新浪财经

银河证券创新提升服务实体经济含“金”量

上海清算所

关注

近年来,随着中国债券市场规模的持续扩大,银行间信用衍生品作为管理信用风险的核心金融衍生品,在维护金融市场稳定、提升资源配置效率等方面发挥日益重要的作用。作为银行间信用衍生品活跃参与机构,银河证券依托专业能力与前瞻布局,深度参与银行间信用衍生品创设、交易与定价,持续推动信用风险管理工具的创新与应用。

信用衍生品一级创设方面,银河证券充分发挥自身信用识别优势,采用“信用债+信用风险缓释凭证”联动发行模式,扩大债券投资群体,助力债券项目成功发行,优化客户融资成本,赋能实体经济。信用衍生品二级交易方面,银河证券积极满足各类投资者的差异化需求,帮助投资者缓释信用风险,降低债务集中度,管理内部授信及风控指标,优化资产配置。银河证券作为上海清算所信用衍生品清算参与者,积极参与中央对手清算、双边逐笔清算等各类业务。2025年3月27日,上海清算所拓展信用违约互换中央对手清算参考实体,银河证券积极参与新增实体的交易清算与报价,支持业务创新发展。

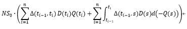
信用衍生品报价方面,银河证券始终将报价能力视为信用衍生品业务的核心支撑,融合现金流折现模型和简约化模型构建定价体系。现金流折现模型是把未来特定期间内的预期现金流量以一定的贴现率还原为当前现值。信用保护卖方相当于对标的债务提供增信,投资人通过购买信用衍生品将无增信债务转换成有增信债务,二者之间的价格差异即为信用衍生品估值。简约化模型假定违约概率服从某种分布,基于该假定分布对信用衍生品定价。银河证券参考债券市场收益率曲线及信用衍生品交易商报价情况,获取市场隐含违约概率,然后对信用衍生品保费端和保护端的现金流分别贴现,同时考虑流动性溢价,最终获得信用衍生品估值。保费端和保护端的计算方式如下,其中N代表信用衍生品名义本金,S0为保护费率,ti为保费端支付日,D(t)是贴现因子,Q(t)表示生存概率,R是预期回收率。

保费端计算方式:

保护端计算方式:

银河证券通过自主研发的报价模型,不断迭代报价逻辑,动态跟踪市场数据,每日为超过380家企业的单名CDS提供高效、准确的报价,助力完善市场价格发现机制,荣获2024年上海清算所优秀信用违约互换报价业务参与机构。

展望未来,银河证券将继续积极深耕银行间信用衍生品市场建设,提高定价能力与市场参与度,探索业务创新场景,以金融服务赋能实体经济,推动银行间信用衍生品市场高质量发展,推动金融“五篇大文章”的落地、落实。

信用衍生品清算业务简介

上海清算所立足金融服务实体经济的根本宗旨,构建合约类信用衍生品多层次清算服务体系,为标准化单名CDS交易提供中央对手清算,为CRMA、单名CDS、CDS指数等合约类信用衍生品个性化交易提供双边清算,满足市场多元化存续期管理需求。2025年3月27日,上海清算所拓展单名CDS中央对手清算参考实体名单至145家非金融企业,其中新增的32家实体涵盖高端制造、信息技术、数字经济、新能源、绿色环保、生命健康等行业。中央对手清算下,上海清算所通过净额轧差结算、合约替代、担保交收等机制,显著降低风险资本占用和交易对手信用风险,助力交易对手授信释放,形成风险管理闭环,激发市场交易活力。双边清算下,支持交易要素个性化设置,上海清算所通过双边清结算、参考估值和双边履约保障品等一站式存续期管理服务,提高交易清算效率,提升市场透明度,助力市场稳健发展。

加载中...