新浪财经

华泰 | 金工:公募新规下,如何稳定跑赢基准?

市场投研资讯

关注

(来源:华泰证券研究所)

2

025

5

7

日,证监会发布《推动公募基金高质量发展行动方案》,新规通过费率挂钩、基准约束与长周期考核等举措力图重塑行业生态,对基金经理的收益创造能力无疑提出了更高维度的挑战。以纪律性、可复制性、风险预算控制为核心的量化指数增强策略方法论中或存在可借鉴之处:作为“业绩稳定器”可有效缓解行业偏离与风格漂移,控制跟踪误差,降低回撤风险;作为“补短板工具”,针对主动基金经理非优势领域结合多因子体系提供数据驱动的选股决策支持;另外引入中高频量价信息,或可把握额外的Alpha机会,提升长期业绩表现。

总的来说,基于成熟的量化指增方法论,弥补主动权益管理过程中的挑战,构建基准增强组合或将事半功倍。

公募新规重塑业绩考核标准,量化指增成破局关键

202557日,证监会发布《推动公募基金高质量发展行动方案》,新规通过费率挂钩、基准约束与长周期考核等举措力图重塑行业生态,对基金经理的收益创造能力无疑提出了更高维度的挑战。一方面,浮动费率机制将管理人收益与相对业绩基准的超额投资收益深度绑定,传统依赖市场β波动或短期风格押注的粗放投资策略恐难以为继;另一方面,三年期业绩考核与风格漂移监管要求,迫使管理人必须在控制跟踪误差的前提下建立可验证的稳定超额收益体系。以纪律性、可复制性、风险预算控制为核心的量化指数增强策略方法论中或存在可借鉴之处。

量化赋能主动管理的三大实践维度

量化指增方法论为主动权益基金提供了系统性解决方案。首先,作为“业绩稳定器”,通过持仓优化,有效缓解行业偏离与风格漂移,有效控制跟踪误差,降低回撤风险,实现风险收益的均衡。其次,作为“补短板工具”,针对主动基金经理非优势领域的选股难题,量化模型利用全市场覆盖优势,提升选股宽度,结合多因子体系提供数据驱动的决策支持。最后,可通过量价维度监控,构建风险预警机制,在把握alpha机会的同时确保风险可控,提升长期业绩表现。

追寻波动市场中的稳健阿尔法:指数增强策略

指数增强策略通过量化模型构建对标特定指数(如沪深300、中证500)的投资组合,在控制跟踪误差的前提下系统化获取超额收益。其实现包含两步:多因子选股(综合成长、盈利、估值、量价等因子)与组合优化(约束行业/风格偏离并平衡权重,确定投资组合权重)。指增策略可作为主动权益投资的有效补充工具,通过发挥量化选股宽度优势,弥补主观覆盖盲区,也可从量价层面捕捉下行风险标的,提供风险过滤机制,与此同时,指增策略通过组合优化有效降低深度研究精选个股带来的风格偏离,进而控制跟踪误差。

指增的两类主流方法:低频基本面与中高频量价

本文展示两个指数增强实践案例,分别以低频基本面因子和中高频量价因子为核心,构建沪深300增强组合。对于基本面增强组合而言,从估值、成长性、分红、波动等多个维度对精选股票池进行综合打分,2021年以来年化超额收益可达13.4%,超额收益最大回撤7.0%,增强效果显著。量价增强组合利用人工智能模型挖掘多频率量价数据的规律,每年都稳定跑赢基准指数沪深3002017年以来年化超额收益率为12.6%2024年初至今的样本外,超额仍能延续,2024年超额收益10.8%2025年截至4月底超额收益2.9%

主动投研与量化的结合:指增策略体系

在新规出台的大背景下,跑赢业绩基准已然成为明确靶心。基于量化方法论,可构建具有针对性和灵活性的基准增强组合两步策略体系,以增强因子库为基础,构建不同场景与约束条件下的增强组合,通过“增强组合工具箱”提升组合胜率。总的来说,基于成熟的量化指增方法论,弥补主动权益管理过程中的挑战,构建基准增强组合或将事半功倍。

正    文

01 公募新规下,如何稳定跑赢基准

2025年5月7日,证监会发布《推动公募基金高质量发展行动方案》(下称“新规”),以“强监管、防风险、促改革”为主线,通过25项具体措施从制度层面推动行业从“规模竞赛”“回报创造”转型,系统性解决行业长期存在的“基金赚钱、基民不赚钱”矛盾、频繁追逐热点、投资风格漂移等潜在问题,促进公募基金行业高质量发展。

新规核心举措均围绕基金业绩评价和考核标准展开,引导基金管理目标向为投资者创造收益转变,具体措施包括不限于:

1、费率机制优化:对主动管理权益类基金,推行与基金业绩表现挂钩的浮动管理费率收取模式,业绩明显低于比较基准的,须少收管理费,扭转基金公司“旱涝保收”的现象;

2、业绩基准规范:对基金公司选用业绩比较基准的行为实施严格监管,切实发挥其确定产品定位、明晰投资策略、表征投资风格、衡量产品业绩、约束投资行为的作用;

3、考核标准改革:全面提升产品业绩考核指标重要性,要求对于基金经理业绩考核指标占比不低于80%,其中对三年以上产品业绩低于业绩比较基准超过10个百分点的基金经理,要求其绩效薪酬应当明显下降。

新规通过费率挂钩、基准约束与长周期考核等举措力图重塑行业生态,对基金经理的收益创造能力无疑提出了更高维度的挑战。一方面,浮动费率机制将管理人收益与相对业绩基准的超额投资收益深度绑定,传统依赖市场β波动或短期风格押注的粗放投资策略恐难以为继;另一方面,三年期业绩考核与风格漂移监管要求,迫使管理人必须在控制跟踪误差的前提下建立可验证的稳定超额收益体系

新规出台的背景下,主动权益基金如何才能稳定跑赢业绩基准?以纪律性、可复制性、风险预算控制为核心的量化指数增强策略方法论中或存在可借鉴之处:

1、业绩稳定器:当主观基金经理基于深度研究精选个股时,往往会出现组合在行业配置或风格暴露上过度偏离基准的问题。借助量化手段可补充其他股票并优化权重分配,有效控制跟踪误差,降低回撤风险;

2、补短板工具:针对主动经理在能力圈之外的板块选股难题,量化方法能够充分发挥其宽度覆盖的优势,通过多因子模型筛选非核心板块股票,构建股票池供基金经理参考,避免主动经理跨界选股造成的风险放大;

3、负面剔除:主动经理往往更关注个股在财务指标的上涨潜力,而对量价层面等下行风险容易忽视。量化策略可以提供动量反转、波动、流动性等量价因子,辅助剔除高风险股票,缩小主动经理的筛选范围。

02 指数增强策略原理

指数增强简介

指数增强以特定指数(如沪深300、中证500、中证1000、中证红利等)作为基准,通过量化选股模型构建股票组合,在控制跟踪误差的基础上力求获得超越标的指数的业绩表现。指数增强策略涉及多因子选股和投资组合优化两个重要步骤。多因子选股通过综合考虑股票的成长、盈利、质量、预期、估值、量价等因素,实现对股票未来收益的预测。投资组合优化利用最优化工具,在控制跟踪偏离过大风险的同时,最大化组合的预期收益,以此来确定个股的投资权重。

我们可以将指数增强比喻为企业招聘:

1、目标:指数增强的目标是在控制跟踪误差的基础上,力求获得超越标的指数的业绩表现;企业招聘的目标是在保持整体组织架构的基础上,提升公司业绩。

2、多因子体系:指数增强通过成长、盈利、质量、预期、估值、量价等因子,预测股票未来收益,买入预期收益高的股票,卖出预期收益低的股票;企业通过学历、专业、工作经验、年龄等指标,评价员工或候选人的潜在表现,挑选优秀人才,裁掉低效员工。

3、仓位约束:投资组合的个股权重不能超过一定的上限,总仓位不能超过100%,类似于员工工资上限和企业工资预算。

4、行业偏离约束:投资组合应控制行业偏离,不能过度超配或低配某个行业,企业也需要均衡配置各部门人才,不能只有研发人员,也不能只有销售。

5、风格偏离约束:投资组合应控制风格偏离,不能过度暴露市值、估值等风格,这就像企业需要保持人才多样性,不能全是年轻激进型,也不能全是年长保守型。

投资组合优化模型

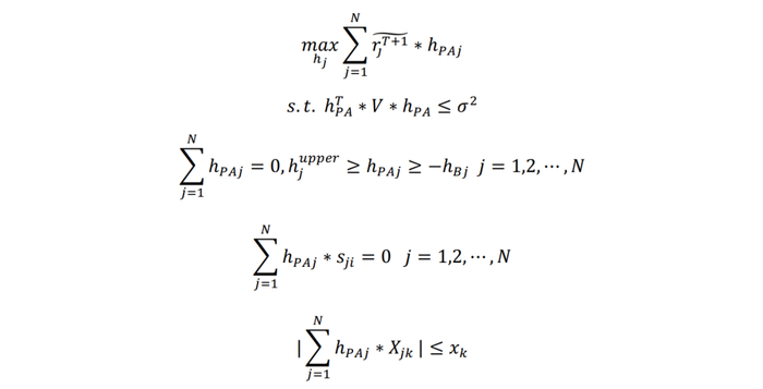
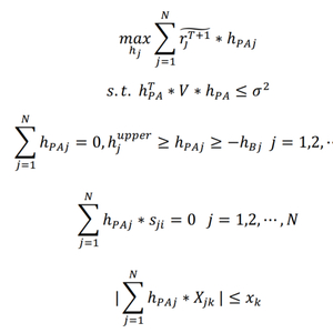
投资组合优化可视为一个二次优化问题:

其中,第1个式子是组合优化的目标,即最大化预期收益;第2~5个式子是约束条件,分别针对预期风险、个股权重、行业权重、因子暴露的约束。具体数学推导详见附录。

03 指数增强策略示例

本节分别基于基本面多因子以及AI量价因子构建指数增强组合。

基于基本面因子的沪深300指数增强

多因子选股是量化策略构建的核心之一,其通过多个维度(如财务指标、估值水平、市场趋势等)综合评估股票未来上涨潜力,筛选出可稳定获取超额收益的股票组合。本节基于企业的基本面指标构建指数增强组合示例。

首先确定组合选股域。综合考虑股票的流动性、质量等因素,本节基于中证800股票池,首先从分红、波动性等维度进行初筛得到精选股票池。筛选条件如下:

1、剔除过去1年滚动股息率位于样本空间后40%的股票;

2、剔除过去1年股价波动率位于样本空间后20%的股票;

3、剔除过去1年日均换手率位于样本空间后20%的股票;

得到精选股票池后,综合考虑企业财务指标、市场交易指标以及因子的可解释性,进一步选取8类增强因子对精选股票池内的个股进行打分,评价维度覆盖:企业估值、成长性、分红、股价的趋势、波动等多个维度。其中部分评价维度由多个底层因子等权合成,最终得分由8个维度的因子得分等权合成得到。增强因子的计算方式及权重如下。

进一步根据增强因子及精选股票池构建指数增强组合。为保证组合与基准偏离可控的同时最大化获取超额收益,组合优化器的约束条件设置至关重要。为最大化发挥增强因子预测能力,且使得优化组合适配主动权益基金组合,构建指数增强组合时进行月频的组合优化及调仓,调仓日为每月最后一交易日;同时在求解最优组合时适当放松约束条件,降低成分股权重约束,放宽个股偏离上限,增加持仓集中度,提升组合收益弹性。具体约束条件如下。

基本面增强的指数增强组合的超额收益表现展示如下。可以发现,指增组合相比沪深300基准可获取稳定可观的超额,2021年以来年化超额收益可达13.4%,超额收益最大回撤7%,增强效果显著。

增强组合每期持仓个股与精选股票池个股数量对比如下,中证800内的精选股票池数量约400只,经组合优化后平均每期持仓个股在50只左右。

基于AI量价因子的沪深300指数增强

量价数据是市场投资者通过交易产生的真实数据,既蕴含丰富的信息,也与主观投资常用的财务数据形成互补。不过,量价特别是高频量价的数据量非常庞大,存在大量的噪声,只依赖人工难以充分挖掘其中的复杂规律,而人工智能(AI)模型能够弥补这一不足。

华泰金工研报《基于全频段量价特征的选股模型》(2023.12.8)中,使用市场中各种频率的量价信息,包括日k线、周k线、月k线等低频量价数据,以及分钟线、逐笔成交、逐笔委托等高频量价数据。将多频率数据进行一定的预处理,再输入AI模型进行训练,最终输出选股信号“全频段融合因子”。该因子预测的是个股未来10个交易日相对市场的超额收益。

基于全频段融合因子构建沪深300增强组合,组合构建方式如下:

1、成分股内选股;

2、个股权重偏离上限为2%

3、barra因子暴露小于0.5倍标准差;

4、周频调仓,周双边换手率不超过30%

5、交易费用为双边千分之四。

2017年初回测以来,该组合每年都稳定跑赢基准指数沪深300,年化超额收益率为12.6%,年化跟踪误差为6.2%,信息比率为2.01,超额收益最大回撤为7.5%,超额收益Calmar比率为1.68。在2024年初至今的样本外,超额仍能延续,其中2024年超额收益10.8%2025年截至4月底超额收益2.9%

04 指增策略体系

在新规出台的大背景下,主动权益基金面临风格偏离基准、基金经理选股能力圈局限及个股量价风险控制等挑战,跑赢业绩基准已然成为明确靶心。基于量化方法论,可构建具有针对性和灵活性的基准增强组合两步策略体系,以增强因子库为基础,构建不同场景与约束条件下的增强组合,通过“增强组合工具箱”提升组合胜率,该体系提供了更加稳健的基准增强组合策略方法论。

增强因子库示例

增强因子是指增策略构建的基础。以下为增强因子库示例,包括量价维度的全频段量价融合因子和大模型因子、基本面维度的改进价值因子、另类文本维度的文本FADT因子等。以跑赢基准为目标,利用增强因子实现基准指数业绩增强效果,提升选股宽度,扩充风险筛选维度,或恰当其时。

增强组合构建目标及解决方案示例

增强因子之后,增强组合构建是弥合因子方法论与组合投资实践间隙的重要一环。下表包括常规的增强组合构建目标及解决方案示例。基于成熟的量化指增方法论,融合主动权益管理过程中的特定目标,降低基准跟踪偏差,或将事半功倍。

人工智能挖掘市场规律是对历史的总结,市场规律在未来可能失效。深度学习模型受随机数影响较大。本文回测假定以vwap价格成交,未考虑其他影响交易因素。组合业绩受多重因素影响,回测结果仅供参考。

研报:《公募新规下,如何稳定跑赢基准?》2025年5月11日

林晓明 分析师 S0570516010001 | BPY421

何康 分析师 S0570520080004 | BRB318

卢炯 联系人 S0570123070272

沈洋 联系人 S0570123070271

浦彦恒 联系人 S0570124070069

加载中...