新浪财经

上市券商一季度业绩放榜:七家净利翻倍,“券业一哥”争夺战打响

21世纪经济报道

关注

21世纪经济报道记者李域  深圳报道

上市券商一季度“成绩单”出炉。

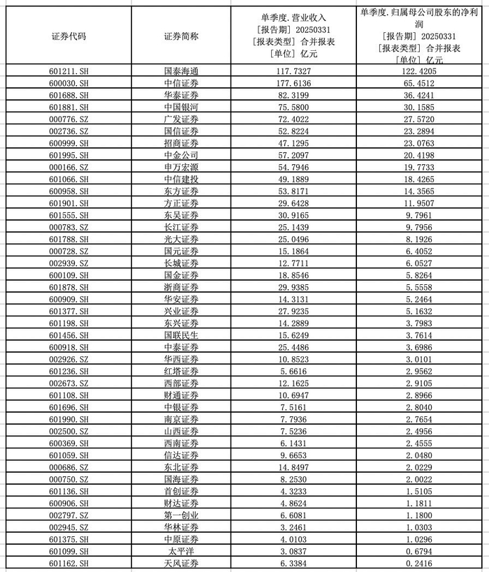
4月29日,随着中信证券、国泰海通、中信建投证券等多家券商2025年一季报的发布,A股42家上市券商一季报业已披露完毕,受益于一季度市场交投活跃度提升及股权融资阶段性改善,今年九成上市券商一季度业绩实现增长,仅有财通证券、首创证券、中原证券等四家券商同比下滑。

其中,东北证券归净利润大增逾8倍,此外还有国泰海通、东吴证券、长江证券和国海证券等六家上市券商实现净利翻倍以上的增长。值得关注的是,合并后的国泰海通首份一季报披露了亮眼成绩,以122.42亿元的归母净利润超越中信证券,位居榜首,成为市场上唯一的一季度净利润超百亿元的上市券商。国泰海通在季报中称,归母净利润增长主要是吸收合并海通证券产生的负商誉带来营业外收入增加。

“2025年一季度万得全A指数涨幅为1.90%,全市场日均股基成交额为17031亿元,同比增长70%。”东吴证券分析师孙婷分析称,得益于市场行情上行及交投活跃度回升,2025年一季度多家券商证券投资和财富管理业务快速发展,带动业绩高增长。有业内人士指出,2025年整体经营环境有望持续回暖,考虑到行业发展政策积极,一批优质特色券商有望脱颖而出。

一季度业绩放榜

受益于一季度市场交投活跃度提升及股权融资阶段性改善,今年九成上市券商一季度业绩实现增长。

42家券商中,七家上市券商净利润增长超100%,东北证券同比增长达859.84%,在增幅榜上排名第一。国泰海通归母净利润同比增长达391.78%。此外,同比增幅超100%的还有红塔证券、长江证券、华西证券、东吴证券、国海证券。此外,华泰证券、中国银河广发证券长城证券等15家一季度归母净利润增长超过50%。国联民生、天风证券则实现同比扭亏为盈。

备受市场关注的净利润表现方面,国泰海通一季度以122.42亿元的归母净利润排名第一,中信证券一季度归母净利润为65.42亿元排第二,华泰证券36.42亿元,位居第三。行业前十还包括中国银河、广发证券、国信证券、招商证券、中金公司、申万宏源和中信建投。

值得关注的是,一季报中,多家券商提到了经纪业务、自营投资收入对业绩的支撑。

长城证券表示,2025年一季度,公司营业总收入、归属于上市公司股东的净利润及每股收益同比大幅增长,主要系金融资产收益、经纪业务及投资银行业务手续费及佣金净收入增加。

一季度归母净利润增超100%的东吴证券在公告中表示,归母净利润大幅增长主要系营业收入同比增加,而营业收入同比增长则主要系经纪业务手续费净收入、投资收益同比增加。净利润大增的东北证券也在一季报中指出,净利润大增主要是财富管理业务和投资业务收入同比增加。

中原证券研报表示,2025年证券行业的整体经营环境有望持续回暖,短期波动难撼中长期向好趋势,证券行业有望进入新一轮上升周期。目前券商指数仍处于震荡整固期,静待下一轮上涨周期的开启。同时,市场各方积极维护资本市场平稳运行,估值再度走低为布局券商板块提供了良好契机。

“券业一哥”争夺战

上市券商净利润排名变化,成为了2025年一季报的最大看点。

合并后的国泰海通首份一季报披露了亮眼成绩。作为唯一的一季度归母净利润超百亿元的上市券商,国泰海通以122.42亿元的归母净利润超越中信证券,位居榜首。中信证券一季度归母净利润为65.42亿元,排名第二;华泰证券36.42亿元,位居第三。

国泰海通在季报中解读称,归母净利润增长主要是吸收合并海通证券产生的负商誉带来营业外收入增加。剔除该因素后净利润为32.93亿元。

今年3月,国泰君安与海通证券完成吸收合并,国泰海通证券随之挂牌成立。4月11日,“国泰海通”的证券简称正式亮相A股。4月14日,国泰海通召开2024年度业绩说明会,公司董事长朱健回复投资者称,公司已完成与海通证券的合并重组,根据2024年度备考合并财务报表,合并后公司总资产1.73万亿元、归母净资产3283亿元,资本实力跃居行业首位。

不过,从营业收入方面来看,券业一哥中信证券在2025年一季度依旧拿下全市场营业收入第一,取得营业收入177.61亿元。国泰海通则以117.73亿元的营业收入排名第二,两家机构也成为一季度全市场唯二营业收入超百亿元的券商。华泰证券则以82.32亿元营业收入排在第三名

简单就数据而言,国泰海通证券与中信证券在营业收入和净利润上各有千秋,但剔除因并购产生的负商誉带来营业外收入增加,中信证券仍然保持领先。

“国泰海通的成立是证券行业打造一流投行的重要探索。”此前,在国泰海通证券重组更名上市仪式上,朱健表示,公司将始终坚守主责主业提升市场竞争力,为资本市场发展贡献更大力量、为广大客户创造更多价值;积极研究谋划新战略、涵养厚植新文化、系统构建新架构,加快打造具备国际竞争力与市场引领力的一流投资银行。

中信证券董事长张佑君在2024年度业绩说明会上亦表示,行业的并购重组确实使中信证券面临很多压力和挑战,但也同时促使中信证券更好地去思考自己未来的发展布局。张佑君称,未来中信证券将继续保持内生式发展与外延式增长的平衡,巩固中信证券现有的领先地位,做强做大境内外业务,加快建设一流投资银行。

谁能在未来的市场竞争中占得先机,成为未来的券业一哥,市场拭目以待。

加载中...