新浪科技

真正的高手都是贝叶斯主义者

中国经济观察网

关注

“顶级的成功不是因为他们是谁,而是因为他们以什么方式思考,以什么逻辑行动。”

爱因斯坦有个著名的问题:“你所经历过的最大的挑战是什么?”

埃隆·马斯克对此足足思考了30秒,给出了一个非常精彩的回答:“确保你有一个可纠错的反馈闭环(making sure you have a corrective feedback loop)”。

这种可纠错的反馈闭环,本质上是在不确定性中建立认知校准机制。大家都说马斯克是“商业天才”,为什么马斯克如此厉害呢?原因在于他是一个贝叶斯主义者。

第一,马斯克是一个有信仰的人,服从自己的使命。我们要分开信仰和信念。信仰是一定要去火星,而信念是火箭发射成功的概率有多大。

第二,马斯克行事尊崇第一性原理和概率优化,最为著名的案例便是SpaceX。

第三,就是冒险和用户满意。

对此,埃隆·马斯克说过一句话,“我根本就没有想那么复杂,对于用户来说我就是要造最好的车”。简而言之,作为一个商业天才,埃隆·马斯克一方面知道在一个不确定的世界里面如何运用概率去自我完善、迭代产品;另一方面,他也意识到了概率和物理定律的边界在哪里。

正如巴菲特对风险本质的洞察:“风险来自于你不知道自己在做什么。”他始终认为,真正的风险来自对投资对象缺乏理解,而非市场波动。对于投资成功的核心原因,巴菲特曾经说:“我们所要做的全部就是,将盈利概率乘上可能盈利的数量,减去亏损的概率乘上可能亏损的数量。”

理性大概就是巴菲特投资成功的最重要因素,让“不知道”变得可计算、可优化,再去做决策。所幸,我们有一个威力庞大的数学工具——贝叶斯定理。这个诞生于18世纪的概率学工具,正是帮助我们“知道”自己在做什么的钥匙。

这也恰是马斯克反馈闭环和巴菲特“风险知情”的数学本质:用贝叶斯式的认知升级,建立一套“动态更新”的思维框架:通过不断修正对事件概率的判断,将不确定性转化为可管理的风险。

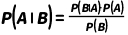
首先,让我们来认识一下大名鼎鼎的贝叶斯定理:

其中:

先验概率P(A) :在观测到新证据B之前,事件A 的初始概率。

似然度 P(B I A):在事件 A 发生的条件下,观察到证据 B 的概率。

边际概率 P(B ):证据 B 在所有可能情况下的总概率(通常通过全概率公式计算)。

后验概率P(A I B):在观察到 B 后,事件 A 的更新概率。

贝叶斯定理描述了在已知先验概率的情况下,如何利用新证据来更新信念。贝叶斯的决策思维,正是源自这一核心理念。它是一种基于概率推理的决策方法,其核心是利用贝叶斯定理来更新概率分布,从而做出最优决策。

在决策过程中,贝叶斯决策理论将这种概率更新过程与决策规则相结合,以最小化预期损失或最大化预期效用。

可能上述表达过于抽象。那么,如何将贝叶斯定理真正用于决策中?

如果我们不把贝叶斯定理看成一个严谨、教条的数学工具,而是一种“用概率更新认知”的思维方式,就能快速把握其精髓。

它不追求绝对正确,而是通过不断吸收新信息,调整决策方向,使成功概率最大化。

在当今社会中,不确定性是常态。市场波动、竞争博弈、行为演变……决策者往往需要在信息不完整的情况下做出关键判断。我们常常发现,传统的依靠直觉和经验的思维模式已不足以应对复杂环境。

幸运的是,贝叶斯定理为我们提供了一种更科学、更动态的决策框架。

同样,《贝叶斯定理》中还指出,当癌症发病率 0.1% 遇到准确率为 98% 的检测时,实际患病概率仅为 16.7%。这种反直觉结论印证了贝叶斯定理的核心价值——用基础概率稀释表面数据的误导性,如同为医疗决策加装“理性滤镜”。

这正是贝叶斯思维给我们的“第零条”重要启发:证据永远需要放在整体概率框架中解读。

具备这一前置认知后,我们来看看贝叶斯思维在更广泛决策中的三重境界。

第一重境界:先验信念——你的“直觉”如何科学化?

我们做决策时不仅会依据新信息,也会依据先前的经验信息。一般情况下,我们称之为“常识”。

E.T. 杰恩斯表示:“大脑不仅会利用当前问题所产生的新数据,也会利用旧数据。做决定之前,我们会努力回想以前对云和雨的经验认知,以及昨晚天气预报都说了什么。”

每个决策者都有先验信念(Prior Belief),比如:

“高端消费者更看重品牌价值。”

“经济下行时,低价商品销量会上升。”

传统决策的问题在于,这些信念往往固化为教条,难以调整。

贝叶斯思维要求量化先验概率,数据回答 “这件事历史上发生的概率是多少”。例如:

“根据历史数据,高端消费者选择品牌的概率是70%。”

“过去三次经济衰退中,低价商品销量增长的概率是80%。”

这就是 “先验信念” 的本质:把模糊的直觉变成可衡量的起点。

再比如开奶茶店,普通人可能凭感觉选 “学校门口人流量大,应该赚钱”,但懂贝叶斯思维的人会先算 “先验概率”:

先收集数据:周边 3 公里内,过去 5 年新开的 20 家奶茶店,80% 在 1 年内倒闭;

再加入经验:如果选址在写字楼商圈,且主打高端原料,存活概率能提升到 40%(因为过往同类店成功率更高)。

“先验信念”的关键点在于:

先验不是偏见,而是可调整的起点。

量化你的原有认知和假设,避免“我觉得”式决策。

第二重境界:动态调整——如何在不确定中持续优化?

贝叶斯思维的核心是“用新数据更新旧认知”。当市场环境变化时,决策者不应固守原有策略,而应计算后验概率(Posterior Probability),即:

后验概率 ∝ 先验概率 × 新证据的权重

看看Netflix的推荐算法:

Netflix不会一成不变地推荐“热门电影”,而是根据你的观看记录(先验)和最新点击行为(新数据),动态调整推荐列表。如果你突然开始看纪录片,系统会降低“动作片”的推荐权重,提高“纪录片”的概率。

事实上,目前各大平台的推荐系统几乎都遵循这一算法原理。

再拿新能源汽车市场为例:

某车企最初根据行业报告设定“一线城市家庭用户购买电动车的先验概率为 35%”,但当季度销售数据显示 25-35 岁单身白领的购买比例超出预期 40% 时,企业立即调整用户画像 —— 将 "高收入单身群体" 的权重从 15% 提升至 30%,并针对性开发车载智能娱乐系统。

这种调整不是推翻原有认知,而是有针对性地微调各个参数,让决策模型始终贴合市场频率。

“动态调整”的关键点在于:

市场在变,你的决策模型也要变。

小步试错+快速迭代,比“赌大方向”更可靠。

第三重境界:概率化思维——为什么高手从不说“绝对”?

高手与普通人的决策差异,在于能否用“概率分布”思想替代绝对化的结论。

也就是说,高手构建的不是单一剧本,而是包含多种可能性的 "决策沙盘"。

贝叶斯决策者不会断言“这个项目一定成功”,而是说:

“基于现有信息,成功概率是65%,但如果竞品提前上市,概率可能降至40%。”

这种思维模式能避免过度自信偏差(Overconfidence Bias),并在风险来临前做好预案。

举一个例子。某科技公司评估新产品上市时,会同步推演五种情景:

情景 A(35% 概率):竞品三个月内无动作,市场占有率可达 22%;

情景 B(28% 概率):对手推出同质化产品,占有率降至 12% 但利润留存率 65%;

情景 C(17% 概率):关税突然增加,需启动东南亚备选供应链(启动成本占预算 18%);

情景 D(15% 概率):技术突破提前半年,可抢占 35% 高端市场;

情景 E(5% 概率):黑天鹅事件(如物流枢纽罢工),需准备 3000 万应急资金……

这种将未来状况拆解为概率分布的能力,让决策者既能聚焦高概率事件,又为小概率风险预设熔断机制。

再如,顶级对冲基金不会依赖单一预测,而是构建多个概率情景,类似于:

“美联储加息50个基点的概率是60%,加息25个基点的概率是30%。

”然后针对不同情景制定应对策略。

“概率化思维”的关键点在于:

用概率区间替代绝对判断。

决策质量不取决于结果,而取决于过程是否符合贝叶斯逻辑。

其实,人人都是天生的贝叶斯主义者。

在某些情况下,人类的决策非常符合贝叶斯模型。

虽然在某些人为的、精心设计的场景中,人们很容易出现一些行为偏差,虽然大多数人不擅长复杂的贝叶斯运算,但在大多数日常场景中,我们的决策非常符合贝叶斯定理的计算结果。

事实上,我们对世界的所有感知都源于贝叶斯定理。换句话说,感知和意识本身就是一个贝叶斯式的过程。

神经学家阿尼尔·塞思表示:“大脑面对的都是一些模糊不清的感官信息,这些信息用贝叶斯模型处理起来非常方便。”

大脑的工作内容就是分析这些信息,然后推测这些信息的起因。“先分析观察结果,再推测结果的起因,这就是逆向推理,用贝叶斯方法分析这种推理再合适不过了。

如今有很多学者认为,我们脑海中的世界的画面并非来自感官,而是来自大脑的持续构建。我们围绕着身边的世界建立了一个三维模型,然后根据模型去预测世界,根据信息构建“幻觉”。

在产生预测偏误的情况下,大脑会根据新信号不断更新预测,努力降低偏误程度,尽量让预测模型符合现实。

这仍然是一个贝叶斯式的过程。预测就是先验概率,感官数据就是似然函数,更新后的预测就是后验概率。

而且至关重要的是,虽然你的预测会不断根据感官信息进行更新,但本质上来说你是生活在自己的预测里,而不是数据中——你体验到的不是感官数据,而是脑内预测。

根本上来说,我们的“体验”就是建立在感官数据上的一种贝叶斯模型。由此可见,意识本身就是一个贝叶斯式的分析模型。

所有和决策相关的事情都会涉及贝叶斯模型,因为它可以将新信息和先验判断以最佳方式整合在一起。用贝叶斯思想去认知世界,你就会发现很多现象变得更好解释了。

证真偏差就是一个很好的例子。证真偏差指的是,人们更愿意相信那些能够支持已有观点的证据。虽然这种现象有时的确会导致一些不好的后果,但大多数情况下,它都是一种很不错的贝叶斯分析。

这也可以解释,为什么年龄越大,我们越容易固执己见:年轻的时候,我们不太了解这个世界,心中的那些先验判断都很弱,所以新信息可以轻易改变我们的想法。我们心中构建的预测模型并不完善,无法做出较好的预测,所以我们可以快速学习新东西。

不过随着年龄的增长,我们获得的信息会越来越多,预测模型也越来越完善,越来越精准,所以理论上来说,新信息对先验判断的影响也会越来越小。用卡尔·弗里斯顿的话来说就是,老年人“充满智慧,但思想固执”。

如果这个世界一成不变,那老年人的确可以做出更精准的预测;然而世界是变化的,老年人需要更多的信息才能改变既有观点。这就是上一代人在面对录像机等新奇事物的时候,通常会让孩子们帮忙调试的原因。

贝叶斯思维是面对不确定性的最佳决策武器。

贝叶斯定理之于决策论,就如同卡诺热机之于热力学。这个比喻是埃利泽·尤德科夫斯基提出来的,我认为它非常恰当。

真实的汽车无法靠卡诺热机来驱动,因为你造不出来。它只是一个理想中的模型,所有真实热机都只能是它的“近似值”。真实热机越接近卡诺热机,它的效率就越高,反之就越低。

同样,贝叶斯定理也很难完美地应用于真实世界当中。我们依靠其做出决策的这些先验概率,都只能是近似值而已。你(或他人、机构、决策模型)做出的决策,实际上都是贝叶斯定理的近似值。

但是,贝叶斯定理是不确定情况下做出最佳决策的理论基础,决策越符合贝叶斯模型表现就越好,反之就越差。

每次我们面对不确定的事物做出决策时,都可以利用贝叶斯定理来判断该决策在多大程度上算是个好决策。

更准确地说,贝叶斯定理代表了理想决策,决策人在多大程度上遵循贝叶斯定理,决定着该决策在多大程度上是一个正确决策。

事实上,无论是怎样的决策过程,无论你为了实现某个目标对世界产生了多大的影响,无论你掌握的信息多么有限,无论你是正在寻找高浓度葡萄糖环境的细菌,是正在利用复制行为传播遗传信息的基因,还是正在努力实现经济增长的政府,只要你想把事情干好,你就离不开贝叶斯定理。

在VUCA(易变、不确定、复杂、模糊)时代,贝叶斯思维提供了一种“持续进化”的决策框架:

从先验出发(量化你的初始判断)

动态调整(用新数据持续更新认知)

概率化决策(管理不确定性,而非消除它)

未来属于概率化思考者——他们从不说“绝对正确”,却能比对手更接近真相。在不确定的世界里,最大的确定性就是掌握“与不确定性共处”的智慧。

加载中...