涉嫌国有资产流失?陕西冀东水泥被举报
来源:水泥人网
近日,有网友向水泥人网举报称,其2022年通过北京产权交易所竞得的陕西冀东水泥铜川有限公司5、6号窑生产线549项机器设备转让项目。然而中标后资产实物移交时发现实物与清单不符,经双方现场核实后,发现被破坏的资产约200多项,缺失147项高价值设备。
图:举报者提供《铜川水泥厂情况说明》
147项设备“神秘消失”
根据北京产权交易所公开信息,2022年5月19日,某公司以7388.87万元中标冀东水泥铜川公司5、6号窑生产线549项机器设备转让项目,叠加369.44万元交易服务费,总成本达7758.31万元。然而,招标预展时处于疫情管控期间,所有现场都被封控,导致现场无法进入现场,无法进行实物勘察,只能结合清单评估预算。
图源:北京市公共资源交易服务平台
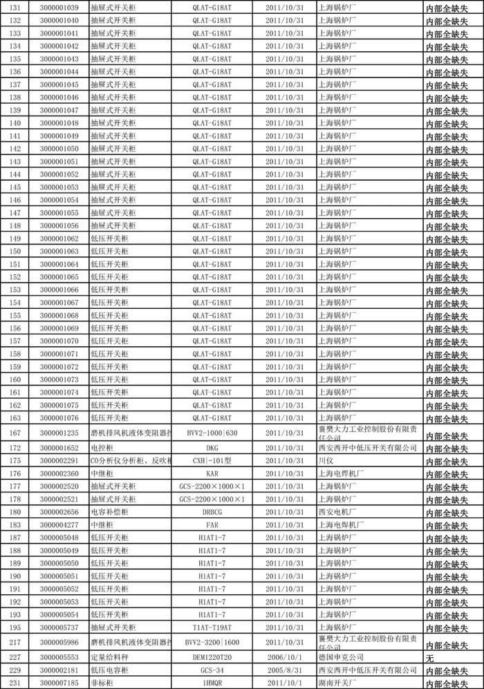
从举报者提交的资料表可见,147项设备完全缺失、53项关键部件遭破坏、89项设备内部被掏空,缺失及损毁比例高达总清单的36%。更为蹊跷的是,价值千万元的高压变频器、变压器仅剩外壳,59台上海锅炉厂生产的抽屉式开关柜内部全空,电缆、电机等核心资产几乎“全军覆没”。
图:举报者提供《5、6号窑生产线549项机器设备清单》
举报者提供的《5、6号窑生产线549项机器设备》表中缺失的147项设备,据估算在黑市流通价值即可达6000多万元,接近交易总价。缺失设备集中于三个方面:
设备“空壳化”成普遍现象。清单中59台标注为“QLAT-G18AT型”的抽屉式开关柜(资产编号3000001049-3000001076等),实际移交时空无一物;39项高压电容柜、89项低压开关柜(如编号3000001535、3000002460等)内部元器件全部缺失;编号3000007145的袋收尘器缺失电机,价值数百万元的生料磨减速机(含稀油站)等15项设备“不翼而飞”。
型号造假与“幽灵设备”。编号3000000401的“5号窑混合材磨头仓改造项目”在清单中标注为“预转固”,实际移交时无实物;13台电机型号与清单严重不符,如编号3000000442的电机标称“YZR250-830KW”,实际为低功率型号;电缆、变频器等核心资产“部分缺失”比例达80%,罗茨风机、自动化仪表等设备沦为“废铁”。
高价值资产系统性流失。缺失资产中,电缆、高压变频器、变压器等均属二手设备市场高流通品类。以电缆为例,按当前废铜价估算,仅此一项损失或达千万。
交易规则遭挑战?资金划付争议升级
更令事件复杂化的是交易资金划付程序的争议。根据北京产权交易所规则,资产转让价款需在双方签署《拆运完成确认书》后划转。但据举报者透露,其在冀东水泥铜川公司要求下,已于2022年底提前支付4000万元。然而,当铜川公司近期再次要求划拨部分尾款时,举报者以“资产未补齐”为由拒绝,并指对方“违反交易规则”。
“我们已多次要求补足缺失设备或协商赔偿,但对方始终回避。”举报者称,冀东水泥铜川公司至今未就资产缺损提供合理解释,亦未出示设备拆除过程的合规记录。
一位不愿具名的产权交易律师指出:“疫情等不可抗力虽可豁免现场尽调,但出让方有义务确保清单真实性。若查实故意隐瞒设备状态,可能构成欺诈。”值得注意的是,冀东水泥作为上市公司,其子公司铜川公司的资产处置程序合规性或将面临监管关注。截至发稿,冀东水泥铜川公司未就具体指控作出回应。举报者称,若协商无果将启动法律程序,并保留向证监会、国资委等部门申诉的权利。
价值数千万元设备“神秘消失”设备,最终流向何处,目前无从得知。水泥人网将持续追踪此事进展。
来源:水泥人网,转载请注明出处,如未经许可或未注明出处,将追究法律责任。
责任编辑:石秀珍 SF183