新浪财经

【广发金工】自由现金流指数特征解析及选股效果测算

市场投研资讯

关注

(来源:广发金融工程研究)

自由现金流(Free Cash Flow, FCF):是衡量企业财务健康状况和投资价值的重要指标之一,反映了企业在满足必要的资本支出后,能够自由支配的现金金额,反映真实的现金流生成能力。本报告旨在分析自由现金流指数特征,与红利风格差异,以及选股回测效果等内容。

自由现金流指数方案解析:指数主要基于自由现金流率筛选 100 只成分股,基于自由现金流加权,季度换仓,设置 10%的权重上限,自由现金流率=自由现金流/企业价值。差异点在于负向剔除股票的方式等方面,涉及季度 ROE 波动率、盈利质量等不同的细分指标。

自由现金流指数特征:根据 Wind,成分股方面,石油石化、煤炭、家电等行业权重较高,重仓股权重相对集中。市场表现方面,2014 年至今,中证和国证的自由现金流指数分别实现 19.50%和 19.90%的年化收益。风格暴露方面,自由现金流指数呈现高盈利和低 beta 的特征。

对比中证红利指数:自由现金流指数相对高频调仓,持仓相对集中,估值更高。2014 年以来优于中证红利指数市场同期表现。风格行业暴露方面,自由现金流指数在市值因子、成长因子和流动性因子暴露更高。相对超配家用电器、有色金属和石油石化行业,低配银行板块。

基于自由现金流的选股回测参照中证自由现金流指数的编制,作股票池的基本筛选,测算显示,季频调仓模式下,2016 年以来,自由现金流率(fcf2v)因子的 IC 均值为 5.0%,IC 胜率为 62.2%,自由现金流(fcf) 因子的 IC 均值为 4.1%,IC 胜率为 56.8%,五分组单调性相对良好。fcf2v 多头 50 等权组合回测期间的年化收益为 10.8%。调仓日期由季度末匹配至指数换仓日,因子多头表现边际提高。

指数成分股历史调整效应测算:即对比换仓前两周内,将调入的成分股相比存续股票是否有超额收益。不同于沪深 300 等宽基指数成分股的调入效应,测算结果显示,存续股票的收益贡献相对更加稳定。

风险提示:本专题报告所述模型用量化方法通过历史数据统计、建模和测算完成,所得结论与规律在市场政策、环境变化时可能存在失效风险;策略在市场结构及交易行为改变时有可能存在策略失效风险;因量化模型不同,本报告提出的观点可能与其他量化模型结论存在差异。

自由现金流(Free Cash Flow, FCF)是衡量企业财务健康状况和投资价值的重要指标之一。它反映了企业在满足必要的资本支出后,能够自由支配的现金金额,反映真实的现金流生成能力,衡量财务灵活性和投资价值。

中证、国证和富时等指数公司分别有现金流主题的指数产品。根据Wind数据,境内首批自由现金流主题ETF于近期获批并发行,填补了当前市场相应类型产品的空白。当前正在发行的2只产品分别跟踪国证和富时旗下的指数,相应产品及策略,受到市场的较高关注。

针对自由现金流投资,本报告旨在分析以下几个方面的问题:

第一,当前的自由现金流主题ETF采取什么样的投资策略,即跟踪指数具体采取什么样的编制方案?

第二,自由现金流策略筛选出的股票呈现什么样的特征,是否有明显的风格和行业暴露,长期业绩表现如何?

第三,与去年高热度的红利类策略相比,自由现金流策略是否有明显差异?

第四,基于自由现金流投资策略的核心指标做选股回测,相应指标是否有明显的选股分层效果? 

第五,若模拟自由现金流投资策略,在指数换仓期提前买入调入的股票,是否能带来超额收益?

(一)指标特点解析

自由现金流(Free Cash Flow, FCF)指企业在支付必要的资本支出(CAPEX)后,剩余的现金流,它是企业可以自由支配的现金,可用于偿还债务、分红或再投资。

其中资本支出是指企业用于购买、维护或升级长期资产的现金支出,这些资产通常用于支持企业的长期运营和增长。

自由现金流是衡量企业财务健康状况和投资价值的重要指标之一,剔除了非现金项目(如应收账款、存货等),专注于企业实际可用的现金,反映真实的现金流生成能力。

与净利润相比,自由现金流是基于现金流的指标,反映企业实际可用的现金,净利润可能包含非现金项目,比如一家企业可能有较高的净利润,但由于应收账款占比较高,自由现金流可能较低。

自由现金流也受到资本支出,以及企业经营周期、行业特点、宏观经济环境等因素的影响,呈现一定的波动性,不同行业的自由现金流呈现一定的特征差异。

(二)国证自由现金流指数

基日:2012年12月31日。

发布日期:2012年12月28日,指数编制方案于2024年下半年调整更新。

样本空间:中证全指指数样本空间中满足以下条件的沪深 A 股和红筹企业发行的存托凭证:

1)非ST、*ST证券;

(2)科创板证券、北交所证券上市时间超过1年,其他证券上市时间超过6个月;

(3)公司最近一年无重大违规、财务报告无重大问题;

(4)公司最近一年经营无异常、无重大亏损;

(5)考察期内证券价格无异常波动。

选样方法:首先,剔除最近半年日均成交金额排名后20%的证券,剔除国证行业分类标准下属于金融或房地产行业的证券,剔除近12个季度ROE稳定性排名后10%的证券;然后,选取近一年自由现金流、企业价值和近三年经营活动现金流均为正的证券,并剔除近一年经营活动现金流占营业利润比例排名后30%的证券;最后,对剩余证券按照近一年自由现金流率从高到低排序,选取前100只证券构成指数样本。其中,自由现金流率=自由现金流/企业价值。

指数计算:指数计算公式为:报告期指数 =报告期样本的调整市值/除数× 1000。其中, 调整市值 = ∑(证券价格 × 调整股本数 × 权重因子)。权重因子介于0和1之间,以使样本采用自由现金流加权,且单个样本权重在每次定期调整时不超过10%。

权重调整:指数样本每季度调整一次,于每年3月、6月、9月和12月的第二个星期五的下一个交易日实施。在未入选样本的证券中,按选样指标从高到低排序,选取样本数量5%的证券作为备选样本。

企业价值(Enterprise Value, EV)是衡量企业整体价值的重要指标,反映了企业对所有投资者(包括股东和债权人)的价值,不仅考虑了股权价值,还包含了债务和其他财务义务,反映收购企业所需支付的总对价。

剔除金融地产公司,主要是因为其现金流和其他行业上市公司(如制造业、科技公司)的财报在结构和内容上存在显著差异。差异主要源于金融地产公司的业务模式、会计准则和财务特点。

(三)中证自由现金流指数

中证全指自由现金流指数选取100只自由现金流率较高的上市公司证券作为指数样本,以反映现金流创造能力较强的上市公司证券的整体表现。

基日:2013年12月31日。

发布日期:2024年12月11日。

样本空间:同中证全指指数的样本空间,并过去一年日均成交金额排名位于样本空间前80%的股票。

(1)非ST、*ST证券;

(2)科创板证券、北交所证券上市时间超过1年,其他证券上市时间超过6个月;

(3)公司最近一年无重大违规、财务报告无重大问题;

(4)公司最近一年经营无异常、无重大亏损;

(5)考察期内证券价格无异常波动。

选样方法:对于样本空间中符合可投资性筛选条件的证券,选取同时满足以下条件的上市公司证券作为待选样本:

(1)按照中证一级行业分类,不属于金融或地产行业;

(2)自由现金流和企业价值均为正,其中自由现金流=过去一年经营活动产生的现金流量净额−过去一年购建固定资产、无形资产和其他长期资产支付的现金,企业价值=公司总市值+总负债−货币资金;

(3)连续5年经营活动产生的现金流量净额为正;

(4)盈利质量由高到低排名位于样本空间前80%,其中盈利质量=(过去一年经营活动产生的现金流量净额−过去一年营业利润)/总资产;

然后将待选样本按照自由现金流率由高到低排名,选取排名前100的证券作为指数样本,其中自由现金流率=自由现金流/企业价值。

 指数计算:指数计算公式为:报告期指数 =报告期样本的调整市值/除数× 1000。其中, 调整市值 = ∑(证券价格 × 调整股本数 × 权重因子)。权重因子介于0和1之间,以使样本采用自由现金流加权,且单个样本权重在每次定期调整时不超过10%。

权重调整:指数样本每季度调整一次,样本调整实施时间分别为每年3月、6月、9月和12月的第二个星期五的下一交易日。

权重因子随样本定期调整而调整,调整时间与指数样本定期调整实施时间相同。在下一个定期调整日前,权重因子一般固定不变。

(四)富时 A 股自由现金流指数

根据指数2025年最新编制文件说明,富时中国A股自由现金流聚焦指数属于富时自由现金流聚焦指数系列, 旨在识别富时中国A股自由流通指数中的高质量公司并实现高于基准的指数层面现金流收益率。强劲的现金流使公司能够派发较高的股息、清偿债务并推动业务扩张。该指数系列纳入因子因素,旨在识别优质公司并着重于指数层面现金流收益率,从而让投资者能够在经济低迷期间维持防御型配置,同时追求更高的收益回报。

基日:2013年12月31日。

发布日期:2024年7月29日。

样本空间:基于以下条件进行筛选

(1)剔除金融(ICB30)和房地产(ICB35)行业的证券;

(2)剔除滚动过去12个月自由现金流和企业价值为负或者数据缺失的证券。

(3)质量筛选:满足(1)和(2)的证券中,剔除富时质量因子排名后30%或者数据缺失的证券。

(4)波动筛选:满足(1)和(2)的证券中,剔除富时波动率因子排名前30%或者数据缺失的证券。

(5)成长性筛选:剔除预期收益增长为负(或缺失数据)的证券和预期销售增长为负(或缺失数据)的证券;

(6)考察期内证券价格无异常波动。

选样方法:对于样本空间中符合可投资性筛选条件的证券,基于自由现金流率筛选前50只股票。成分股采取自由现金流加权方式,单只股票权重上限为10%。

指数成分股同样每季度调仓一次。

(五)自由现金流指数方案对比

对比各自由现金流指数,国证和中证的编制方案总体相似度较高,均是以自由现金流率作为核心筛选指标,差异点在于负向剔除股票的方式等方面,国证自由现金流指数涉及季度ROE波动率、现金流相对营收占比等,而中证自由现金流指数涉及经营现金流、盈利质量等指标。

本部分主要以中证和国证的自由现金流指数为例,观察成分股的特征。

(一)成分股特征

1.行业分布

重仓行业方面,基于申万一级行业分类,指数成分股覆盖周期行业权重相对较高。

截至2025年2月7日,中证自由现金流指数的前5大行业合计权重为65%,重仓行业为煤炭、石油石化、交通运输、有色金属和家用电器。国证自由现金流指数的前5大行业合计权重为60%,重仓行业为汽车、石油石化、家用电器、煤炭和有色金属。总体而言,石油石化、煤炭、家电等现金流稳定的周期或相对成熟行业的权重较高。

2.市值分布

指数成分股相对聚焦小市值股票。根据Wind,截至2025年2月7日,中证自由现金流指数的100只指数成分股的平均市值为164亿元,国证自由现金流指数的100只指数成分股的平均市值为133亿元。

    3.重仓股

    观察指数的前十大重仓股,持仓相对集中。根据Wind,截至2025年2月7日,中证自由现金流指数前十大重仓股合计权重为64.36%,国证自由现金流指数前十大重仓股合计权重为56.92%。

(二)估值低于主流宽基指数

根据Wind,截至2025年2月7日,自由现金流指数的市盈率低于中证500和中证1000,市净率方面,自由现金流指数的市净率高于沪深300。

(三)市场表现

将自由现金流全收益指数的市场表现和其他主流宽基指数的全收益指数作对比,以2014年至今作为观察周期,中证和国证的自由现金流指数分别实现了19.50%和19.90%的年化收益,高于沪深300、中证500等主流宽基指数,具备更高的夏普比特征。

观察分年度表现,自由现金流指数在近几年明显优于沪深300等宽基指数同期表现。

(四)行业和风格暴露

风格暴露方面,自由现金流指数呈现高盈利和低beta的特征。

行业暴露方面,和宽基指数相比,自由现金流指数相对超配周期行业,低配金融板块。

本部分旨在将自由现金流指数与中证红利指数作对比,观察两个主题的异同。

(一)成分股特征

观察指数的前十大重仓股,持仓相对集中。根据Wind,截至2025年2月7日,中证自由现金流指数前十大重仓股合计权重为64.36%,国证自由现金流指数前十大重仓股合计权重为56.92%。

(二)红利指数估值较低

根据Wind,截至2025年2月7日,自由现金流指数的市盈率和市净率相对高于中证红利指数。

(三)市场表现

将自由现金流全收益指数的市场表现和中证红利的全收益指数作对比,以2014年至今作为观察周期,中证和国证的自由现金流指数优于中证红利指数同期表现。

(四)行业和风格暴露

风格暴露方面,相比于中证红利指数,自由现金流指数在市值因子、成长因子和流动性因子等方面暴露更高。

行业暴露方面,和中证红利指数相比,自由现金流指数相对超配家用电器、有色金属和石油石化行业,低配银行板块。中证红利指数行业分布偏向银行、公用事业等高股息传统行业。

另外,在指数编制方案方面,自由现金流指数调整成分股相对频繁,而中证红利指数采取年度调仓策略。自由现金流指数季度调仓频率高于红利指数,同时周期性行业权重更高,采取季频调仓能更快捕捉行业周期变化。

综上所述,相比于红利指数:

1.自由现金流指数相对更关注企业内生增长能力;

2.自由现金流指数相对高频调仓,适合捕捉周期行业机会,红利指数的股息数据可能滞后;

3.成分股持仓相对集中,重仓股的权重占比相对较高;

4.市盈率和市净率等估值相对更高。

(一)基础信息说明

参照自由现金流指数的编制方案,本章进行回测检验,以观察自由现金流相关因子的区分度效果。

首先参照中证自由现金流指数的编制,作股票池的基本筛选:

    1.成交额位于前80%;

    2.按照中证一级行业分类,剔除不属于金融或地产行业;

    3.筛选并保留滚动一年自由现金流和企业价值均为正的股票;

    4.筛选连续5年经营活动产生的现金流量净额为正的股票;

    5.筛选盈利质量由高到低排名位于样本空间前80%的股票;

在满足上述条件的样本中分别以自由现金流率(fcf2v)和自由现金流(fcf)作为因子进行回测检验。

回测基本框架设置如下:

选股范围:全市场;

股票预处理:剔除非上市、摘牌、ST/*ST、涨跌停板、上市未满1年股票;

因子预处理:MAD去极值、Z-Score标准化;

回测区间:2016.01.01 – 2025.02.07;

分档方式:根据当期股票的因子值,从小到大分为五档 ;

调仓周期:季度,基于次日成交均价换仓;

加权方式:等权;

交易费用:千分之三(卖出时收取)。

(二)实证结果

本部分测算每季度末次日调仓的测算结果。回测结果显示,季度频率选股方式下,自由现金流率(fcf2v)因子的IC均值为5.0%,IC胜率为62.2%,自由现金流(fcf) 因子的IC均值为4.1%,IC胜率为56.8%。

1.fcf2v因子

基于因子值,每次筛选前N只股票构建等权组合,观察历史收益表现。回测结果显示,多头50组合回测期间的年化收益为10.8%,多头100组合回测期间的年化收益为7.7%,优于沪深300指数同期表现。

基于个股的因子值暴露值计算回测的因子和常规风格因子的相关性。相关性结果来看,fcf2v因子和账面市值比、盈利因子的相关性相对较高。

2.fcf因子

回测结果显示,多头50组合回测期间的年化收益为6.5%,多头100组合回测期间的年化收益为6.4%,优于沪深300指数同期表现。

相关性结果来看,相比于fcf2v因子,fcf因子和市值、杠杆因子的相关性相对较高。

(三)调整换仓时点至月中

中证自由现金流指数样本每季度调整一次,样本调整实施时间分别为每年3月、6月、9月和12月的第二个星期五的下一交易日。进一步将回测的换仓时点和指数换仓日期匹配。

回测结果显示,季度频率选股方式下,自由现金流率(fcf2v)因子的IC均值为4.2%,IC胜率为62.2%,自由现金流(fcf) 因子的IC均值为3.6%,IC胜率为67.6%。

因子的五分组单调性相对良好,其中自由现金流率(fcf2v)因子的多头收益相对较高。

1.fcf2v因子

回测结果显示,多头50组合回测期间的年化收益为11.1%,多头100组合回测期间的年化收益为9.6%,提前换仓时点后的回测收益进一步提高。

2.fcf因子

回测结果显示,多头50组合回测期间的年化收益为6.2%,多头100组合回测期间的年化收益为5.9%,相比于季末换仓无明显提升。

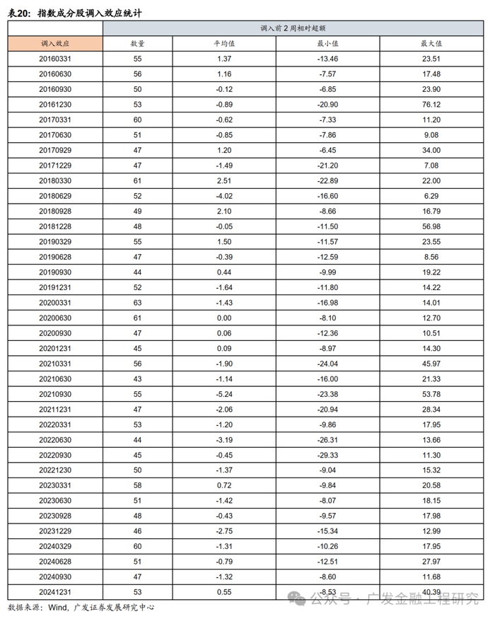
根据指数编制方案,指数成分股定期调整于每季度最后一个月的第二个星期五的下一个交易日实施,调整方案通常在实施前两周公布。

本部分对成分股的调整效应进行测算,即对比对应两周期间内,将调入的成分股相比存续股票是否有超额收益,将调出的成分股是否跑输存续股票。

不同于沪深300等宽基指数成分股的调入效应,测算结果显示,在调入前两周,平均而言,即将调入指数成分股的股票(-0.68%)和即将调出的股票(-0.38%)总体相对跑输存续股票,说明存续股票的收益贡献相对稳定。

(1)本专题报告所述模型用量化方法通过历史数据统计、建模和测算完成,所得结论与规律在市场政策、环境变化时可能存在失效风险;2)本专题策略模型在市场结构及交易行为改变时有可能存在策略失效风险。(3)因量化模型不同,本报告提出的观点可能与其他量化模型结论存在差异。

加载中...