新浪财经

国企改革工具箱:中央企业员工行为合规管理体系如何构建?

国资智库

关注

积分制管理通过量化管理工具,可实现将违规行为治理从“事后惩戒”向“过程控制”、从“部门监管”向“全员共治”、从“制度约束”向“文化自觉”的范式转变。

内容来源 | 现代国企研究

作者 | 郑洁

合规迭代:从制度框架到

精准治理的范式转变

(一)政策演进与治理痛点。

“合规”一词是舶来语,普遍认为企业合规源于1977年美国的《反海外腐败法案》,之后三资企业将合规理念引入我国。在中央企业管理领域已不算新事物。我国中央企业合规管理大致历经了三个阶段跨越式发展。引入阶段:2006年,原中国银监会颁布了《商业银行合规风险管理指引》,金融行业先行启动。央企铺开阶段:国务院国资委于2018年11月2日发布了《中央企业合规管理指引(试行)》,国家标准GB/T35770-2017《合规管理体系指南》也于同年生效,国资央企开启合规管理体系建设。法治化深化阶段:国资委于2022年发布《中央企业合规管理办法》,标志着央企全面合规进入了又一新阶段。随着监管要求从“有没有”转向“好不好”,治理痛点日益显现。

一是制度悬浮化困境。当前,中央企业虽已构建合规管理制度框架,却普遍面临制度悬浮化的结构性矛盾,存在文本体系建设到执行落差的治理鸿沟。这种困境集中体现在诸多方面:第一,制度规定缺陷,如某能源集团2022年内部审计显示,其176项二级制度中,87%的制度条款缺乏针对所管理领域违规行为的描述,违规行为得不到有效识别和管控;第二,合规实务操作范围宽泛、界限模糊,有效发挥合规管理效用的机制还不健全;第三,合规制度认同感低,国务院国资委专项调研数据揭示,央企员工对合规制度的平均知晓率仅为61.3%,其中一线操作工知晓率低至38%。上述“制度空中楼阁”现象,本质上源于合规管理体系在问责机制层面的结构性缺陷——作为保障制度闭环运行的合规问责机制,其设计存在“三缺”特征:缺量化标准(68%的企业未建立轻微违规处理标准)、缺执行路径(92%的问责决策依赖管理层主观判断)、缺动态反馈(仅15%的企业建立了制度执行评估机制)。这种制度悬浮化困境,使得合规管理往往止步于制度文件和会议宣贯,难以穿透业务末梢转化为治理效能。

二是问责机制存在断层。中央企业现行违规问责机制呈现显著的断层特征。基于对15家央企的深度调研发现:第一追责来源断层,78%的违规处理依赖党纪政务处分、行政司法等外源性机制,折射出内部问责工具的缺位;第二对象覆盖断层,内部处理的违规案例中领导干部占比高达91%,普通员工违规处理比重过低;第三,行为规制断层,轻微违规处理率不足3%,形成“抓大放小”的管理局面。究其原因:一方面,过度依赖外部追责,造成“监管替代管理”的错位;另一方面,企业对员工轻微违规行为的问责机制缺乏。

三是管理体系抓大放小。中央企业的违规行为处理机制呈现出以“外源性”惩戒为主导的特点,其核心框架由四类外部驱动机制构成:第一,违法、犯罪行为处理机制,依托《刑法》《行政法》等国家法律,通过司法程序或行政执法完成;第二,公职人员政务处分机制,依据《公职人员政务处分法》对国企管理人员实施监察;第三,党纪处分机制,党组织依据《党纪处分条例》对违纪党员进行纪律审查;第四,违规经营投资责任追究机制,根据《中央企业违规经营投资责任追究实施办法(试行)》对造成国有资产损失的行为分级追责。这些机制具有显著的外部性特征,规范来源和执行主体主要来自企业外部监管机构,形成了现行管理体系中“抓大放小”的倾向,重事后追究、重危害结果、重严格惩戒,对内部日常管理领域的违规行为约束机制相对薄弱。

(二)积分制管理的破局价值。

员工违规行为积分管理是对员工违规行为按照规定的标准实行积分,对累计积分达到规定分值的员工进行绩效考评、评优评先、岗位管理等方面进行限制的管理行为。积分制管理通过量化管理工具,可实现将违规行为治理从“事后惩戒”向“过程控制”、从“部门监管”向“全员共治”、从“制度约束”向“文化自觉”的范式转变。从而为解决上述困境提供了全新思路,完善员工违规行为处理机制成为提升企业治理效能的可靠选择。

一是填补微观治理空白,构建全周期管理体系。传统治理机制偏重于对领导干部、党员及重大违规行为的“外源性”惩戒,但对日常业务中员工轻微违规行为(如流程操作偏差、数据填报疏漏等)缺乏有效监管。积分制通过量化评价体系,将违规行为按严重程度分级赋分,并设置累积阈值触发差异化处理措施。这种“渐进式”管理模式,既避免了对轻微过失的过度惩戒,又将监督触角延伸至业务操作末梢。

二是强化制度刚性约束,激活内控体系效能。中央企业的制度执行常因问责机制缺失而流于形式。积分制创新性地将违规行为与个人职业发展直接关联:一方面,通过将积分纳入绩效考核、职级评定等关键环节,形成“违规即减分、减分即担责”的负向激励闭环;另一方面,建立违规行为记录制度,将行为性质、频次、后果等数据作为人才选拔的重要依据。这种机制使抽象的制度条款转化为可量化的行为标尺。

三是重构监督权力格局,释放全员共治潜能。传统监督模式过度依赖纪检、审计等专业部门,群众监督渠道不畅、动力不足的问题突出。积分制则可通过职能监督高度参与共治、违规数据共享的手段,赋予日常管理保障治理效果的机制,从而有效破解困局。

四是培育内生合规文化,筑牢“三道防线”根基。积分制的深层价值在于将合规要求转化为员工自觉行为准则。通过将积分数据纳入部门合规考核指标,推动业务部门履行“第一道防线”主体责任;合规管理部门则聚焦积分数据分析,识别系统性风险并优化管控流程;纪检监察部门依托积分预警机制,实现对重点领域、关键岗位的精准监督。

理论创新:行为科学驱动的

制度设计方法论

(一)行为科学理论框架。

企业合规管理的作用客体和对象是企业这个组织中的个人以及人的行为。美国行为主义心理学家斯金纳(B.F.Skinner, 1904—1990)提出 “斯金纳强化理论”(Reinforcement Theory),是指通过强化物增强某种行为的过程。该理论强调人的行为结果对其行为的反作用。当行为的结果有利于个体时,行为可能重复出现;反之,行为则消退、终止,也就是说行为是其结果的函数。将该理论运用于合规管理领域,可表达为如下函数:

合规行为概率=α正强化β负强化

正强化可以增加带来积极后果的行为频率,如表扬、奖励等;负强化则惩罚不符合组织目标的行为,以使这些行为削弱直至消失,如罚款、收回荣誉等。合规积分管理中就是运用此理论,通过负强化使管理对象承受物质利益损失或精神痛苦,从而使其主动放弃或不再进行不良行为。

(二)积分制管理实践。

道路交通安全违法行为积分管理是有效的积分管理实践。交管部门针对机动车驾驶人的交通违法行为除进行行政处罚外,还另行实行累计积分制度。积分周期12个月、满分12分,不同交通违法行为对应不同分值。

医院积分制处方权管理是对医生的医疗行为进行监管和规范,由相关管理部门进行扣分管理,扣分到一定数额即自动停止医生处方权。

国内商业银行的员工违规行为管理相对比较成熟,银行结合管理需求对员工的轻微违规行为制定相应的积分标准细目及管理程序。据统计,轻微违规积分使操作银行风险损失下降52%。

实践创新:X公司员工违规积分

管理系统构建

X公司是中央直接管理的特大型国有重要骨干企业,从2022年起,X公司开始推行员工违规积分管理体系,经过数年实践,该模式已经得到丰富与完善。

(一)设计理念与制度框架。

结合管理体系设计的一般规律,X公司秉持了实事求是、系统思维、共建共享、错罚相当、奖惩并举的设计原则,既注重利用员工自私趋利的本性做负向约束,同时也注意利用员工自我实现的需求做正向激励,使制度运行的结果符合预期。

设计制度框架主要内容如下表所示,涵盖了定义、适用对象、使用范围、记分周期、处理机制、政策依据等要素。

纳入规制对象的为X公司全体员工,制度的使用范围限于公司内部,属于内部对员工违规行为的评价处罚机制。此处违规行为中的“规”是广义的规,与企业合规管理的“规”内涵一致。积分事项的设计全面覆盖公司经营管理的各个方面,记录全体员工履职的过程,“时时、事事、人人”都纳入“可记录、可量化、可考核、周期动态调整”的积分管理。

(二)参与主体和组织结构。

流程的参与主体有积分认定部门、员工违规管理部门、复议主体、处理措施认定主体(视不同的处理措施确定)。X公司将合规管理部门设置为员工违规积分管理的牵头部门,人力资源部门为协助部门。

(三)积分规则。

X公司对每个管理领域涉及的员工不同违规行为进行描述和赋予积分值,建立员工积分档案。一个周期(12个月)内,最高积分12分。违规积分达到一定分值触发不同的处理措施:发送警示函、书面检讨、通报批评、考核扣分、扣减薪酬、调岗调薪、取消评优评先、解除劳动合同等共计8种。评价周期结束积分清零,周期内岗位发生变化的,积分连续累计。多名员工同时违规的,按员工所承担的责任分别积分;同一违规触发多项标准的,按照最高分值积分。

(四)赋分标准。

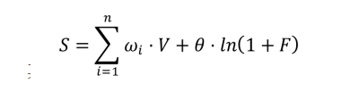
员工违规行为是违规类型、违规频次、违规后果、岗位风险、主客观原因等多种因素综合输出的结果,对应的量化积分标准应该是综合上述变量的函数,理论上每一个变量的不同均会影响结果。如下公式所示。

ωi: 违规类型权重(外源性违规1.2—1.5,内生违规0.8—1.0);

F:历史违规频次;

θ:岗位风险系数(高风险岗1.2,常规岗1.0)。

精确量化赋值需要大量历史数据积累和统计,X公司在进行赋分标准设计时将上述公式进行了简化,主要考虑违规后果和违“规”类别,具体分为以下三类。

一是受到外源性的违法犯罪处罚、公职人员政务处分、任免机关/单位处分、党员党纪处分和非党纪处分、违规经营投资责任追究的,按照不同处理结果赋予积分分值,分值为1—12分不等。

二是各业务部门识别其业务范围内的轻微违规行为,并按照影响程度分档,由合规管理部门进行标准化处理,形成违规行为清单并赋予积分值。该清单与制度一并制定发布,定期更新。分值1—3分不等。

三是为鼓励员工行为合规,积极防范和举报违规行为,公司设置正向激励类的积分标准。分值1—3分不等。

为平衡以“规”赋分的局限性,赋分规则里设置了动态调整机制。如对于主动报告、非主观故意、已修正违规行为未造成任何后果的情形,可适用减轻处理;对于同类型重复违规、造成经济损失等情形进行加重处理。此外,为防止干多错多的负向效应,对工作多挑重担的员工设置“容错”的调整系数进行纠偏。

(五)运行机制。

认定:各部门对日常业务管理或检查中发现的员工违规行为初步确认积分,合规管理部门对其进行认定后计入员工违规积分档案。

通知:合规管理部门将积分认定以《违规积分通知书》的方式发送至员工。

复核:员工如对积分有异议,可申请复核,合规管理部门与积分认定部门共同复核并向员工通知复核结果。如仍有异议的,可提交领导小组进行终核。

处理:合规管理部门对员工积分进行统计、管理;触发处理措施的,以《违规处理通知书》的形式发送至相关部门处理。

应用:员工评先评优、选拔任用、竞聘的,须将近年的积分情况列入考察内容。

实施成效:治理效能的量化跃升

X公司自违规积分管理实施以来,通过多维度制度创新,显著提升了企业合规治理效能。

在风险防控层面,该体系通过量化积分机制将隐患识别周期从28天压缩至7天,同时以刚性约束强化制度执行,有效遏制了违规行为的蔓延。在组织架构上,构建了“三道防线”协同机制,业务部门作为第一道防线深度嵌入合规管理,推动制度落地与业务创新形成良性互动。员工行为管理方面,积分制通过“处罚+教育”双轨模式培育合规文化,使公司合规知识测试平均分大幅提升,合规举报量激增240%,实现了“被动合规”向“主动合规”的转变。内控有效性获得强化,问题整改率提升37%,并通过考核结果与任用、评优强关联,形成“人人有责、协同治理”的生态。尤为突出的是数据价值的挖掘,企业通过分析积分数据结构、行为规律等要素,实现管理漏洞的精准定位,同时将个人积分与组织绩效挂钩,构建起动态行为管理体系。该体系不仅将轻微违规行为消除在萌芽阶段,更通过积分连带机制倒逼管理层履职,最终转化为企业治理效能的持续提升。

这种体系运行体现的机制创新不仅契合《中央企业合规管理办法》关于“健全违规行为记录制度”“强化考核评价运用”的监管要求,更为破解国企治理中的形式主义、问责虚化等问题提供了可操作的实践路径。

X公司的实践表明,违规积分制不是简单的惩戒工具,而是推动企业治理现代化的系统工程。这种“制度约束为基、数据赋能为翼、文化浸润为魂”的三维治理模式,为中央企业破解合规管理“最后一公里”难题提供了可复制方案。随着数字化技术的发展,积分制与大数据、人工智能的深度融合,或将催生更加智能化的合规治理新模式。

(作者为中国核工业集团资本控股有限公司副总法律顾问、纪检监督与审计部主任)

【免责声明】本公众号标明转载文章的出处,并保留转载文章在原刊载媒体的版权归属,如任何单位及个人认为本公众号转载的文章涉嫌侵犯其合法权益,请及时与本公众号联系并提出意见,本公众号将立即删除或采取其它相关措施。

主     编:周   凯

校     审:汤   洁

责任编辑:周婧璇

加载中...