新浪财经

深度学习如何自适应市场状态以提升模型稳健性? | 民生金工

市场投研资讯

关注

(来源:尔乐量化)

- 报告摘要 -

SUMMARY

➤ 传统Transformer模型选股能力尚可,但对市场极端环境适应性差。

将票日频量价数据及因子输入Transformer建立双周频股票收益预测模型,样本外输出的因子2019年以来RankIC8.6%,表现较为一般,在宽基指数内有所衰减。模型主要有2个问题,其一是依赖高度的风格暴露,这一问题可以通过加入风格暴露惩罚等方式解决;其二是因子表现通常与市场走势呈负相关,这是因为模型在不同市场环境下并未对编码器做修正,导致模型无法识别市场变化,超额收益在市场突变时回撤明显。本报告利用3种方式从模型的输入与结构等方面做出改进,稳定提升基础模型的选股表现:

1.通过MASTER Transformer纳入市场信息,对特征做自动选择。

2.利用深度学习风险模型进一步刻画市场状态,输入市场偏好。

3.在模型的训练流程及损失函数等方面进行优化。

➤ MASTER模型利用宽基指数量价代表市场状态,进行自动特征选择。

Tong Li等人在2024年发表的论文中提出了一个名为MASTER(Market-Guided Stock Transformer)的新模型,旨在捕获瞬时和跨时间的股票相关性,并利用市场信息进行自动特征选择。我们对原论文的数据部分进行改进后,对MASTER模型效果进行实证,保持其他设定不变的情况下,MASTER模型因子RankIC10.3%,年化多头超额收益26.0%,大幅打败基线Transformer模型。利用因子构建指数增强组合,在沪深300内年化超额收益15.9%,信息比率1.1,中证500内年化超额收益16.5%,信息比率1.54,在中证1000内年化超额收益22.4%,信息比率1.62。

➤ 利用深度学习风险模型可进一步刻画市场状态。

作为市场状态特征的大宽基指数最近的量价本质上只刻画了市场最近的牛熊状态,然而市场每轮的牛熊背后驱动逻辑不同,市场偏好的风格也不同,所以我们需要理解市场最近的偏好以进一步刻画市场状态。而近年来,传统的Barra风格因子对于股票收益的解释度有所降低,已经不足以刻画市场风格,因此我们可以用深度学习风险模型输出更有解释力度的风险因子。深度风险因子相比barra风格因子对于市场收益的解释度在日度频率上可提升5%。利用近期上涨最好股票的深度学习隐风格来衡量近期的市场特征,可构建120个新特征代表市场状态。

➤ 在模型的训练流程及损失函数等方面继续改进,最终因子效果提升明显。

对于损失函数,我们利用加权MSE来放大多头端的误差以提高模型在多头端预测的准确率。在模型的训练流程上,我们可以利用在线的元增量学习对于模型进行定期更新。元增量学习旨在根据最近的数据分布对数据与模型进行适应,从而快速掌握近期市场规律,适应动态变化的市场。最终因子RankIC10.7%,年化ICIR6.0,年化多头超额收益34%,利用因子构建指数增强组合,在沪深300内年化超额收益21.1%,信息比率1.8,中证500内年化超额收益24.1%,信息比率2.0,在中证1000内年化超额收益29.3%,信息比率2.0,相比MASTER模型提升了稳定性与收益弹性,表现优异。

01

传统深度学习模型的不足之处

CHAPTER

1.1 从Transformer模型出发

以Transformer为主流的深度学习股票收益预测已经被广泛应用于因子构建中。通俗来说,如果把股票市场比作一本每天都在更新的“书”,这本书中包含了大量的股票量价及基本面信息,Transformer模型就像是一个优秀的读者,可以记住最近很长一段时间的信息,并且理解这些信息之间的复杂联系。比如一只股票的短期未来走势可能受到本身财务状况,最近的资金交易行为等因素影响,Transformer模型可以综合这些信息,帮助预测股票短期的未来收益。

Transformer模型的优势在于可以并行地处理股票最近所有时间步上的数据,并且选择性地关注某些重要信息,即注意力机制。Transformer的核心特点是全面依赖于注意力机制,并行学习序列的不同子空间,这种机制可以让模型从不同角度理解数据的同时,大大提高训练效率。除此之外,模型中还加入了位置编码,使模型能够利用序列的顺序;加入前馈网络有助于进一步转换注意力层的输出;加入残差连接帮助避免在深层网络中训练时的梯度消失问题。

利用量价数据输入Transformer模型,可进行股票收益排序的预测。数据集为股票每日量价7个指标+民生金工因子库中的53个日频量价因子,因子定义及计算方式见附录。

模型从2013年开始训练,2019年开始预测。即每次训练集+验证集为6年,每年滚动训练一次。模型未对2019年以前的信号进行样本外预测,这主要是因为在Transformer模型在2017年被提出,需要一定的普及时间,样本外从2019年开始可以避免未来知识的影响。数据处理及训练设置细节如下:

基础Transformer模型训练得到的因子选股效果较为有限。自19年开始对样本外预测因子进行回测,按照每周最后一个交易日因子值在下周第一个交易日按照vwap价格调仓,因子周频平均RankIC为0.086,RankICIR0.73,年化后为5.24。分十组双周频回测下,年化多空收益56%,模型分组效果单调。从RankIC与多空收益的角度,相比于市面上的深度学习模型平均10%左右的RankIC,基础Transformer模型因子表现较为一般。

Transformer基线模型选股效果有限的原因有二。第一,训练集+验证集6年的窗口可能不足以捕捉足量的历史规律,导致训练效果不够理想;第二,数据处理方面有进一步改善的空间,对输入数据做更精细的处理可以提升训练效果,这一点我们将在后文中做更细致的探讨。尽管基线模型有改进空间,但完全符合作为对照组的条件。后续实验中,我们将保留数据处理方式与训练数据长度等设定不变,以体现新模型的优势。

进一步回测因子在不同宽基指数中的表现,在沪深300中RankIC仅有4.4%,中证500中RankIC5.4%,中证1000中7.3%,在此3个宽基指数上的年化多空收益分别为15.9%,13.7%,43.7%。

1.2 Transformer模型的潜在问题

Transformer等深度学习模型在选股中的潜在问题有二。第一,因子收益对于风格较为依赖。Transformer模型长期在市值和估值风格上暴露较高。这里我们取Transformer在全A上的多头组合做风格暴露分析,计算全A多头组持仓在风格因子上的均值相对全A风格均值的偏离。全局来看,Transformer模型对于风格暴露依赖程度较高,但在每一个风格上波动不大,除市值风格出现过2次明显切换外,深度学习偏好低流动性,低波动率,大盘及小盘等特点的股票,且在动量因子上波动较为明显

对于深度学习过于依赖风格收益,以及风格暴露可能波动过大等问题,我们在之前的报告《深度学习如何控制策略风险?》中提出在损失函数中加入关于风格暴露的惩罚,一定程度上解决了此问题,在实际应用中,我们也可以控制因子的市值暴露以控制策略风险。

第二,因子收益走势与大盘本身的绝对收益呈负相关。考虑双边千三的费率,剔除新股,ST,涨停股票后,因子全A多头组合年化超额收益为16.4%,较为有限。我们对比因子多头超额收益曲线与市场(中证800)走势发现,二者相关性为-0.48,具有较强的负相关性。尤其是在市场强势上涨时,模型往往无法提供足够的超额收益跑赢市场,而在市场下跌时,模型往往比较抗跌。尽管有市值因素影响,但因子的两次最大回撤都发生在市场快速上涨时,已经可以说明问题。

导致这一现象的原因可以从2个角度进行分析。资金面上,市场有大量资金突然进场时,往往会违背机器学习学到的历史规律,导致模型无法快速适应市场。然而我们无法预测资金的行为,很难从指标检测上调整策略,预防回撤。从模型的角度上,传统的Transformer模型虽然可以利用多头注意力等机制考虑到股票间相关性的衡量,但在不同市场环境下并未对encoder做修正,导致模型无法识别市场变化,超额收益在市场突变时回撤明显。我们将在本篇报告中着重对于这一点进行改进。

02

利用市场信息进行自动特征选择

CHAPTER

2.1 MASTER Transformer

由于传统Transformer的股票收益预测能力随市场状态变化明显,我们需要考虑不同市场状态下深度学习的特征选择。本篇研究中,我们参考了Tong Li等人于2024年发表的论文:MASTER: Market-Guided Stock Transformer for Stock Price Forecasting。论文中,作者提出了一个名为MASTER(Market-Guided Stock Transformer)的新模型,用于股票价格预测,旨在捕获瞬时和跨时间的股票相关性,并利用市场信息进行自动特征选择。论文在沪深300与中证800中,利用从2008年到2022年的日频alpha158(qlib)数据进行了训练。训练集为2008年第一季度到2020年第一季度,验证集为2020年第二季度,测试集为2020年第三季度到2022年第四季度。在周度的收益预测及回测下,Master模型表现相比多个基线模型有明显提升:

论文主要在数据输入与模型结构方面做出了创新。首先,纳入并集成市场信息生成特征缩放系数,用于自动选择相关特征并适应市场变化。具体地,将沪深300,中证500,中证800的各21个近期指数量价特征作为当前市场状态向量,进一步生成特征缩放系数,使得不同特征在不同市场环境中具有不同的重要性。这种方式减少了手动特征选择的需求,并提高了特征选择的效率。本篇研究中我们在原文基础上做出一定合理改进,改进后的21个特征如下表。表中收益率下面的avg(5)表示取过去5日收益率平均,avg(5)/amt表示5日平均成交额除以当日成交额,以此类推。

市场状态经过门控机制生成特征权重。构造市场状态后,将每日市场状态(1x63的向量)输入模型中进行门控机制建模,门控机制为全连接层加激活函数的形式,其中全连接层经过一个缩放系数beta后进入激活函数,再乘以d_model重新放大,d_model为输入特征数量,本次实验中为60,目的是平滑特征选择的重要性,使得某些特征权重不会被过度放大。

模型结构方面,论文在Transformer中进一步加入2个注意力模块,以捕捉瞬时和跨时间股票相关性。将加权后的特征输入至后续Transformer中,在Transformer中,模型对瞬时和跨时间相关性建模,更准确地捕捉股票间的动态相关性,改善了对复杂市场行为的理解。

上图的2,3,4部分分别对应模型的3个注意力机制:自注意力,股票间注意力及时序注意力。对于单个股票μ,取其特征序列,自注意力用以下编码器进行编码:

FFN(Feed-Forward Network,前馈网络,下同)由2层全链接网络+激活函数+残差网络构成,MHA为Multi-Head Attention,即多头注意力机制。W为权重矩阵,用来计算注意力机制,Y为模型输入。

股票间注意力用以下结构进行构建:

ht为前一步自注意力机制的嵌入层输出。通过前馈网络(FFN)的残差连接,时间嵌入z同时编码了来自瞬时相关股票的信息以及股票 𝑢自身的个性化信息。股票𝑣的局部细节y首先可以通过其内部聚合传递到h,然后在时间步𝑖上通过股票间聚合传递到z,从而建模任意(股票𝑣特征𝑗(股票𝑢特征𝑖)之间的相关性。

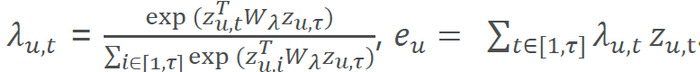
最后,全局时序注意力机制的注意力得分为:

每个z都编码了与(𝑢t)瞬时相关的股票信息。为了总结时间维度上的信息权重,在时间轴上采用一个时间注意力层,使用最新的时间嵌入z作为查询向量,并通过变换矩阵在隐空间中计算注意力分数λ

2.2 MASTER模型因子表现

我们根据论文中的方法构建MASTER模型训练预测股票收益。除了数据集进行替换外,我们用沪深300,中证500与中证1000指数最近的量价进行市场状态构建,以捕捉更加全面的市场信息。根据原始数据集计算得到MASTER因子,回测设置保持不变,MASTER因子表现如下:

截至2025年1月6日,MASTER因子2019年以来RankIC均值10.3%,相较基线Transformer模型提升1.7%,提升较为显著。因子分十组双周频回测单调性更为明显,年化多空收益68.2%,选股能力显著提升。

MASTER因子在全A内多头组合年化收益31.0%,对比中证800年化超额收益26.0%,相较于基线Transformer模型提升5%左右,但模型在2021年与2024年年初均发生较大回撤,超额收益波动率为19.6%,波动较大。

在不同宽基指数内对MASTER因子进行回测,表现也均有明显提升。因子在沪深300内RankIC提升至6.8%,中证500中RankIC7.8%,中证1000中9.2%,在此3个宽基指数上的年化多空收益分别为25.3%,26.6%,50.8%。

利用MASTER因子构建3个指数内的指数增强策略。在控制市值行业暴露的同时,最大化MASTER因子暴露,限制个股偏离为基准权重的30%-300%,在沪深300,中证500,中证1000内进行回测。

沪深300指增策略年化收益16.9%,年化超额收益15.9%,信息比率1.1。超额收益累计最大回撤6.1%,收益回撤比超过2.5,表现尚可。

中证500指增策略年化收益20.8%,年化超额收益16.5%,信息比率1.54,最大回撤6.0%,表现较为优秀。

中证1000指增策略年化收益25.9%,年化超额收益22.4%,信息比率1.62,超额收益累计最大回撤9%,在2024年波动较大。

03

模型的进一步改进

CHAPTER

对于论文中的方法,我们可以根据之前的研究及对于市场的理解进行进一步改进,接下来我们将逐一探讨这些改进,主要有以下几点:

1、利用深度风险模型衡量市场风格,用最近市场风格偏好刻画市场状态。

2、利用加权MSE作为损失函数提高多头端预测准确率,套用元增量学习框架以在线更新模型预测。

3.1 利用深度学习风险模型进一步刻画市场状态

除了宽基指数的量价信息,我们还可以利用风格信息对市场状态做进一步刻画。宽基指数最近的量价数据本质上只刻画了市场中大盘及中盘股最近的牛熊状态,然而,我们在之前的分析报告《牛市各阶段哪些因子表现最好?》中指出,每轮牛市背后的驱动逻辑不同,市场偏好的风格也不同。所以我们需要理解市场最近的偏好以进一步刻画市场状态。

用深度学习风险模型可以进一步刻画市场风格。近年来,传统的Barra风格因子对于股票收益的解释度有所降低,已经不足以刻画市场风格。因此我们可以用深度学习风险模型输出更有解释力度的风险因子。深度风险模型早在2021年就被Hengxu Lin等人于ICAIF上发表的论文Deep Risk Model: A Deep Learning Solution for Mining Latent Risk Factors to Improve Covariance Matrix Estimation中提出,论文利用Barra风格因子进行输入,并输出10个新的隐风险因子,在风险模型的回归R2上获得了2%以上的提升,更好地刻画了市场状态。

深度风险模型同时输出多期风险因子,通过优化多期R2提高风险因子的解释程度,并通过控制因子VIF矩阵的迹提高因子在时序上的自相关性。模型通过引入GRU(门控循环单元神经网络)来学习时间维度的变换,GAT(图注意力网络)来表示横截面变换,模型分成上下两支,下支为GRU网络,学习每个股票过去的时序信息。 上支为GAT+GRU网络,GAT采用隐式图,通过注意力的方式构造每个截面batch上的股票间关系。上下两支分别经过全连接得到K/2个风险因子,最终得到K个风险因子,K=10。

我们在论文方法的基础上进行改进,在风格因子的基础上加入日频量价信息输入,输出10个隐风险因子。相比于barra风格因子,在仅用风格因子回归的情况下,隐风险因子对收益回归后解释度有进一步提升,2019年后日度收益回归平均R2从原来的5.2%提升至11%。

得到深度风险因子后,我们可以利用近期上涨最好股票的风格来衡量近期的市场风格。具体地,我们取每日涨幅最高的10%股票的隐风险因子平均值作为当日的市场状态,并对此市场状态做不同窗口下的滚动均值,标准差等操作,构建共计10个因子x 4个回看窗口x 3种计算方式 = 120个市场状态特征,其中放大性指标为最近n日指标均值除以当日。

在训练时,用类似模型结构对120个市场状态特征进行门控机制建模,得到新的缩放系数,并将新老权重再次用全链接层进行拼接,得到最终特征权重,后续模型保持不变。

3.2 损失函数与训练框架

对于损失函数,我们可以放大多头端的误差以提高模型在多头端预测的准确率。传统的相关系数损失函数无法对每支股票的预测准确率给出权重,所以在输出标签相同scale的情况下,我们可以将IC替换为加权MSE:

其中,

即当 yhat>0.5时权重更大,强调对上涨股票的权重优化。根据Sigmoid函数的取值范围,我们可以根据偏好将γ在5~10之间调整。

在模型的训练流程上,我们可以利用在线的元增量学习对于模型进行定期更新。在之前的报告中,我们使用元学习的思想对增量学习进行提升,旨在根据最近的数据分布对数据与模型进行适应,从而快速掌握近期市场规律,适应动态变化的市场。元增量学习首先建立在增量学习的背景之上,利用过去一段时间的增量数据来更新基模型,不断让模型纳入新的市场规律,对未来的预测产生影响。

在此之上,我们可以进一步对增量数据与基模型进行适应,以避免增量数据与历史数据的联合分布差异过大导致的模型局部优化问题。我们提出了使用数据适应器以及模型适应器两个元学习器来解决这一问题。数据适应器是一种元学习器,用来学习怎样调整训练数据的分布才能更好的适应增量数据的分布变化,以获得更好的预测准确率,其旨在通过对于任务中的X和y进行不同的多重线性变化G和H来适应数据变化。模型适应器使用了典型的元学习MAML方法,其旨在训练出一组基模型的初始化参数,以便拥有这一初始参数的基模型面对新任务时能快速学习。详情请参考民生证券研究院《从增量学习到元学习:深度学习训练新框架》。

基于元增量学习对于市场变化快速适应的能力,我们可以将这一框架沿用到本篇研究中。我们将训练框架的底层模型改为MASTER模型,在输入端加入10个深度隐风险因子,替换市场状态输入与损失函数,最后套用元增量学习对模型进行在线更新。最终模型结构如下:

3.3 最终模型因子表现

最终模型引入元增量学习后,稳定性有明显提升。最终模型RankIC进一步提升至10.7%,较MASTER模型提升0.3%,ICIR提升至0.83,年化ICIR为6.0,较MASTER模型提升0.7,提升幅度明显。年化多空收益提升至80%,分十组净值曲线分层幅度进一步增加。

最终模型因子多头组年化收益40.1%,相对中证800超额收益33.9%,超额收益波动率下降至16%,信息比率2.0,模型超额收益与市场走势相关性下降至-0.26,负相关性较基线模型降低明显。

模型在2022与2023年超额收益最高,在市场波动较大的2024年仍然取得不错的超额收益,同时超额收益回撤降低至17%,策略稳定性相较传统模型有较大提升。

在不同宽基指数内对最终模型因子进行回测,在沪深300中RankIC提升至7.3%,中证500中RankIC8.2%,中证1000中9.5%,在此3个宽基指数上的年化多空收益分别为25.3%,26.6%,50.8%。费后年化多头超额收益分别为13.7%,13.3%,23.3%。

利用最终模型因子构建3个指数内的指数增强策略。在控制市值行业暴露的同时,最大化MASTER因子暴露,限制个股偏离为基准权重的30%-300%,在沪深300,中证500,中证1000内进行回测。

最终模型因子沪深300指增策略年化收益24.6%,年化超额收益21.1%,信息比率1.8。超额收益累计最大回撤5.9%,相比MASTER模型提升收益的同时减小了回撤,表现较为优秀。

中证500指增策略年化收益28.6%,年化超额收益24.1%,信息比率2.0。超额收益累计最大回撤6.6%,相比MASTER模型大幅提升了策略收益,表现较为优秀。

中证1000指增策略年化收益32.6%,年化超额收益29.3%,信息比率2.0。超额收益累计最大回撤8.8%,相比MASTER模型大幅提升了策略收益,减小了回撤,表现较为优秀。

04

结论

CHAPTER

本篇研究中,我们对于如何利用市场信息自动选择有效特征并提升深度学习模型表现做了探讨,通过论文中的方式与创新性的改进,相对基线Transformer模型做出了显著提升,策略兼具收益弹性与稳定性,对深度学习无法根据市场信息动态调整这一问题提出了可行的解决方案。

首先我们建立了基线Transformer模型作为对照组。将股票日频量价数据及因子输入Transformer建立双周频股票收益预测模型,在样本外输出Transformer因子,2019年以来因子RankIC8.6%,表现较为一般,在宽基指数内有所衰减。以Transformer模型为代表的深度学习模型因子主要有2个问题,其一是风格暴露较高,这一问题可以通过加入风格暴露惩罚等方式解决;其二是因子表现通常与市场走势呈负相关,这是因为模型在不同市场环境下并未对编码器做修正,导致模型无法识别市场变化,超额收益在市场突变时回撤明显。

随后,我们参考论文中的方法,将市场信息纳入模型中进行训练,获得了提升。Tong Li等人在2024年发表的论文中提出了一个名为MASTER(Market-Guided Stock Transformer)的新模型,旨在捕获瞬时和跨时间的股票相关性,并利用市场信息进行自动特征选择。我们对原论文的数据部分进行改进后,对MASTER模型效果进行实证,保持其他设定不变的情况下,MASTER模型因子RankIC10.3%,年化多头超额收益26.0%,大幅打败基线Transformer模型。利用因子构建指数增强组合,在沪深300内年化超额收益15.9%,信息比率1.1,中证500内年化超额收益16.5%,信息比率1.54,在中证1000内年化超额收益22.4%,信息比率1.62。

最后,我们利用深度风险模型计算新的市场状态,并替换损失函数和训练框架,获得了进一步提升。宽基指数最近的量价本质上只刻画了市场中大盘及中盘股最近的牛熊状态,然而市场每轮的牛熊背后驱动逻辑不同,市场偏好的风格也不同,所以我们需要理解市场最近的偏好以进一步刻画市场状态。深度风险因子相比barra风格因子对于市场收益的解释度提升5%,提升较为明显。利用近期上涨最好股票的风格来衡量近期的市场风格,共计构建120个新特征代表市场状态。在模型的训练流程及损失函数等方面继续改进,最终因子效果提升明显。对于损失函数,我们利用加权MSE来放大多头端的误差以提高模型在多头端预测的准确率。在模型的训练流程上,我们可以利用在线的元增量学习对于模型进行定期更新。元增量学习旨在根据最近的数据分布对数据与模型进行适应,从而快速掌握近期市场规律,适应动态变化的市场。最终因子RankIC10.7%,年化ICIR6.0,年化多头超额收益34%,利用因子构建指数增强组合,在沪深300内年化超额收益21.1%,信息比率1.8,中证500内年化超额收益24.1%,信息比率2.0,在中证1000内年化超额收益29.3%,信息比率2.0,相比MASTER模型提升了稳定性与收益弹性,表现优异。

05

风险提示

CHAPTER

量化模型基于历史数据,市场未来可能发生变化,策略模型有失效可能

报告信息:

叶尔乐  S0100522110002  yeerle@mszq.com

韵天雨  S0100524120004  yuntianyu@mszq.com

本文来自民生证券研究院于2025年01月27日发布的报告《量化专题报告:深度学习如何自适应市场状态以提升模型稳健性?》,详细内容请阅读报告原文。

重要提示

《证券期货投资者适当性管理办法》于2017年7月1日起正式实施,通过本微信订阅号/本账号发布的观点和信息仅供民生证券的专业投资者参考,完整的投资观点应以民生证券研究院发布的完整报告为准。若您并非民生证券客户中的专业投资者,为控制投资风险,请取消订阅、接收或使用本订阅号/本账号中的任何信息。本订阅号/本账号难以设置访问权限,若给您造成不便,敬请谅解。我司不会因为关注、收到或阅读本订阅号/本账号推送内容而视相关人员为客户;市场有风险,投资需谨慎。

免责声明

民生证券股份有限公司(以下简称“本公司”)具有中国证监会许可的证券投资咨询业务资格。本报告仅供本公司境内客户使用。本公司不会因接收人收到本报告而视其为客户。本报告仅为参考之用,并不构成对客户的投资建议,不应被视为买卖任何证券、金融工具的要约或要约邀请。本报告所包含的观点及建议并未考虑个别客户的特殊状况、目标或需要,客户应当充分考虑自身特定状况,不应单纯依靠本报告所载的内容而取代个人的独立判断。在任何情况下,本公司不对任何人因使用本报告中的任何内容而导致的任何可能的损失负任何责任。

本报告是基于已公开信息撰写,但本公司不保证该等信息的准确性或完整性。本报告所载的资料、意见及预测仅反映本公司于发布本报告当日的判断,且预测方法及结果存在一定程度局限性。在不同时期,本公司可发出与本报告所刊载的意见、预测不一致的报告,但本公司没有义务和责任及时更新本报告所涉及的内容并通知客户。

在法律允许的情况下,本公司及其附属机构可能持有报告中提及的公司所发行证券的头寸并进行交易,也可能为这些公司提供或正在争取提供投资银行、财务顾问、咨询服务等相关服务,本公司的员工可能担任本报告所提及的公司的董事。客户应充分考虑可能存在的利益冲突,勿将本报告作为投资决策的唯一参考依据。

若本公司以外的金融机构发送本报告,则由该金融机构独自为此发送行为负责。该机构的客户应联系该机构以交易本报告提及的证券或要求获悉更详细的信息。本报告不构成本公司向发送本报告金融机构之客户提供的投资建议。本公司不会因任何机构或个人从其他机构获得本报告而将其视为本公司客户。

本报告的版权仅归本公司所有,未经书面许可,任何机构或个人不得以任何形式、任何目的进行翻版、转载、发表、篡改或引用。所有在本报告中使用的商标、服务标识及标记,除非另有说明,均为本公司的商标、服务标识及标记。本公司版权所有并保留一切权利。

加载中...