新浪财经

孙彬彬:期货|国债期货入门指南

市场资讯 2025.04.25 07:30

来源:固收彬法

作者:孙彬彬/隋修平/郑艺鹏(联系人)

重要提示

本微信号推送的内容仅面向财通证券客户中符合《证券期货投资者适当性管理办法》规定的专业投资者。本微信号建设受限于难以设置访问权限,为避免不当使用所载内容可能带来的风险,若您并非专业投资者,请勿订阅、转载或使用本微信号的信息。

摘 要

国债期货市场逐渐成熟,与现券市场的联动也有所增强,投资者可以借助国债期货进行套期保值、套利、投机操作。另一方面,投资者可以通过国债期货的量价变化进行技术分析,进而辅助现券投资。

国债期货与其他期货品种最大的不同在于其对应的合约标的。国债期货的合约标的是票面利率为3%的虚拟标准券,与现实中债券存在一定差异,因此需要通过转换因子将现券与虚拟标准券联系起来,但国债期货与现券之间仍在多方面有所不同。

定价方面,可以通过基差、净基差与IRR度量期现差异。不同现券与期货之间差异的程度不同,在空头举手的交割制度下,交割成本最低的可交割券被称为CTD,国债期货定价与CTD表现关系密切。

在定价之外,国债期货与现券在交易场所、交易方式、交易时间、成交规模等方面也存在区别。

期货合约的终点是交割,通常仅有极少数头寸会最终进入交割,但交割制度仍是保证期现价格联动的最重要机制。

报告核心图表(点击可查看大图,完整图表详见正文)

风险提示:相关测算可能存在误差;经济表现可能超预期;市场走势存在不确定性。

报告目录

01

国债期货基础信息

国债期货在中国金融期货交易所进行交易,目前有四个品种:2年(TS)、5年(TF)、10年(T)和30年(TL),分别在2018年8月、2013年9月、2015年3月和2023年4月上市。

合约方面,对于每个国债期货品种,交易所可供交易的合约月份为最近的三个季月(3月、6月、9月、12月中的最近三个月循环),根据活跃程度和持仓规模,每个国债期货品种中活跃度和规模最高的两个合约又被标为主力合约、次主力合约,主力合约的切换一般在交割月前一个月的中下旬完成。

国债期货与其他期货品种最大的不同在于其对应的合约标的。由于不同的现券在现金流、票面利率、到期期限等方面存在区别,如果根据这些要素限制可交割券,会导致可交割券的规模较小,降低市场有效性。参考国际经验,我国国债期货采用现实中不存在的、虚拟的、剩余期限固定的“名义标准债券”作为交易标的,实际存在的债券按比例折算成虚拟国债进行交割。

合约要素来看,各品种的报价方式、交割方式、交易时间、最后交易日和最后交割日相同。合约标的、可交割国债、最小变动价位、最低保证金和每日价格最大波动限制有所不同。

资金使用效率方面,各品种的最低保证金不同,相应最高杠杆倍数也不同(杠杆倍数=1/保证金比例),2年、5年、10年、30年最高杠杆倍数分别约200、100、50、29倍,由于期货公司要求的保证金比例通常在最低保证金的基础上进行一定上浮,实际的杠杆倍数可能相应下降。

可交割国债会在合约挂牌上市前公布,在合约存续期间,如果有招标发行的国债符合可交割券要求,也会新增为可交割券。

按照交易目的可以将参与者分为套期保值、套利、投机三类。套期保值的目的是对冲持有的现货风险;套利的目的是获取无风险收益;投机则通过预判利率走势方向获益。除了投机以外,套期保值和套利可能同时涉及国债期货和现券,因此需要了解期现之间的关系。

02

国债期货与现券的关系与差异

2.1

转换因子与可交割券

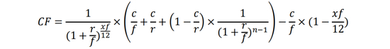
由于国债期货对应的合约标的为虚拟标准券,与现实中的现券在票面利率、到期时间等方面有所不同,所以在分析期现差异之前需要将现券与虚拟标准券联系起来,这一联系方式即转换因子CF。转换因子的计算可以理解为将现券的所有未来现金流按照3%贴现到国债期货交割日得到的现值,一份国债现券可以近似为CF份虚拟标准券。

票面利率大于3%的债券,转换因子大于1;票面利率小于3%的债券,转换因子小于1。

其中CF为转换因子,r为10年期国债期货合约票面利率3%,x为交割月到下一付息月的月份数,n为剩余付息次数,c为可交割国债的票面利率,f为可交割国债每年的付息次数。

转换因子和可交割券一样会在期货合约挂牌上市前公布,对于确定的期货合约和可交割券,转换因子是不随时间变化的,而同一现券可能是多份期货合约的可交割券,转换因子也相应变化。

2.2

期现定价差异——净基差、IRR与CTD

现券转换为虚拟标准券后,期现之间仍有差异,与其他期货品种一样,这一差异称为基差,基差即考虑转换因子后,现券价格与对应期货价格的差值。

其中B即为基差。P代表每面值100元的国债的现货价格,净价;F代表每面值100元的期货合约的期货价格;C为对应该期货合约和债券的转换因子。

由于持有现券过程中的损益还受到债券付息和资金成本的影响,这些持有至交割期的损益也被包含在基差中,导致基差并不能较好地体现期现定价差异。用基差减去持有期收益即得到净基差,相较于基差,净基差可以更好地表现期现差异。

国债期货的标的是虚拟标准券,现券转换为虚拟标准券后,因为不同现券的定价存在差异,同一期货合约与不同现券之间的净基差也存在差异。由于交割机制的存在,理论上,交割时基差和净基差都收敛为0,否则参与者可以通过交割机制实现无风险套利,最终推动基差收敛,现实中,净基差通常在交割前收敛至0附近。

除净基差外,另一个衡量期现差异的指标是IRR(隐含回购率),IRR即买入国债,持有并用于交割所得到的假定收益率。

其中Ft为t时刻期货价格,CF为转换因子,Pt是国债现券t时刻的净价,AIt是t时刻应计利息,同理AIT是T时刻应计利息,T是到期日。

IRR从收益率的角度衡量国债期现差异,如果用IRR加信用利差,还可以体现做多信用债、做空国债期货的收益情况(相当于同时构造了做窄信用利差和做多国债期货基差的组合)。

在交割期,期货合约的空头有权利选择一只可交割券给多头(称为空头举手的交割制度),多头支付的价格是按照空头所选择的债券的转换因子所计算的期货调整价格再加上应计利息支付给合约的空头,空头会选择交割成本最低的可交割券进行交割,即CTD(最便宜可交割券)。在某一确定交易日,不同现券与同一合约的净基差与IRR通常有反向关系,净基差更低的现券往往对应更高的IRR,在所有可交割券中IRR最高的现券即CTD,CTD会随着净基差/IRR的变化而改变。

除了净基差和IRR外,还可以根据经验判断CTD。一方面,如果收益率低于3%,则长久期债券更可能成为CTD,反之短久期债券更可能成为CTD;另一方面,对于久期相同的债券,收益率高的债券容易成为CTD。

2.3

其他差异

现券和期货的交易场所和交易方式有所不同。国债现券交易的主要场所是银行间市场,银行间市场采取柜台交易的方式运作,机构间相互询价达成交易;而国债期货在中金所上市交易,采取撮合交易方式。从成交情况来看,国债现货单笔交易金额往往较大,成交相对稀疏,国债期货成交更连续。

成交规模方面,当前期货和现货市场交易规模整体相近,期货交易更加集中于单一标的。2025年3月,国债期货合计成交约8.2万亿元,国债现券合计成交约9.4万亿元。对比现券活跃券和期货主力合约,期货主力合约成交额更高,2025年3月,10年期国债期货主力合约成交额约1.8万亿元,现券活跃券成交额约1.3万亿元。

对于国债现券,2023年成交额开始持续放大,并在2024年一季度达到峰值,引发央行关注;对于国债期货,成交额持续缓慢增加,没有出现类似的激增。当前30年国债期货整体成交最活跃,其次是10年国债期货2年国债期货5年国债期货

存量规模方面,理论上国债期货的市场整体持仓规模没有上限,而现券的存量规模是确定的,导致现券市场可能受到债券供求情况的扰动,比如央行此前提及债券供给不足导致收益率曲线部分点位定价不充分的情况。截至4月24日,国债期货持仓规模(无杠杆)合计约6875亿元,远低于国债现券余额(约36万亿元)。 

期现走势方面,国债期货价格走势可能更加贴近CTD券对应期限的现券走势。2023年8月以来10年国债期货对应的CTD券剩余期限通常在7年以内,同时CTD券净基差也持续处于低位,导致10年国债期货走势更贴近7年国债现券而非10年国债现券。 

机构行为角度,国债期货分类机构参与情况透明度较低。机构对现券的交易数据可以用于分析机构行为,而期货不提供各类参与者的高频数据,虽然中金所披露国债期货日度的成交持仓排名,但这一数据仅展示各期货公司经纪业务交易情况,而不直接指向参与者。

定价效率来看,国债期货操作更灵活,但交易时间较短。国债期货可以进行多/空的双向交易,而现券市场以做多为主,现券做空需要结合买断式逆回购等操作进行、且隐含一定的问题和风险。国债期货交易时间较短,对交易时段外的定价不及时。

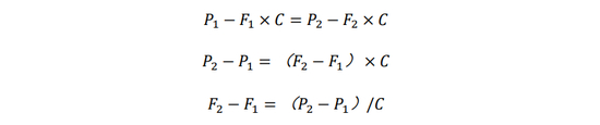
期货合约与CTD券价格可以进行换算。假设期现差异即净基差保持不变,不考虑短期内持有期收益的变化,可以得到期现价格变化的关系。

即,期货价格变动=CTD券净价变动/转换因子,由于现券波动通常用收益率变动表示,可以进一步化为:

期货价格变动=CTD券收益率波幅×修正久期/转换因子

上方粗算结果表示,4月23日,T2506的CTD(240025.IB)收益率变动1bp,期货价格应对应变动约0.075元。

2.4

期货与现券的现实联系——交割

交割是期货合约的终点,也是保证期现价格联动的最重要机制。我国国债期货采取实物交割的方式,交割流程上采取“滚动交割”和“集中交割”并用。

交割月前二个交易日,参与交割的客户需要向交易所申报国债托管账户,待交割过程中使用,对于交割月前二个交易日没有完成国债托管账户申报通过的客户,交割月前一交易日起至最后交易日,对交割月份合约的持仓应当为0手,交易所可以按照相关规定对其交割月份合约强行平仓。同时,交割月前二个交易日起,每日收市后对同一交割月份合约的双向持仓进行对冲平仓。

滚动交割:进入交割月,空方每日可以提出滚动交割申请,中金所负责选择合适的多方进行配对,若在同一市场托管则直接配对,否则由中金所按“最少配对数”法进行配对,配对完成后双方即可提前了结头寸,交割出场。

集中交割:最后交易日收市,对冲双向持仓后,未平仓的头寸强制进入集中交割。

交割流程上,在T日申报交割后(集中交割申报日即为最后交易日),T+1日空方交券,卖方需确保申报的国债托管账户内有符合要求的可交割国债,国债由卖方账户划转至交易所账户;T+2日多方缴款,交易所将交割货款从买方结算准备金划转至卖方账户,同时释放进入交割的持仓占用的保证金;T+3日多方收券,交易所将可交割国债划转至买方收券的国债托管账户。

在交割双方的国债托管账户均为中央结算公司开立的情况下,交割采用券款对付模式(DVP)。在券款对付模式中,T+2日买卖方进行券款对付,T+3日交易所释放进入交割的持仓占用的保证金。

交割价格方面,国债期货交割结算价通过最后交易日全部成交量加权平均价格计算。交割时的价格称为发票价格:

发票价格=交割结算价×转换因子+应计利息

与其他期货品种相同,通常而言,绝大部分国债期货合约头寸不会进入交割,仅极少数头寸最终会进入交割,以T2503为例,其持仓规模(不计保证金)最高约2129亿元,最终交割金额约37.88亿元,交割金额占比约1.78%。最终交割比例较低,一方面是部分机构不能进入交割,另一方面是交割手续本身较为复杂。

由于主力合约切换后,交易需求会转移至新主力合约,且原主力合约交割月临近推动非交割目的的头寸平仓或移仓,共同导致其流动性快速衰竭、成交活跃度下降,交易冲击成本随之上升,套利策略如基差交易通常也会在交割月前退出。

风险提示

1、相关测算可能存在误差:文中出现的数据测算需要满足一定条件,与实际市场表现可能出现偏误。

2、经济表现可能超预期:经济表现可能非线性,并对国债市场形成影响。

3、市场走势存在不确定性:市场走势取决于经济表现、投资者行为等多方面因素,存在不确定性。

责任编辑:石秀珍 SF183

加载中...