新浪科技

小麦少分蘖突变体ot2的鉴定及其控制基因Taot2的精细定位

市场资讯 2025.05.21 18:08

分蘖数是决定小麦产量的重要农艺性状之一。优化分蘖模式,特别是减少无效分蘖,是小麦育种的关键目标。深入理解小麦分蘖发生的遗传调控机制对于改良产量至关重要。利用突变体进行基因发掘和功能研究是解析小麦分蘖调控网络的重要途径。生长素作为一种关键的植物激素,在调控植物生长发育的多个方面发挥核心作用,包括分化和顶端优势等,其在分蘖芽的起始和生长中也扮演着重要角色。

中国农业科学院作物科学研究所的Huijjun GuoLuxiang Liu团队在《The Plant Genome》杂志发表了题为“Characterization of wheat oligo-tiller mutant ot2 and fine mapping of the mutant gene Taot2”的研究论文。该研究鉴定并描述了一个小麦少分蘖突变体ot2,其分蘖数较野生型显著减少,且在2-3叶期分蘖芽分化即受到抑制。通过结合集团分离分析(BSA)和外显子测序,研究人员将控制该性状的基因Taot2定位到小麦1BL染色体上。进一步利用开发的14个竞争性等位基因特异性PCR(KASP)标记,将Taot2的候选区域缩小至2.22 Mb。该区域包含39个高可信度基因。通过转录组分析和功能基因研究,最终将TraesCS1B03G1126300鉴定为Taot2的候选基因,该基因编码一个生长素/吲哚-3-乙酸(Aux/IAA)家族的生长素响应蛋白。这项研究为图位克隆Taot2这一新的小麦分蘖基因奠定了基础,并为理解小麦分蘖芽起始的分子机制提供了有价值的线索。

主要研究结果介绍

少分蘖突变体ot2的表型鉴定

研究团队通过EMS诱变小麦品种京411,筛选到一个稳定遗传的少分蘖突变体ot2。与野生型(WT)相比,ot2的分蘖数显著减少,从幼苗期到成熟期均表现出这一特征(图1A)。田间观察表明,ot2与WT的分蘖数差异在出苗后21天开始显现,并在越冬返青后达到最大,WT平均分蘖数为23.9,而ot2仅为2.1(图1B)。最终有效分蘖数ot2平均为1.5,较WT(17)减少了91%(图1C)。除了分蘖缺陷,ot2还表现出株高降低(41.9%)、千粒重下降(19.7%)和穗粒数减少(51.2%)等农艺性状的改变(补充图S1)。通过对分蘖芽发育的显微观察发现,出苗后7天,ot2与WT的分蘖芽数量无显著差异;但到14天时,WT的分蘖芽已明显分化,而ot2的分蘖芽分化受到显著抑制,这种抑制贯穿整个发育过程,最终导致分蘖数大幅减少(图1D)。这些结果表明,ot2突变主要影响分蘖芽的分化过程。

Taot2基因的遗传分析与精细定位

ot2与WT杂交构建F1和F2群体。F1代的分蘖数介于两亲本之间(图2A)。F2群体表现出三种表型分离:突变体型(<5个分蘖)、野生型(>15个分蘖)和杂合型(5-15个分蘖),其分离比例符合孟德尔1:2:1的遗传模式(图2B,表1),表明ot2的少分蘖表型受单个半显性基因控制,该基因被命名为Taot2

研究人员利用BSA结合外显子捕获测序技术对亲本及F2代极端表型混合池进行分析。结果显示,在小麦1BL染色体的531.8–677.8 Mb区域存在一个显著的SNP富集峰(图2C),表明Taot2基因位于该区域。为了精细定位Taot2,研究团队开发了7个KASP标记,在645个F2个体中将目标基因初步定位到标记1B-8和1B-31之间的75.8 Mb区间。随后,又开发了6个KASP标记和1个CAPS标记,利用扩大的F2群体(963个个体)进行基因型和表型分析,最终将Taot2基因精细定位在1BL染色体648.3 Mb至650.5 Mb之间的一个2.22 Mb的物理区间内,遗传距离为3.51 cM(图2D,补充图S2)。根据中国春小麦参考基因组注释信息,该区域包含39个高可信度基因(补充表S3)。

候选基因的筛选与鉴定

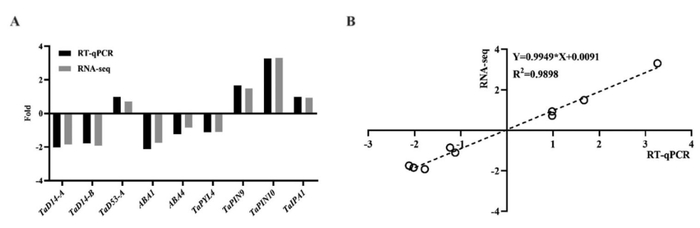
为了筛选候选基因,研究团队对WT和ot2在不同发育时期的分蘖组织进行了转录组测序,共检测到5245个差异表达基因(DEGs)(补充图S3A, B, C)。GO富集分析显示,这些DEGs主要与光合作用、胁迫响应和代谢等通路相关(补充图S4A, B)。对RNA-seq数据的RT-qPCR验证结果显示两者具有良好的一致性(图3A, B)。

在精细定位的2.22 Mb区域内的39个高可信度基因中(图4A),有13个基因在WT和ot2中均不表达,被排除。另有21个基因在两者间无表达差异。剩余的5个基因中,4个显著上调,1个显著下调(补充表S4)。通过对这5个基因在出苗后14天、49天和147天的表达模式进行分析,发现TraesCS1B03G1121200TraesCS1B03G1125100TraesCS1B03G1127300的表达模式与分蘖数变化不一致。而编码细胞周期蛋白CDC48样蛋白的TraesCS1B03G1128800ot2中表达,但在WT的三个时期均检测不到。

最为引人注目的是TraesCS1B03G1126300,该基因编码一个生长素响应蛋白(属于Aux/IAA家族)。它在WT中高表达,但在ot2的三个时期均显著下调。其在ot2中的表达量在出苗后49天时下降近30倍,但在147天时有所回升,这与分蘖数的变化趋势一致(图4B)。Sanger测序发现,该基因启动子区(起始密码子上游3200 bp处)存在一个A到G的单碱基突变(补充图S5)。进一步分析了12个与生长素(IAA)信号通路相关的基因(包括FMOsTIR1, 和ARF)的表达,发现在ot2中,这些基因的表达量在出苗后14、49和147天均显著上调(补充图S6)。

全文总结与展望

该研究成功鉴定了一个小麦少分蘖突变体ot2,其分蘖数减少是由于分蘖芽分化受阻。控制该性状的半显性基因Taot2被精细定位到1BL染色体上的2.22 Mb区间。通过转录组分析和表达模式验证,编码Aux/IAA家族蛋白的TraesCS1B03G1126300被确定为Taot2的最可能候选基因。该基因在ot2突变体中的显著下调,以及其他生长素信号通路相关基因的上调,表明Taot2可能通过生长素信号途径调控小麦分蘖。该研究为进一步克隆和功能验证Taot2基因提供了重要基础,也为理解小麦分蘖的复杂调控网络提供了新的视角和遗传资源。未来,通过基因编辑等手段对TraesCS1B03G1126300进行功能验证,并深入探究其调控网络,将有助于揭示小麦分蘖的精确分子机制,为小麦高产育种提供理论依据和基因资源。

研究团队与资助

该研究由中国农业科学院作物科学研究所的Chenxi Wang、Jiaxing Bai、 Hongchun Xiong、Yongdun Xie、Jiayu Gu、Linshu Zhao、Huiyuan Li、Yuping Ding、Huijun Guo、Luxiang Liu,以及青岛农业大学的Xinmei Guo等共同完成。Huijun Guo、Luxiang Liu为共同通讯作者。 该研究得到了国家重点研发计划(2022YFD1200700)、国家现代农业产业技术体系(CARS-03)以及中国农业科学院科技创新工程的资助。

DOI链接

https://doi.org/10.1002/tpg2.70043

小麦族多组学网站:http://wheatomics.sdau.edu.cn

投稿、合作等邮箱:shengweima@icloud.com

(转自:小麦研究联盟)

加载中...