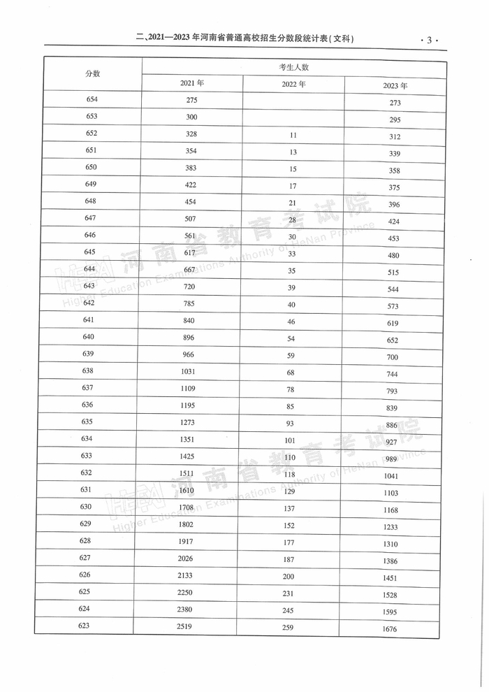
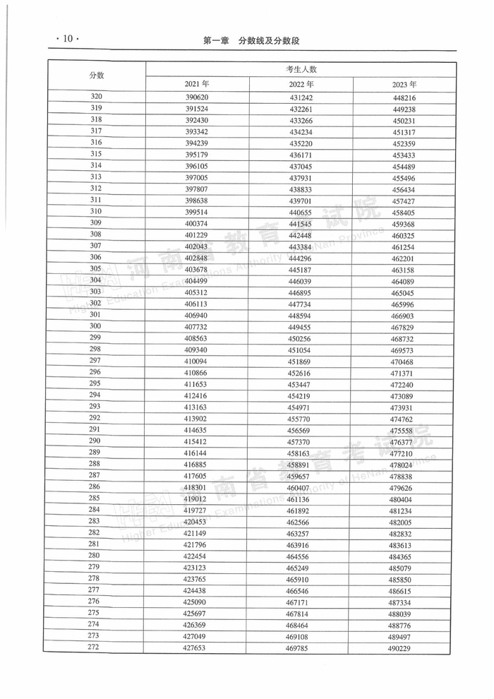
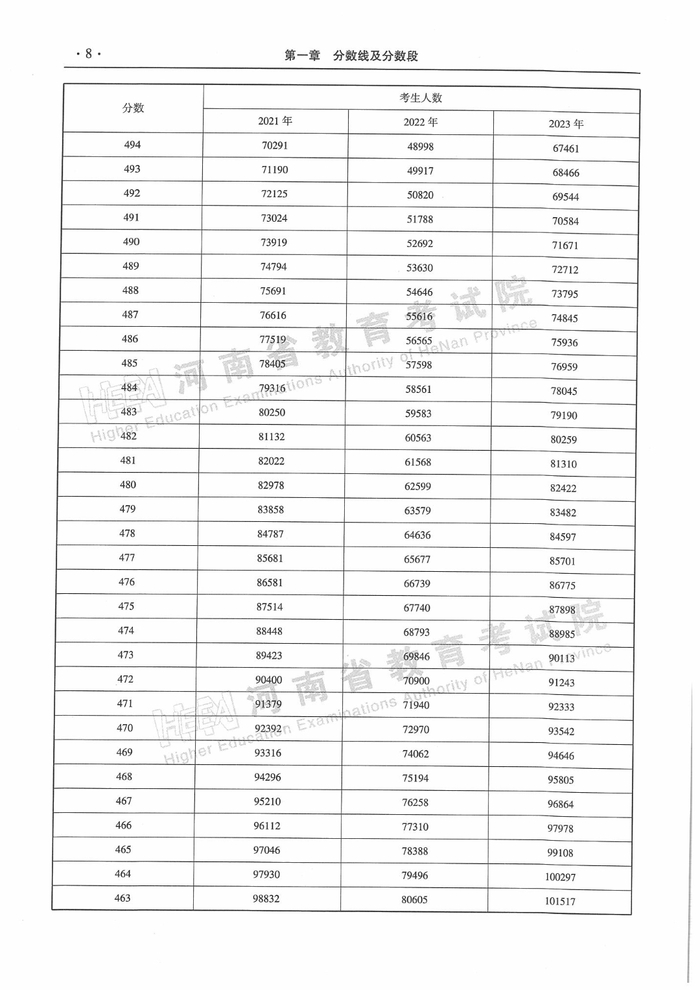
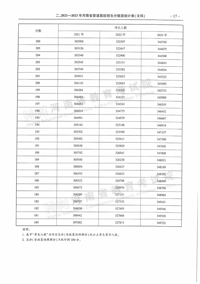
2021年—2023年河南高招录取分数线及分数段

理科

文科

“新高考”落地志愿填报与改革前有什么不同?

志愿填报单位

改革前:

主要以院校为志愿填报单位,1所院校即为1个志愿填报单位,按“1所院校+多个专业”的方式进行志愿填报,在院校内选择专业志愿和是否同意专业调剂。

改革后:

主要以院校专业组或“专业+院校”为志愿填报单位。在实行院校专业组平行志愿的批次中,1个院校专业组为1个志愿填报单位,在该院校专业组内选择1—6个专业志愿和是否同意专业调剂;

在实行“专业+院校”平行志愿的批次中,“1个专业+1个院校”为1个志愿填报单位,不设是否同意专业调剂选项。 

志愿填报数量

改革前:

实行平行志愿投档的批次,改革前普通类普遍设置12个院校志愿。艺术类、体育类普遍设置35个“专业+院校”志愿;

改革后:

改革后,普通本科批、普通高职(专科)批设置48个院校专业组平行志愿;普通本科提前批、普通高职(专科)提前批,艺术本科批、艺术高职(专科)批,体育本科批、体育高职(专科)批均设置64个“专业+院校”平行志愿。总体来看,增加了志愿填报数量和考生选择机会,更有利于考生被录取。 

志愿填报要求

改革前:

考生按照自己所报考的科类(文史类、理工类)填报志愿。

改革后:

考生须根据自己的选择性考试科目,对照高校招生专业的选考科目要求,填报相应志愿。 

加载中...