新浪财经

《储能科学与技术》文章|马国强等:腈类化合物在高电压电解液中的研究进展

储能科学与技术

关注

作者:李南 1 马静 1黄挺秀 1沈毅星 2沈旻 1江依义 1洪涛 1 马国强 1马紫峰 2

单位:1. 浙江省化工研究院有限公司,浙江 杭州 310023; 2. 上海交通大学绍兴新能源与分子工程 研究院,浙江 绍兴 312300 

DOI:10.19799/j.cnki.2095-4239.2024.1123

摘 要提高工作电压是提升锂离子电池能量密度的有效途径,但由此引发的电解液氧化分解、过渡金属离子溶出以及正极材料结构破坏等问题,严重制约了其实际应用。因此,开发具有优异电化学稳定性的电解液成为研究的热点。腈类化合物由于高介电常数和优良的氧化稳定性,被视为高电压体系中优化电解液的理想选择。本文回顾了腈类化合物作为溶剂和添加剂的作用机理及性能特点,针对腈类溶剂与石墨及锂金属不相容的问题,讨论了高浓度电解液、弱溶剂化电解液、含氟腈类电解液及共晶电解质等4种优化策略,并总结了各策略的实际应用前景及商业化过程中面临的局限性,明确指出添加剂是当前最有效的应用方式。此外,通过介绍含硅、硼、硫等元素的化学基团修饰的新型腈类添加剂,探究了不同官能团的作用机制及其应用潜力。最后,本文阐述了腈类化合物在开发与应用中面临的机遇与挑战,展望了通过合成工艺的优化与新型添加剂的开发,获得低黏度、高纯度、界面稳定性更强的多官能团腈类化合物,并探讨其在高电压电解液,尤其是在钴酸锂电池电解液中的应用前景。

关键词锂离子电池电解液腈类化合物固体电解质界面膜

      自1991年起,锂离子电池技术迅速发展,已广泛应用于3C数码产品和电动汽车。然而,市场对更高能量密度的需求依然强烈,提升电池充电电压是显著提高电池容量的有效途径。传统的锂离子电池正极材料,如LiCoO2(LCO),当工作电压升高至4.5 V时,晶体结构将面临从O3(H1、H2、M1、H3)到中间过渡相H1-3的转变,直至4.7 V时,O1相状态下锂离子(Li+)几乎完全脱出。高电压循环过程中,Li+脱出导致晶格内部氧原子间排斥力增强,材料层状结构坍塌,界面处钴离子价态发生不可逆转变,形成尖晶石Co3O4结构。同时,高价态的钴离子溶出后会与逃逸的高价氧原子形成高活性表面,进一步加速电解液氧化分解。虽然电解液中的碳酸乙烯酯(EC)会分别在正极和石墨负极表面发生氧化还原分解聚合反应,形成有效的正/负极电解质界面膜(CEI&SEI),但该膜对高电压的耐受性较差。此外,EC的副分解产物水(H2O)与锂盐反应生成氟化氢(HF)等有害物质,进一步攻击脆弱的钴酸锂/电解液界面。这些有害过程相互促进,形成恶性循环,造成电池产气、内阻增长、循环寿命衰减,最终引发热失控等安全问题。

提高溶剂氧化分解窗口以抑制EC等碳酸酯分解,或者构建坚固稳定的正极/电解质界面膜(CEI)减少电解液与正极材料的接触,均能有效抑制副反应的发生。此外,部分CEI膜还能够提供低阻抗的锂离子和电子传输通道,防止正极结构的损坏。采用含有特定官能团的电解液添加剂来稳定正极-电解液界面是一种高效便捷的方法。腈类化合物,尤其是带有末端接枝缺电子基团氰基(-CN)的分子,因其在高压正极表面具有优先化学吸附能力以及与Li+的高配位特性而备受关注。作为溶剂时,这类物质不仅具有较高的介电常数和低黏度以保证高离子电导率,还能够优先与高氧化态的过渡金属原子配位,减少脱锂正极表面与电解液之间的寄生反应,同时氧化稳定性高。作为添加剂时,腈类化合物可用于构建稳定致密的固体电解质界面,以改善高电压正极与电解液的稳定性。关于腈类化合物的工作机制,科学家们基于不同电池体系提出了多种合理但不尽相同的见解。然而,腈类物质电化学窗口较窄且还原稳定性不足,严重影响其与石墨以及锂负极的兼容性。本文综述了腈类化合物在不同高性能电池及极端工况下对电极/电解质界面改性的重要进展,总结了不同类型腈的作用机制,并探讨了如何进一步理解和解决其存在的局限性。

1 腈类溶剂

溶剂是电解液的主要成分之一,其特性将直接影响电解液性能。各种不同类型电解液中,醚类电解液对锂金属负极具有较好的钝化效果,但是在常规锂盐浓度条件下却不能承受高电压的电池体系;碳酸酯类电解液具有较好的锂盐溶解性、高离子电导率、耐氧化分解等优点,但其还原产物不能在锂金属表面形成稳定致密的SEI膜,影响电池电化学性能;羧酸酯的熔点和黏度低,更适合用于低温电解液,缺点是石墨稳定性较差,影响电池循环和倍率性能;砜类电解液耐氧化能力强,弊端是黏度较高、成膜性能差;腈类电解液耐氧化性高,且分解产物一般不含有毒的氰化物,因此也具有一定的安全性,可应用于高电压电池体系。本章节将深入探讨腈类溶剂的作用机理与应用缺陷,并提出系统性的解决策略。

1.1 腈类溶剂的性能特点

腈类化合物由于碳氮三键的键能高达891 kJ/mol,不易被氧化,因而在正极具有优良的耐高电压稳定性,氧化分解电压(vs. Li/Li+)超过5 V。与碳酸酯和羧酸酯溶剂相比,其高介电常数有助于促进锂盐解离,形成更多自由移动的Li+,提高Li+迁移数。同时,腈类化合物黏度更低、温度窗口更宽,有助于改善电解液电导率和低温性能,是一种理想的电解液溶剂。根据有效官能团-CN数量的不同,腈类化合物可分为单腈、二腈和多腈等,常见的单腈包括乙腈(AN)、丙腈(PN)、异丁腈(iBN)等,图1(a)、(b)展示了常见碳酸酯[如碳酸二甲酯(DMC)、碳酸甲乙酯(EMC)、碳酸二乙酯(DEC)]、羧酸酯[如乙酸乙酯(EA)、丙酸甲酯(MP)、丙酸乙酯(EP)、丙酸丙酯(PP)]与腈类溶剂AN、PN、iBN的介电常数、熔沸点、黏度及氧化还原窗口。然而,腈类化合物的起始还原电位(vs Li/Li+)在2 V左右,会引起还原过程电解液过早分解,加速石墨剥离。

(a) 典型碳酸酯、羧酸酯和腈类溶剂的介电常数、液相范围和黏度(b) 四丁基铵盐或锂盐在不同种类溶剂中的氧化还原曲线

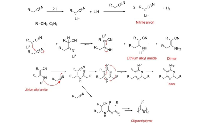
实际应用中同时发现,单腈中的α-H易与Li形成一种Li+(R-CN)-络合物。充放电过程中,该络合物会持续攻击其他腈分子最终形成一系列可溶性二聚体、三聚体及低聚物,导致电化学性能快速衰减,其反应过程如图2所示。相比之下,二腈及多腈分子的电子分布更加均匀,其增强的分子内或分子间作用力使得结构更加稳固,因而更易发生交联反应,在锂金属表面形成不溶性保护膜,抑制其与腈分子发生反应。尽管如此,二腈及多腈溶剂的缺陷在于-CN数量的增加需要延长碳链长度,使得化合物黏度随之增长,影响锂盐解离。同时,其还可能导致空间位阻过大,降低分子在正极表面的覆盖度,限制-CN的吸附和保护膜形成,从而影响电化学性能

单腈化合物与锂金属反应过程

1.2 腈类溶剂的优化方案

为了提高腈类溶剂与石墨负极和锂金属的兼容性,科学家们进行了较多尝试,常见的有提高腈类电解液中锂盐浓度、腈类与碳酸酯溶剂联合使用形成共溶剂以降低溶剂化能,以及开发含氟腈类电解液和共晶电解质等。

1.2.1 高浓度腈类电解液

使用高浓度电解液能够有效抑制单腈分子与锂金属的聚合反应,这是由于高浓度下腈会与锂盐阴离子及Li+形成更为紧密的配位结构,这种结构不仅能显著改善Li+在电极表面的快速脱嵌,还使得阴离子成为主要的还原反应位点从而被优先还原并形成保护膜,阻止溶剂分子与锂金属的反应。Yamada团队设计了一种以双氟磺酰亚胺锂(LiFSA)为锂盐的高浓度电解液4.5 mol/L LiFSA/AN,对比发现,将锂片搁置于该电解液1周后,其状态几乎未发生变化,而在1.0 mol/L LiFSA/AN电解液中则迅速发生分解,电解液呈现黄色,这是由于AN被锂金属还原产生了剧毒的游离氰化物。将上述高浓度电解液应用于石墨||锂半电池,实现了Li+在石墨负极中的可逆脱嵌,并显示出比商用EC基电解液更优异的倍率性能,图3显示了AN在不同浓度LiFSA电解液中的溶剂化结构。Peng等在高浓度乙腈电解液中进一步引入成膜添加剂碳酸亚乙烯酯(VC),兼顾腈类溶剂高氧化稳定性的同时锂金属库仑效率高达99.2%。将该电解液应用于全电池中,Li||NMC333在3.6 mA/cm2和Li||NMC622在2.0 mA/cm2电流密度下均能获得200周以上的稳定循环。

稀溶液(1 mol/L)与高浓度(4.2 mol/L)下溶剂化结构

1.2.2 弱溶剂化电解液

尽管高浓度电解液利用有益的溶剂化结构形成富含无机物的强大界面,能够实现电池高效的电化学性能,却严重阻碍了Li+扩散和传输,导致电解液黏度增加、界面阻力增强、低温性能受限,且成本较高。为了更好地实现腈类溶剂的商业化应用,研究人员将碳酸酯溶剂与腈类溶剂联合使用形成共溶剂,即使在低锂盐浓度下依旧能保持较高的低温容量保持率。其作用机理为高介电常数的腈削弱了Li+与溶剂的结合能,可在低温下快速去溶剂化,实现更快的电荷转移,并在高温下形成无机界面成分以避免副反应。同时,EC等环状碳酸酯则有助于形成界面膜以提高石墨负极稳定性。Cao等使用iBN开发了一种超低温电解液,在-70 ℃仍具有1.152 mS/cm的电导率。通过计算表明,Li+与碳酸酯、羧酸酯和腈类具有不同的溶剂化结构,其中iBN的电子密度ρ(r)最低、势能密度V(r)最高,表明溶剂化作用最弱,如图4(a)~(c)所示。将该电解液应用于LCO||石墨软包电池,-70 ℃下容量保持率高达68.7%,并在-40 ℃和60 ℃下表现出稳定的循环性能。

(a) 优化后的Li+EMCMPiBN的四配位溶剂化结构,(b) Li+-O(N)在不同电解质中键临界点(BCP)处的平均ρ(r)V(r)(c) EMCMPiBN作为电解质共溶剂的六个重要特性的雷达图

1.2.3 含氟腈类电解液

增加其他有效官能团对溶剂分子进行修饰也是改善腈类溶剂电化学性能的一种重要措施,其中,氟原子由于具有较强的电负性和弱极性引起学者关注。化合物氟化后还会进一步降低凝固点、增强高电压耐受性,拓宽电解液工作温度区间和电压范围。范修林课题组使用氟乙腈(FAN)和LiFSA设计了一种新型电解液,常温离子电导率可达40.3 mS/cm,-70 ℃为11.9 mS/cm,将其应用于1.2 Ah容量的NCM811||石墨电池,即使在-65 ℃超低温条件下依然获得了0.62 Ah放电容量,还可实现60 ℃、6C快速充放电。作者提出了一种“配体通道促进传输”机制,传统电解液中的锂离子传输模式分为介质传输和结构传输两种,而基于这两者的电解液设计均难以满足锂离子快速传输的需求。兼具高离子电导率、低溶剂化能和小体积的FAN溶剂在次级溶剂鞘中可将初级溶剂鞘的Li+拉出,形成一种快速离子传导配体通道,降低离子传输能垒,加速锂离子扩散,如图5所示。同时,FAN还允许阴离子进入Li+的第一溶剂化层,形成富含无机物的界面膜,为实现高能量密度、快速充放电和宽工作温度范围的锂电池提供了可能。Zhou等采用3-(2,2,2-三氟乙氧基)丙腈(FEON)作溶剂,其分子结构中的F和-CN促进Li+溶剂化并形成稳定的配位结构,增强了电解液电导率,-CN的存在还提高了电解液的高电压稳定性。负极方面,FEON在锂金属表面形成富含LiF和有机成分的SEI保护膜,有效抑制了锂枝晶生长,降低电池副反应,实现4.4 V电压下NCM523||Li电池的稳定循环。除上述自身效果外,含氟腈类溶剂还能与电解液中的添加剂发生相互作用改变其高电压行为。Oldiges等将三氟甲基引入己二腈(ADN)中形成3-(三氟甲基)己二腈(ADN-CF3)显著减少了LiTFSI对铝箔的腐蚀。研究发现,导致铝腐蚀的主要原因与可溶性Al(TFSI)x的形成有关,而ADN-CF3由于F的作用降低了腈的介电常数,使得LiTFSI解离度降低,减少了Al(TFSI)x在电解液中的溶解度,从而达到抑制铝腐蚀的效果。

介质传输、结构传输、配体通道促进传输三种作用机制

1.2.4 共晶电解质

共晶是指由两种或两种以上组分通过氢键、路易斯酸碱配对、范德华力等弱相互作用形成的低熔点混合物,且其熔点明显低于其中任一组分,因而具有优异的低温抗冻性。相比碳酸酯溶剂,其具有挥发性低、热稳定性好、安全性高的优势。共晶电解质(DEE)通常由金属盐和氢键供体组成,得益于强电负性氰基的存在,腈类化合物是一种良好的氢键供体,同时N的配位作用还能促进锂盐解离。以二甲基丙烯腈(DMMN)为例,-CN中拥有未成键电子对的N原子作为电子供体与Li+配位促进LiTFSI解离,H原子和TFSI-阴离子中的F原子形成氢键,两者共同作用共同诱导DEE形成。Mai等测试发现,该电解质具有0.67 mS/cm的电导率(25 ℃),且由于不含α-H,DMMN与金属锂稳定性高,使其具备良好的电极/电解质界面相容性,且高电压氧化性强。对于含α-H的腈如SN,可利用腈类溶剂与另一种溶剂间的“竞争溶剂化”机制形成三元共晶电解质,使得非腈溶剂优先与Li+配位形成稳定的界面膜,或是两种溶剂间发生强相互作用增大空间位阻,抑制SN与Li之间的反应。基于这一机理,Cui等提出了一种含SN/1,3,5-三 烷(TXE)/二氟草酸硼酸锂(LiDFOB)的新型深共晶电解质。在这种DEE中,TXE参与形成Li+的初级溶剂化壳层,形成一种具有稳定正负极界面膜功能的Li+-SN-TXE-DFOB-溶剂化结构,并在高截止电压、高LiCoO2电极载量、超薄锂负极和低N/P比条件下显示出较好的循环稳定性和倍率性能。在电池安全测试期间,使用这种DEE的LiCoO2||Li电池通过将TXE快速聚合形成中等分子量的聚合物实现热诱导关闭,以终止Li+传输,提高电池安全性。

高浓度腈基电解液、弱溶剂化电解液、含氟腈类电解液和共晶电解质均有利于显著改善腈类溶剂还原电位高、与锂金属发生聚合反应的弊端,实现高电压下锂离子电池的稳定循环。然而,4种方式各有其优势和弊端,详见表1。腈类溶剂的商业化应用仍任重道远。

表14种含腈类溶剂的电解液性能总结对比

2 腈类添加剂的作用机理

腈类溶剂由于依旧存在一些难以克服的缺陷,在实际应用中往往作为添加剂使用。腈类添加剂在高电压电解液尤其是LCO正极界面稳定性方面具有显著的竞争优势,然而其作用机理尚不清晰。本章从吸附络合、牺牲成膜和除水抑酸三方面总结了腈类添加剂对提高正极/电解质界面稳定性的作用。

2.1 吸附络合

由于-CN中的N原子除参与形成三个共价键(一个σ键和两个π键)外还有一对孤对电子,因此可与正极材料中带正电荷的过渡金属离子如钴离子、镍离子等形成配位,抑制后者在充放电过程中溶出,缓解循环过程中正极晶体开裂和结构坍塌,提高正极材料结构稳定性。通过计算也表明,腈类与金属离子的吸附能明显低于EC、FEC等溶剂分子。值得注意的是,这种吸附络合作用还会影响高电压下电解液的氧化分解。Yang等研究发现,在LCO正极材料中,-CN吸附在电极表面占据高价态Co4+活性位点后N 2p轨道与Co 3d轨道发生杂化,N 2p轨道中孤对电子的贡献使得Co4+真实价态被降低,减少了过渡金属离子对电解液的催化分解作用,其代表性物质是1,3,6-己烷三腈(HTCN)。

2.2 氧化牺牲成膜

腈类化合物通过H原子与电解液中的阴离子如PF6-发生相互作用,降低氧化电位,使其优先于碳酸酯溶剂发生分解,并在LCO表面形成保护膜。以丁二腈(SN)为例,Xing等对比了两种不同处理条件下的Co3O4电极材料在SN电解液中的行为及电解液变化。第1种电极材料未经任何预处理,直接浸入SN电解液中;而第2种电极材料在浸入相同电解液前,经过了4.5 V的预充电处理。随后,分别对这两种电极-电解液体系进行线性伏安扫描(LSV)。结果显示,未经任何预处理的电极在电解液中引起了颜色变化,表现为黄色;相反,经过预氧化处理的电极在电解液中未引起任何颜色变化。此外,对预氧化处理后的电极进行X射线光电子能谱(XPS)分析,检测到了特定的反应峰,证明了Co3O4电极表面氧化膜的存在。然而,常规线性腈分子会通过H原子与EC的极性部分发生相互吸引,造成EC密集分布,导致单独依赖腈类添加剂形成的界面膜并不均匀,无法维持电池的长期循环。Yang等通过将腈类添加剂与氟代碳酸乙烯酯(FEC)协同使用,不仅调控了界面层的致密度,还克服了FEC在正极表面过度分解导致界面层过厚的问题,从而改善了电池的循环稳定性和倍率性能。

2.3 除水抑酸

当前,LiPF6依然是商用电解液的最佳锂盐,然而却存在热稳定性差与易发生水解的难题,其产物HF会严重腐蚀电极材料,破坏电极/电解质界面并加速过渡金属离子溶出,反应过程如式(1)式(2)所示

LiPF6→LiF+PF5(1)

PF5+H2O→POF3+HF(2)

电解液中游离的H质子易攻击-CN中的孤对电子,有效去除电解液中的水分,并抑制电解液中酸度增长。Liao等将含4-(三氟甲基)苯甲腈(4-TB)的电解液储存于55 ℃高温中72 h,观察到该电解液颜色变化较小,酸度值为2356mg/kg,而空白对照组颜色呈深棕色,酸度增长至4386mg/kg。GC-MS结果表明,-CN可与H+结合形成-CNH+并最终转化为-C(NH2)O,从而抑制电解液分解,作用机理如图6所示。

氰基除水抑酸作用过程

3 多官能团及新型腈类添加剂

腈类添加剂通过络合过渡金属离子、自身氧化成膜及去除水分子显著提高了电解液的高电压稳定性,但是还原稳定性差、与石墨负极不相容的弊端依旧存在,且由于使用量往往较低(不超过6%),添加剂及其衍生物不能主导钝化层的成分。为提高适用范围,可使用腈类与其他功能添加剂如VC、FEC、LiDFOB等联用在石墨负极表面形成保护膜,例如Ji等将辛二腈(SUN)与双草酸硼酸锂(LiBOB)协同使用,腈类有助于缓解高价态钴离子对硼酸盐和碳酸酯溶剂的催化分解,提高电解质的高电压耐氧化性,而具有强吸电子能力的硼基化合物通过捕获F-提高了CEI膜中LiF含量,从而提高锂离子扩散速率,降低了电荷转移阻抗,并提高界面膜稳定性,最终实现了4.5 V电压下LCO电池的稳定循环。而更高电压下,由于LiBOB、VC等成膜添加剂氧化分解严重,副反应增加,反而抑制了腈类在高电压电解液中的应用。因此,亟须开发多官能团及新型腈类添加剂,以提高4.5 V乃至5 V高电压下电解液的综合性能。

3.1 含硅腈类添加剂

有机硅化合物因其低可燃性、低挥发性、高抗氧化性和绿色环保受到学者们的青睐。硅基添加剂中的Si—N或Si—O键不仅可在高电压正极形成聚合物CEI膜,还能与电解液中的杂质H2O反应,清除HF、PF5等有害物质,同时抑制LiPF6分解。基于此,Figgemeier团队设计了一种新型硅基腈类化合物TEOSCN[结构式如图7(a)所示]。该化合物一方面利用-CN生成富含有机成分的电解质界面膜,另一方面,硅氧烷基团有助于形成有机-无机复合的SEI结构,表现出了更好的机械稳定性和离子导电性。同时,其还能调控电解液中的水分和酸度,提高电解液的高温下稳定性。Guillot等通过使用OS3添加剂[结构式如图7(b)所示]有效减少了60 ℃存储过程NCM622||石墨电池的产气,且与SN相比,该化合物抑制碳酸酯溶剂氧化分解效果更佳。

新型硅基腈类化合物的结构式

3.2 含硼腈类添加剂

B的相对原子质量小且在自然界中广泛存在,具有十分广阔的应用前景。由于空p轨道的存在,B处于缺电子状态,易与强吸电子基团如-CN相连。在电解液中,也易与PF6-、F-等阴离子结合,提高Li+迁移数。同时,该类化合物氧化电位低,会优先碳酸酯溶剂发生分解形成薄而坚固的CEI膜。Zhang等介绍了一种新型双功能含硼添加剂三(2-氰乙基)硼酸酯(TCEB),在-B-O-和-CN两者共同作用下优化了LCO表面界面膜,显著提高了电池的循环稳定性和倍率性能,并兼具低阻抗。

关于硼酸酯化合物的作用机理,有学者提出其对电解液氧化稳定性的提高更多是基于路易斯酸性的B与路易斯碱性的EC络合。他们认为,B更多是作为阴离子受体,其作用机理是在表面发生化学反应,降低体相及电极界面阻抗(图8),而非一种发生氧化还原反应的成膜添加剂。即便如此,B对腈类化合物的修饰作用仍然意义深远。

硼酸酯与锂盐 (a)、羰基化合物 (b) 分子间的路易斯酸碱中和反应

3.3 含硫腈类添加剂

硫元素的价态多、结构多变,根据所连氧原子数量和结构方式的不同可形成较多种类。其中,磺酸内酯和硫酸酯等化合物可在正负极表面成膜,分解产物如Li2S、RSO3Li等离子电导率高,形成的钝化膜富含(CH-CH2-CH2-OSO3Li)2,柔韧度高、负极黏性强、不易脱落,同时还能构建一种三维网状结构,有利于Li+传输。Zheng等通过将磺酰基引入腈类化合物自主合成3,3′-磺酰二丙腈(SDPN)。在-S(=O)2-和-CN两个官能团的作用下,该化合物能够在氧化过程中形成富含ROSO2Li、Li2SO3等无机成分的界面膜,有效抑制了正极材料中过渡金属离子的溶出,同时减少了高电压下电解质的分解反应。Zuo等也探究了一种含苯环和磺酰基的腈类化合物3-(苯磺酰基)丙腈(PSPN),研究发现,由于苯环开环所需能垒较高,充放电过程中磺酰基或氰基与苯环发生断键分离,随后含有效官能团的小分子物质分别在LCO和石墨表面发生氧化和还原反应,产物包括各种含硫锂盐及含S、N的有机成分,其氧化和还原反应如图9所示。这些固体电解质界面膜有效隔离了电极材料与电解质,同时具有较低的界面阻抗,有利于Li+快速脱嵌,从而保证了电池更高的倍率性能和更稳定的循环性能。

PSPNLCO和石墨表面可能发生的成膜路径

3.4 其他类型添加剂

除上述几种常见的新型腈类添加剂外,含氮杂环类、苯环类化合物同样展现出了显著的效果,表2总结了新型腈类添加剂在高电压电解液中的应用与电池性能。Duan等提出了一种含氮杂环腈类1-(2-氰乙基)吡咯(CP),该化合物中的N原子由于具有孤对电子能够有效捕获电解液中的水分和锂盐分解产物PF5,增强腈类的除水抑酸功能。同时,其还能优先氧化形成稳定且具有高电导性的CEI膜,抑制金属离子溶出,提高正极材料和电解液稳定性。近期,Zhou等提出,不同于线性腈类化合物,含氟苯腈如3-(三氟甲基)苯甲腈(TFBN)、3,5-二氰基氟苯(DFBN)、3,5-双(三氟甲基)苯甲腈(BFBN)等,由于吸电子基团-CN的存在,苯环的π堆叠呈现电子不足的状态,从而与PF6-产生更强的相互作用。另一方面,当苯基上带有两个或更多电子吸引取代基时,其产生的空间位阻效应会阻碍PF6-与H产生相互作用,从而同时实现腈类添加剂对PF6-的强吸引和对EC的强排斥,减少电解液中碳酸酯溶剂脱氢分解的同时促进了富含无机物LiF的CEI生成,有效保护了LCO正极,减少过渡金属离子溶出,助力锂离子电池高电压循环稳定性和倍率性能提升。

表2新型腈类添加剂在高电压锂离子电池中的性能比较

4 结论

碳酸酯基电解液自面世以来,其配方主要成分并未发生重大改变。然而,随着锂离子电池对能量密度需求的日益迫切,引入耐高电压、宽温程和低阻抗的功能性添加剂变得尤为重要。腈类化合物在高电压电解液尤其是LCO电解液中具有重要意义。—CN基团的强吸电子效应使其具备高氧化分解窗口、宽温程和高介电常数等特性,展现出极大的应用潜力。本文首先综述了腈类溶剂的性能特点,针对其与石墨和锂金属的相容性差的局限性,从溶剂/锂盐的应用角度提出了4种应用方式,但发现仍存在制造成本和电化学性能不能兼顾的难题。作为添加剂时,腈类具有三大性能特点:①络合过渡金属离子降低LCO正极表面Co4+的实际价态,减少过渡金属离子溶出并缓解溶出的少部分高价钴离子对电解液的催化作用;②与阴离子作用降低自身氧化电位,形成富含LiF和含氮化合物的聚合物膜,保护正极/电解液界面;③捕获电解液中活泼性高的H质子阻止其破坏CEI&SEI膜。尽管如此,腈类化合物目前仍存在诸多挑战,其未来发展方向主要集中在以下几个方面:

(1)降低电解液黏度。为了充分发挥腈类化合物的作用,实际应用中其含量往往较高(可达4%~6%),且倾向于使用性能更佳的二腈及多腈化合物如SN、ADN(己二腈)、HTCN等,但会增加电解液黏度,导致电池内阻较高,恶化低温与快充性能,并带来生产制造难度,需要进一步优化溶剂、添加剂配方。

(2)优化合成工艺。相较醚腈化合物如DENE,烷腈氧化稳定性更强且副反应少,抑制金属离子溶出效果更优异,但是合成过程中醚腈所涉及的亲核取代反应更加容易发生,而烷腈以ADN和HTCN为例,一般采用合成法和电解提纯法获得,过程复杂、收率低、提纯难。

(3)开发新型腈类化合物。目前开发的腈类化合物在4.6 V及以上高电压下界面膜稳定性仍然受到挑战,亟需开发性能更加优异的新型腈类化合物,含氟腈类溶剂/添加剂在提升热稳定性、电化学稳定性、成膜性能方面均有不俗的表现,值得密切关注。

引用本文:李南, 马静, 黄挺秀, 等. 腈类化合物在高电压电解液中的研究进展[J]. 储能科学与技术, 2025, 14(3): 997-1009.(LI Nan, MA Jing, HUANG Tingxiu, et al. Research progress on nitrile compounds in high potential electrolytes[J]. Energy Storage Science and Technology, 2025, 14(3): 997-1009.)

第一作者:李南(1991—),女,硕士,工程师,研究方向为锂/钠离子电池电解液,E-mail:linan430316@163.com;

通讯作者:洪涛,工程师,研究方向为锂一次电池、锂/钠二次电池电解液,E-mail:hongtao_xg@sinochem.com。

基金信息:国家自然科学基金(22005190,21938005)。

中图分类号:TM 911

文章编号:2095-4239(2025)03-997-13

文献标识码:A

收稿日期:2024-11-27

修回日期:2024-12-25

出版日期:2025-03-28

网刊发布日期:2025-05-07

邮发代号:80-732

联系热线:010-64519601/9602/9643

投稿网址:http://esst.cip.com.cn/CN/2095-4239/home.shtml

加载中...