【山证军工】国防军工2025年度策略:业绩筑底景气回升,商业航天加速突破
市场投研资讯
(来源:山西证券研究所)
十四五收官之年开启新一轮景气上行周期。过去的一年里受需求释放节奏波动的影响,2024年前三季度军工企业业绩承压,营收利润出现双双下滑,市场情绪低落,股价受到压制。2024年9月以来,随着924国新办新闻发布会后的大盘反弹,以及珠海航展等事件催化,军工板块大幅反弹。短期看,十四五收官之年随着延迟订单重新释放,需求端边际持续好转的趋势确定性较高,行业“业绩底”逐渐明确,景气度有望持续回升。2027百年建军目标已近在眼前,军工板块有望在经历两年调整后,在2025年重新迈入上行通道。
卫星互联网建设提速,大中型可复用液体箭加速攻关。巨型卫星互联网星座是未来航天发射市场的主要需求。随着国内两大卫星互联网星座相继启动组网发射,2025年起我国将逐步进入星座常态化、密集型的组网阶段。面对未来两个巨型星座的部署需求,国内运力缺口较大,考虑到占频保轨的紧迫性,提升火箭运力势在必行。太原卫星发射中心特殊的经纬度最适合发射太阳同步轨道和极轨卫星,未来有望在近地轨道卫星部署中持续发挥重要作用。
全球地缘政治动荡加剧,军贸需求巨大。随着世界各个地区的矛盾愈发尖锐,武装冲突风险大幅增加,在加沙和俄乌战争、东亚紧张局势加剧、叙利亚反对派推翻阿萨德政权等广泛的地缘政治紧张局势驱动下,全球军费开支将持续增长。中国军工经过几十年的积淀与投入,中国的武器装备在技术上取得了很明显的进步,已经达到世界一流水平,并且可以为客户提供体系化的成建制的全套产品。面对全球军贸市场的上行周期,中国的国防军工行业在巨大的国内需求之外,又可以向规模庞大的国际军贸市场开拓新的成长空间。军贸市场的打开有利于分摊国内研发成本,同国外装备的同台竞技也有利于提升国内技术迭代升级速度,最终实现军贸反哺于军工。
大飞机规模化发展提速。未来二十年中国航空市场将成长为全球最大单一航空市场,引领未来全球航空市场增长。如今在100座位以上的干线机领域,全球大飞机产业形成了波音和空客的双寡头垄断格局,中国商飞的C919受益于国内完善的工业体系以及巨大的航空需求市场,最有可能成为干线客机市场双寡头格局的破局者。波音公司近年来问题事故频发麻烦不断,无论是储备订单还是飞机交付量均已明显落后于空客,但目前空客受到供应链紧张的限制,产能不足。C919在手订单饱满,全力以赴产能爬坡。
推荐箭弹武器产业链、新型航空装备产业链以及无人装备产业链。新军事变革主要围绕着弹药精确制导化、武器装备无人化、战场体系网络化三个方面进行,在相应的子产业链里我们重点推荐箭弹武器产业链、新型航空装备产业链及无人装备产业链。
重点公司关注:箭弹武器产业链推荐北方导航、航天电器。北方导航负责研发和生产精确制导武器的核心分系统控制舱,处于产业链核心环节。航天电器是我国航天级和弹载连接器、数据总线产品的主要供应商,将受益于导弹配套行业的持续成长。新型航空装备产业链推荐中航沈飞、中航高科、光启技术。中航沈飞的新型歼-35舰载隐身战斗机的研制成功,使其成为了世界上第三个可以大批量生产合格的隐身战斗机的企业。中航高科是重要的航空碳纤维预浸料研制企业,处于碳纤维产业链核心枢纽环节,承担了多型航空新装备所需预浸料产品的研制、生产和供应,具有垄断优势。光启技术是国内唯一一家将超材料技术形成产品并大规模应用于尖端装备领域的公司,相关产品已在我国多型军用飞机、海军装备、导弹等核心高端装备上得到应用。无人装备产业链推荐内蒙一机。内蒙一机作为陆军主战装备龙头,通过参股战术无人机企业,持续深化公司地面装备与无人智能化对接应用,打造空地一体化无人作战系统,未来可为公司地面装备产品带来相应的增长空间。
风险提示:国内军事装备列装不及预期,海外订单不及预期,火箭研制进度不及预期,星座建设进度不及预期,大飞机生产及交付不及预期。
【十四五收官之年开启新一轮景气上行周期】
过去的一年里受需求释放节奏波动的影响,2024年前三季度军工企业业绩承压,营收利润出现双双下滑,市场情绪低落,股价受到压制。2024年9月以来,随着924国新办新闻发布会后的大盘反弹,以及珠海航展等事件催化,军工板块大幅反弹。短期看,十四五收官之年随着延迟订单重新释放,需求端边际持续好转的趋势确定性较高,行业“业绩底”逐渐明确,景气度有望持续回升。2027百年建军目标已近在眼前,军工板块有望在经历两年调整后,在2025年重新迈入上行通道。
全年板块行情回顾
回顾近一年的军工板块行情,24年前三季度,除了2月份市场情绪回暖带动的上行外,军工板块整体处于震荡下行,弱于大盘。24年9月24日以来,市场风险偏好持续改善,行业复苏预期增强,军工板块大幅反弹,最高点在24年10月8日,相较24年9月24日板块指数涨幅达到57.88%。
图1:近一年军工板块、上证综指、创业板指数走势对比
资料来源:Wind,山西证券研究所
当前军工板块PE/TTM为68x,9月之后估值快速扩张,高于近5年的估值中枢,历史分位点处于近五年的83.9%,处于近十年的56.6%。过去的一年由于种种因素导致订单延后,板块业绩下滑,市场情绪整体低落,军工行业进入了漫长的杀估值阶段,9月之后随着市场风险偏好持续改善,叠加订单释放逐步恢复带来的行业复苏预期增强,行业估值快速扩张,成为今年三四季度军工行情的主要驱动因素。
图2:近5年以来的军工板块市盈率变化
资料来源:Wind,山西证券研究所
2024年二、三季度偏股型基金持续增配军工,重仓持股比例环比分别提高0.6和0.1个百分点。随着24年一季度机构军工行业配置比例出现较大幅度下滑,达到了近两年的低位,当前行业“业绩底”已逐渐明确,需求边际向好,景气度最差的阶段已经过去。后续随着迟滞订单的逐步释放,行业景气度有望逐季改善,随着2027百年建军目标的迫近,军工行业有望重新迈入上行通道,军工板块的机构配置比例有望进一步上升。
图3:2013年以来的军工板块偏股型基金重仓持股比例
资料来源:Wind,山西证券研究所
2025重新迈入上行通道
横向比较看, 2024年三季度A股所有行业净利润增速中,国防军工行业同比减少27.91%,在所有行业中排名第二十五(25/31)。2024年由于行业自身的订货调整和主管部门的变动,导致了军工企业业绩低于市场预期,但是随着各项改革的深入进行和订货调整的完成,“十四五”收官阶段军工行业有望开启新一轮加速成长期。中长期来看,2027年百年建军目标迫在眉睫,面对深刻变化的国际形势,我国维护国家统一、维护领土完整、维护发展利益的任务艰巨繁重,同时世界新军事革命深入发展,武器装备远程精确化、智能化、隐身化、无人化趋势明显,太空和网络空间成为各方战略竞争新的制高点,所以长期内我国仍处于武器装备大发展的阶段,军工行业有望长期保持高景气度。
图4:2024年三季度A股一级行业净利润增速排名
资料来源:Wind,山西证券研究所
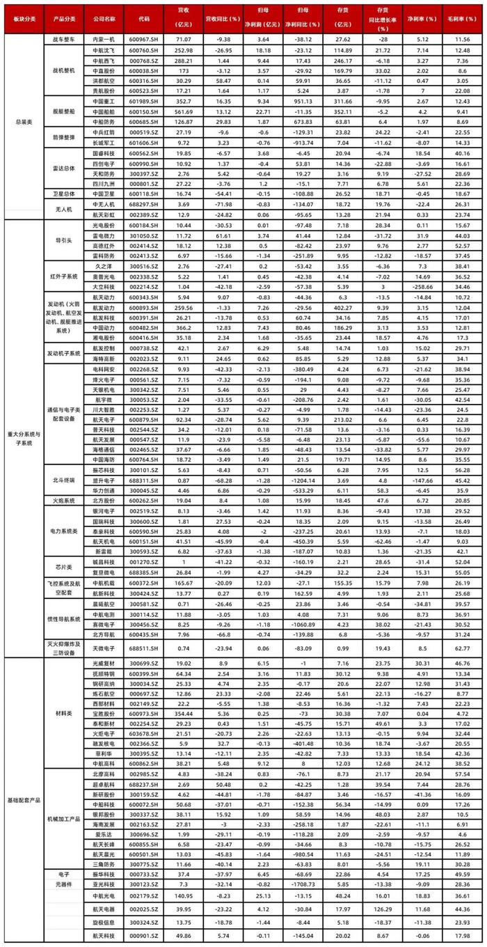
表1:军工板块股票2024Q3财务情况
资料来源:wind,山西证券研究所
【卫星互联网建设提速,大中型可复用液体箭加速攻关】
巨型卫星互联网星座是未来航天发射市场的主要需求
卫星互联网是 6G 时代空天地一体化建设的关键。卫星互联网起源于20世纪90年代,期间经历了早期与地面网络竞争,到后来作为地面通信网络的补充和备份,一直发展到如今的与地面通信网络融合发展。6G时代将“空天地一体化的全球无缝覆盖”列为下一代移动通信技术的总体愿景之一,卫星互联网将成为地面通信系统的有效补充和未来6G的重要组成部分。未来卫星互联网在6G网络架构中的重要作用体现为:针对通信系统建设难度大、运营成本高的场景,比如偏远地区、深山、海岛等区域,仍有大量人口未接入互联网,卫星互联网将成为弥合数字鸿沟的重要手段;针对海洋、天空等特殊场景,低轨卫星方案可以提供时延更短、速率更高、性价比更高、全球覆盖的宽带通信网络;卫星互联网作为传输备用链路,可以有效提升基站抵御自然灾害的能力,增强地面网络稳定性。
图5:基于6G的空天地一体化卫星互联网结构
资料来源:《6G对发展我国民商卫星互联网的思考》、山西证券研究所
卫星互联网战略意义巨大。低轨通信卫星星座凭借其优良的全球覆盖特性、低传输时延、高抗毁性、支持小孔径接收天线等优势,具有广阔的应用前景,低轨通信卫星星座已成为关键的军事基础设施。2022年2月俄乌冲突爆发后,乌克兰通过“星链”实现对原有地面互联网基础设施的替代,展示了一个可扩展、弹性巨型星座架构的能力,“星链”计划突破了商业边界,展现了巨大的军事应用潜力。2022年12月,SpaceX发布了“星盾(Starshield)”计划,旨在为美国提供全球部署的卫星遥感、加密通信、其他军用平台模块化托管能力。该计划基于“星链”的技术和生产线,并与“星链”通信兼容。“星盾”计划利用“星链”卫星星座,为美国情报机构、国防部等部门提供数据加密传输、战场信息感知等多项服务,特别是为美军一直欠缺的战场高通量信息传输、战场卫星遥感信息获取等方面提供支持,将有效增强美军侦察遥感、通信中继、导航定位、精确打击等作战能力。
图6:美国太空发展署的PWSA军用星座架构
资料来源:SDA、山西证券研究所
卫星互联网在卫星应用领域中商业模式最为明确,拥有巨大的经济及战略意义,同时建设规模庞大,是未来航天发射市场的主要需求。自从2019年底SpaceX首次发射一代星链卫星V1.0以来,星链发射任务占猎鹰九号总发射任务的一半以上,并且占比逐年提高,2023年更是达到了69.2%。截至2024年12月12日,SpaceX的星链在轨卫星总数为 6865颗。星链已覆盖全球100多个国家,从2020开放服务至今,服务订阅用户加速增长,截止2024年9月,订阅用户达到400万。2023年2月SpaceX总裁表示,StarLink在2022 年实现了季度正现金流,马斯克在2023年11月表示,StarLink已经实现了现金流的收支平衡。另据Quilty Space预测,2025年StarLink 收入有望达到118亿美元。
图7:猎鹰9发射任务中星链发射任务和非星链发射任务次数(2020-2023)
资料来源:Payload、山西证券研究所
图8:Starlink星座不同服务类型的服务能力(包括服务可用性、下载和上传速度、延迟)
资料来源:Starlink官网、山西证券研究所
图9:星链全球订阅者数量
资料来源:wikipedia、山西证券研究所
图10:Starlink年度收入(2022-2025)
资料来源:SpaceNews、PCMag、Quilty Space、山西证券研究所
国内卫星互联网建设提速。2024年8月、10月和12月,长征六号甲于太原卫星发射中心先后三次将千帆星座组网卫星送入预定轨道,千帆星座大规模组网开启,目前千帆星座在轨卫星数量达到54颗。按照千帆星座部署计划,到2025年底预计完成648颗GEN1卫星发射任务,实现区域网络覆盖。目前,垣信卫星已经与30多个国家启动业务洽谈,正积极推动千帆星座在全球范围内的商业应用服务推广,并已经与巴西国有通信企业正式签署合作备忘录,计划于2026年开始在巴西开展业务。国内另一个低轨宽带大型星座项目“星网”也于12月16日发射了首批10颗组网卫星,随着国内两大卫星互联网星座相继启动组网发射,2025年起我国将逐步进入星座常态化、密集型的组网阶段。
大中型可回收复用液体火箭成为确定方向
航天发射领域呈中美两强格局。2024年前三季度,全球发射火箭181次,同比增长13.8%,其中美国发射110次(SpaceX发射94次),中国发射46次,俄罗斯发射11次。发射总质量方面,2024年前三季度美国发射总质量为1347.9吨(SpaceX发射总质量达到1321.7吨),中国发射总质量为116.3吨,俄罗斯发射总质量为37.0吨。
图11:2024前三季度全球火箭发射次数
资料来源:BryceTech、山西证券研究所
图12:2024年前三季度全球航天器发射总质量(kg)
资料来源:BryceTech、山西证券研究所
国内火箭运力缺口较大。目前随着小卫星技术在商业空间领域的发展,通信、导航和遥感领域的星座进入大规模应用阶段,其中作为“新基建”的重点领域,以“千帆星座”和“星网工程”为代表的低轨卫星互联网成为当前及未来航天发射市场的主要需求者。以卫星规模12000颗、单星质量200kg、轨道高度700km、组网周期7年的巨型星座为例,平均每年对火箭运力的需求将达到343t(700km轨道高度),2023年我国发射航天器总质量为151吨,面对未来两个巨型星座的部署需求,运力缺口较大,考虑到占频保轨的紧迫性,提升火箭运力势在必行。目前SpaceX的猎鹰九号火箭的近地轨道运力达到22.8吨,重型猎鹰火箭运力则达到了63.8吨,而我国目前除了长征五号(近地轨道运力为25吨)、长征十二号(近地轨道运力不小于12吨)、长征八号甲以及长征六号甲(近地轨道运力不小于8吨)以外,其余在役型号的运载能力尚显薄弱。
图13:全球主要大中型液体火箭近地轨道运载能力
资料来源:Payload、山西证券研究所
可重复使用是显著降低发射成本的关键。凭借独一无二的火箭回收复用技术与高效运营,SpaceX已经顺利实现了低成本、大中型运力和美国自主可控的航天发射能力。截止12月8日,猎鹰九号一子级累计回收复用次数超过300次,其中1枚一子级已经实现“一箭二十四飞”,随着后期一二级可实现全部回收复用的星舰进入批量化发射,运输成本将进一步大幅下降,SpaceX的成本优势将一进步拉大,对于由上万颗卫星组网形成的巨型星座,发射成本过高会成为制约组网建设速度的巨大障碍。目前SpaceX的猎鹰九号每公斤发射成本约为3000美元,为全世界最低,未来随着星舰的批量化发射,火箭发射成本会进一步下降到每公斤200美元左右,而现阶段国内火箭发射成本在每公斤8万元到12万元,国内可重复使用运载火箭技术亟待突破。
图14:轨道发射成本(每公斤发射成本)不断下降
资料来源:Payload、山西证券研究所
国内面向商业发射服务的大中型可回收复用液体火箭正加速攻关。国内民营运载火箭公司目前已进入到对标猎鹰-9,研发大中型可重复使用液体火箭的攻关阶段,预计2025年至2026年将迎来集中首飞。国有航天单位面向商业航天发射市场的型号也进展迅速,航天八院研制的长征十二号运载火箭已于2024年11月成功首飞,航天一院研制的长征八号甲运载火箭预计2025年1月实现首飞。火箭回收试验方面,蓝箭航天在2024年1月和9月完成朱雀三号可重复使用垂直起降回收验证火箭的百米级和十公里级垂直起降飞行试验,航天八院在2024年6月份完成了国内首次可重复使用运载火箭10公里级垂直起降飞行试验,国内首家专注于塔架式回收的民营火箭公司大航跃迁的“筷子夹火箭”回收方案在2024年12月份通过了预评审。
图15:长征十二号
资料来源:上海航天公众号、山西证券研究所
图16:长征八号甲
资料来源:第十五届珠海航展、山西证券研究所
表2:目前我国满足低轨通信星座商业发射运力需求的火箭参数
资料来源:上海航天公众号、中国航天科技集团公众号、中国运载火箭技术研究院公众号、《长征六号甲运载火箭及其技术特点》、中国载人航天公众号、山西证券研究所
发射工位紧张,太原卫星发射中心优势突出
除了火箭运力不足的制约外,发射工位和窗口稀缺也是目前限制国内商业航天发展的主要因素。今年6月我国海南文昌商业航天发射场二号发射工位竣工,实现双工位发射能力,一号发射工位为长征八号运载火箭的专用工位,二号工位是为多家厂商的十几型火箭设计的液体通用型发射工位,两个工位都按照每年发射16次设计,形成发射能力后将会有很高的发射效率。2024年11月30日,长征十二号从海南商业航天发射场成功发射,宣告了海南商发正式实现商业化运营,国内形成了酒泉、太原、西昌、文昌四大发射场,一个海上发射场,以及一个文昌商业航天发射场的发射格局。
图17:太原卫星发射中心成功发射千帆极轨03组卫星
资料来源:上海航天公众号、山西证券研究所
中国各大发射场各具特色,太原卫星发射中心地处高原山区,大气能见度高,气候干燥,发生强对流天气的时间少且集中,具备了多射向、多轨道、远射程和高精度测量的能力,并且太原卫星发射中心特殊的经纬度最适合发射太阳同步轨道和极轨卫星。千帆星座向ITU申报的首批1296颗卫星分布在36个极轨平面,2024年太原卫星发射中心已先后成功发射三批千帆星座组网卫星。未来伴随由全球变暖带来的沿海台风活动加强,有高山阻隔的太原卫星发射中心有望在近地轨道巨型星座的高频发射组网中持续发挥重要作用。
【全球地缘政治动荡加剧,军贸需求巨大】
全球地缘政治动荡加剧
俄乌战争持续升级。俄乌战争已持续了1000多天,在过去的一年中俄罗斯主要是在乌克兰东部慢慢扩大了其控制的领土面积。2024年8月,为了迫使俄罗斯抽调东部进攻部队回援从而缓解乌克兰防御压力,乌克兰越过边境对俄罗斯的库尔斯克地区发动突然袭击,一度深入俄罗斯境内30公里,在一周内控制了1000多平方公里的俄罗斯领土。10月美国白宫证实朝鲜向俄罗斯派遣了至少3000名士兵,11月乌克兰报告称其军队在俄罗斯库尔斯克地区与朝鲜军队发生了战斗,作为回应美国总统拜登批准了乌克兰使用远程 ATACMS 导弹袭击俄罗斯境内目标,之后乌克兰于11月19日向俄罗斯发射了六枚美国制造的ATACMS导弹。紧随其后,11月21日,俄罗斯向乌克兰城市第聂伯罗发射了一枚安装了非核分导式多弹头的新型高超音速中程弹道导弹“榛树”(可携带核弹头),俄乌战争局势不断升级。
图18:过去的一年中俄乌战场态势变化(2023.12.13-2024.12.12)
资料来源:ISW、山西证券研究所
图19:乌克兰部署的ATACMS导弹可攻击范围
资料来源:BBC、ISW、山西证券研究所
图20:可携带分导式多弹头的“榛树”弹道导弹
资料来源:Reuters、山西证券研究所
中东博弈各方极限拉扯,火药桶时刻处于引爆边缘。2023年10月爆发的巴以冲突的外溢效应不断扩散,以色列陷入与以伊朗为首的“抵抗轴心”的七线作战,以色列不仅猛烈打击哈马斯和黎巴嫩真主党等所谓伊朗“代理人”,还多次与伊朗进行直接军事互攻,2024年伊朗和以色列已两次互攻对方本土,10月伊朗更是对以境内发射了超过180枚弹道导弹。虽然以色列重创了哈马斯和黎巴嫩真主党,但是在加沙开战一年多来,最初设定的三大军事目标(消灭哈马斯、解救人质和确保加沙不再对以色列构成威胁)远未实现,尤其是实现消灭哈马斯这一目标仍有距离。虽然哈马斯的有生力量已被大幅削弱,黎巴嫩真主党一线领导层几乎被全灭,但是冲突结束后,其恢复速度恐怕也会非常快,因为有占领就会有反抗,“抵抗轴心”是一个因为遭遇侵略与压迫而产生的防御性组合,中东的战乱并不会停歇。
图21:基于卫星图的加沙被损毁情况
资料来源:BBC、Damage analysis of Copernicus Sentinel-1 satellite data by Corey Scher of CUNY Graduate Center and Jamon Van Den Hoek of Oregon State University、UN Ocha、OpenStreetMap、European Commission GHSL、Planet Labs PBC、山西证券研究所
图22:由伊朗支持的“抵抗轴心”
资料来源:wikipedia、山西证券研究所
中东乱局产生连锁反应,岁末年终叙利亚风云突变。由于伊朗和黎巴嫩真主党在巴以和黎以冲突中被削弱,俄罗斯又深陷俄乌战场,导致叙利亚反对派有了可乘之机,就在黎以停火协议生效的11月27日反对派武装对阿勒颇突然发难,到12月8日控制大马士革,反对派武装只用了12天时间就推翻了统治叙利亚40多年的阿萨德家族政权。由于叙利亚国内武装派系林立,外部又有周边国家干涉,如果各反对派及其背后的大国不能达成妥协,叙利亚未来可能陷入长期内战,对于战略要地叙利亚的争夺将给复杂的中东乱局火上浇油。
图23:太原市三次产业增加值(亿元,%)
资料来源:BBC、ISW、山西证券研究所
图24:12月8日以来以色列袭击的叙利亚军事目标
资料来源:BBC、IDF、 Syrian Observatory for Human Rights、山西证券研究所
东亚紧张局势加剧。去年,朝鲜放弃了2018年达成的缓和紧张局势的朝韩协议,恢复了该协议下停止的所有军事活动。今年朝鲜新修订的宪法首次将韩国定义为“敌对国家”,朝鲜炸毁了连接朝鲜和韩国的公路和铁路,永久封锁与韩国的边境,并修建前线防御工事,朝韩紧张局势达到近年来的最高点,随时因误判导致边境冲突的概率陡增。10月朝鲜向俄罗斯派遣了一支部队,通过参加俄乌战争,1953年后再未经历过大规模常规战斗的朝鲜军队能够在现代战争条件下获得重要的战斗和军事技术经验,为未来可能的半岛冲突做准备。
图25:朝鲜历年导弹试验统计(1985-2024.11.4)
资料来源:NTI、山西证券研究所
图26:2024年朝鲜试射新型洲际弹道导弹火星-19
资料来源:38north、KCNA、山西证券研究所
军费开支加速增长,军贸需求巨大
全球地缘政治形势持续恶化,军费开支持续增长。随着世界各个地区的矛盾愈发尖锐,武装冲突风险大幅增加,在加沙和俄乌战争、东亚紧张局势加剧、叙利亚反对派推翻阿萨德政权等广泛的地缘政治紧张局势驱动下,全球军费开支将持续增长。2023年全球军费开支连续第九年增长,突破2.4万亿美元大关,同比增长6.8%,创下自2009年以来的最大增幅,同时也是自2009年以来所有五个地理区域(美洲、非洲、亚洲和大洋洲、欧洲和中东)的军费开支首次出现同步增长。
图27:1988-2024年按地区分列的世界军费开支(单位:十亿美元)
资料来源:SIPRI、山西证券研究所
中国军工经过几十年的积淀与投入,中国的武器装备在技术上取得了很明显的进步,已经达到世界一流水平,并且可以为客户提供体系化的成建制的全套产品。面对全球军贸市场的上行周期,中国的国防军工行业在巨大的国内需求之外,又可以向规模庞大的国际军贸市场开拓新的成长空间。军贸市场的打开有利于分摊国内研发成本,同国外装备的同台竞技也有利于提升国内技术迭代升级速度,最终实现军贸反哺于军工。
图28:2019—2023年主要武器出口国与进口国
资料来源:《SIPRI年鉴2024年版》、山西证券研究所
图29:历届珠海航展贸易成交额(1996-2024)
资料来源:中国航展官网、商务部官网、界面新闻、新华社、山西证券研究所
【大飞机规模化发展提速】
中国航空市场将成为全球最大单一航空市场
未来二十年中国航空市场将成长为全球最大单一航空市场,引领未来全球航空市场增长。根据中国商飞的预测,未来二十年全球客机机队规模将以年均3.60%的速度增长,到2043年全球客机机队规模将达到48931架,其中中国客机机队的年均增长速度(4.40%)高于全球增速(3.60%),到2043年中国机队占全球机队的比例将从2023年的17.7%提升到20.6%,中国将成为全球最大单一航空市场,引领未来全球航空市场增长。除了航空旅客周转量提升带来的新增需求外,未来二十年中,现有机队中将有78.9%左右的飞机将退出商业客运服务,被新机替代,这两部分叠加构成了未来二十年所需的新机交付数,共计约43863架,其中约74.3%为单通道喷气客机。未来二十年,中国的航空公司将接收9323架新机,占到全球新机交付的21.3%,市场价值约1.4万亿美元。
表3:全球和中国的客机机队及旅客周转量预测
资料来源:《中国商飞公司市场预测年报(2024-2043)》、Cirium、山西证券研究所
表4:2023-2042全球和中国各类型客机交付量和价值预测
资料来源:《中国商飞公司市场预测年报(2024-2043)》、Cirium、HIS、山西证券研究所
中国商飞最有可能成为干线客机市场双寡头格局的破局者
如今,在100座位以上的干线机领域,全球大飞机产业形成了波音和空客的双寡头垄断格局。两家公司围绕全产品谱系展开竞争,依靠系列化产品占据所有细分市场,拥有绝对优势,但是随着中国商飞的C919以及俄罗斯伊尔库特的MS-21先后进入干线客机市场,新进入者的威胁出现,原本的双寡头格局有望被打破。考虑到俄罗斯国内航空市场较小以及西方国家对俄罗斯的制裁,预计MS-21很难撼动波音和空客的市场地位,而中国商飞的C919受益于国内完善的工业体系以及巨大的航空需求市场,最有可能成为干线客机市场双寡头格局的破局者。
图30:全球民机厂商产品线分布图
资料来源:《民航大飞机制造业进入壁垒及竞争行为分析》、山西证券研究所
近几年波音事故频出麻烦缠身,空客供应链紧张产能不足。美国的波音公司和欧洲的空中客车公司是全球民航市场的双寡头,波音公司历史悠久,已经拥有超过百年的发展历史,但是近些年公司在与空客竞争中,将质量和安全至于盈利之后,匆忙上马新机型,导致问题事故不断。2018年和2019年在不到半年的时间内,波音737MAX8出现两起坠机惨剧,之后在2019至2021年间,波音737飞机在全球多个国家和地区遭遇大规模停飞,2024年以来波音多个型号飞机安全事故频出,波音再度陷入信任危机。反观空客公司,2024年喷气机订单数据再创历史新高,2023年的年度交付量达到735架,同比增长11%,连续第五年超越了竞争对手波音公司,目前空客无论是储备订单还是飞机交付量来看,都明显领先波音,虽然空客产能提升计划仍在继续,但自身仍受到供应链紧张的限制而产能不足。
图31:2001-2023年空客和波音历年订单交付量(2019年起空客订单交付量连续5年超越波音)
资料来源:Sherwood、山西证券研究所
图32:空客和波音订单积压量和交付量(截止2024年7月31日)
资料来源:Voronoi、山西证券研究所
C919在手订单饱满,全力以赴产能爬坡。2023年9月10日中国商飞党委书记、董事长贺东风在2023浦江创新论坛全体大会上表示,C919订单数(包括确认及意向订单)已经达到1061架,订单十分充足。自2022年12月首架交付以来,C919在两年的时间内已交付了16架(2024年交付12架),从交付计划来看,接下来中国商飞需要协力供应商推进大飞机的产业化和规模化发展,大幅度提升产能。2023年1月据商飞公开消息,C919在5年内年产能规划将达到150架。C919大型客机批生产条件能力(一期)建设项目的设计生产能力是50架/年,2024年C919大型客机批生产条件能力(二期)建设项目已经展开,项目建成后将满足C919大型客机未来的产能需求。
表5:C919近期获得的部分订单(2023.9-2024.11)
资料来源:中国商飞官网、《中国南方航空股份有限公司关于购买国产飞机的公告》、《中国国际航空股份有限公司关于购买飞机的公告》、证券时报、第一财经、山西证券研究所
图33:产能建设及下线计划(2024-2028)
资料来源:24年商飞供应商大会、山西证券研究所
图34:C919总装生产线
资料来源:大飞机公众号、山西证券研究所
【推荐箭弹武器产业链、新型航空装备产业链以及无人装备产业链】
新军事变革主要围绕着弹药精确制导化、武器装备无人化、战场体系网络化三个方面进行,在相应的子产业链里我们重点推荐箭弹武器产业链、新型航空装备产业链以及无人装备产业链。在箭弹武器产业链里我们推荐北方导航、航天电器,新型航空装备产业链里我们推荐中航沈飞、中航高科,无人装备产业链里我们推荐内蒙一机。
箭弹武器产业链
导弹、制导火箭弹等精确制导武器是现代战争中的主要火力打击手段,全军实战化训练全面开展使得训练中消耗实弹数量增加,我军诸多新型导弹武器定型时间较近,有巨大的补库存和新增需求。该类装备具备价值量高、消耗快、一次性使用等特点,短期增速和长期持续性俱佳。
北方导航
公司以导航控制、弹药信息化系统、短波电台和卫星通信系统、军用电连接器等领域的整机和核心部件为主要产品。公司主要客户是兵器集团,在军品惯性导航产业链中属于二级配套单位,负责研发和生产精确制导武器的核心分系统控制舱,处于产业链核心环节。子公司中兵通信是目前中国兵器工业集团唯一一家军用通信产品生产企业,在军用超短波地空通信领域处于国内领导地位,在军用卫星通信领域居于国内领先地位。
受益于型号放量,公司业绩有望持续高增长。公司紧跟总体单位研制步伐,大力发展制导火箭武器系统,随着相关型号陆续批量生产以及实战化训练带来的精确制导武器需求的提升,公司业绩有望持续高增长。
风险提示:精确制导武器列装不及预期;生产交付不及预期;技术研发不及预期。
航天电器
连接器是系统或整机电路中负责电气连接或信号传输的关键必备基础元器件,公司主导产品用于航天、航空、电子、兵器、船舶、通信、轨道交通、能源装备等高技术领域配套。随着我军新型导弹武器和航空装备的定型量产加速,以及全军实战化演练频次增加带来的消耗增多,公司作为关键必备基础元器件配套企业将直接受益。
公司聚焦优势专业积极布局新产业,加大科技创新投入,研发的宇航连接器、高速系列连接器、光模块、微波组件等新产品实现批量订货,在商业航天、数据中心、通讯、人工智能等领域得到规模应用,开辟了公司产业发展的新赛道。国防装备需求的稳定增长,以及商业航天、深海业务、新能源、民用通讯、低空经济等新兴产业的快速发展,将为公司带来更多产业配套的机会,公司有望持续受益。
风险提示:下游需求增长不及预期;募投项目进展不及预期。
新型航空装备产业链
新型航空装备是现代战争中最为重要的武器搭载平台,新型航空装备以隐身战斗机、隐身轰炸机、可执行忠诚僚机任务的隐身无人机为主。
中航沈飞
公司是我国重要战斗机的主要研制基地,研制成功我国首款舰载隐身战斗机。公司是中国歼击机的摇篮,负责研制了我国多款主力战机,随着公司新型歼-35 舰载隐身战斗机的研制成功,我国成为全球第二个能自研自产隐身舰载机的国家。
公司三代半战斗机歼-16系列是我国空军主力机型,新型舰载隐身战斗机歼-35 需求巨大,歼-15 作为具备多用途能力的三代机仍将长期作为舰载机主力,具备持续增量需求,公司将持续受益于下游的高景气度。
风险提示:全军新型航空装备列装进度不及预期;订单交付节奏不及预期;技术创新风险。
中航高科
碳纤维复合材料经过多年发展已经从最初的非承力构件发展到应用于次承力和主承力构件,应用比例不断提升,公司聚焦碳纤维预浸料产品,处于碳纤维产业链核心枢纽环节。公司承担了多型航空新装备所需预浸料产品的研制、生产和供应,具有垄断优势。
航空装备和复合材料技术迎来跨代发展机遇,随着新型航空装备和导弹的大规模列装,以及国产大飞机C919商业载客运营,军民航空航天装备需求上升叠加复合材料应用比例不断提高,公司作为主要的预浸料供应商,有望持续受益于航空新材料行业的高景气度。
风险提示:新装备列装不及预期;C919投产不及预期;产品交付不及预期。
光启技术
公司是我国新一代尖端装备的核心供应商。超材料是一种由人工微结构组成的特种复合材料或结构,在电学、磁学和光学等方面具备常规材料所不具备的超常物理性质。公司是我国新一代尖端装备的核心供应商,也是国内唯一一家将超材料技术形成产品并大规模应用于尖端装备领域的公司,相关产品已在我国多型军用飞机、海军装备、导弹、反隐身雷达系统等核心高端装备上逐步得到应用。
超材料产品在核心尖端装备中的渗透率逐步提升,叠加装备换代升级的提速,市场需求不断增加。公司利用超材料技术对已立项的装备逐步实现升级替换,并深度参与新型装备的研制,在新立项的装备中超材料结构件产品应用范围将进一步扩大,大幅提升装备性能。现有装备需求量的不断提升及新型装备研制转批产的提速,有望驱动公司业绩持续增长。
风险提示:超材料结构件应用拓展不及预期;研制进度不及预期;产能不足影响生产交付。
无人装备产业链
以俄乌冲突为代表的近几场局部战争中,无人装备在战场上的作用不断扩大,无人作战平台的使用场合、频次、方式和效果日益丰富和显著,无人作战力量正加速战争形态演变。
内蒙一机
公司是我国唯一的集主战坦克、轮式步兵战车、中口径火炮于一体的特种地面装备研制生产整机企业。公司主要研制生产履带、轮式、火炮等系列产品,其中履带装备涵盖各型主战坦克,轮式装备涵盖全系列轮式战车,火炮装备包括中口径自行突击炮、自行榴弹炮等新型火炮,是我军地面装备的先锋,同时军贸实现跨越式发展,VT4坦克等成为国际市场的“宠儿”。
打造新质无人作战体系,提升作战效能。公司通过参股战术无人机企业,持续深化公司地面装备与无人智能化对接应用,推进空地协同作战体系的研究,加快了公司由传统机械制造向信息化、无人化、智能化方向转型,未来可为公司地面装备产品带来相应的增长空间。
风险提示:外贸交付不及预期;内需订单不及预期。
表6:重点覆盖公司盈利预测及估值
资料来源:Wind,山西证券研究所
【风险提示】
(1)国内军事装备列装不及预期。国内军事装备列装主要为满足我国国防战略的需求,受国家国防政策及军事装备采购投入的影响较大,如果未来国家战略部署发生变化,会影响国内军事装备列装的规模和进度。
(2)海外订单不及预期。海外订单受国际安全局势、贸易国家双边关系、政局稳定性以及政策变化及市场竞争等诸多因素影响,存在较大波动性,如果国际政治格局发生不利变化,海外订单可能会不及预期。
(3)火箭研制进度不及预期。火箭研制具有高技术、高投入和高风险特征,研发难度大,研发周期较长,试验费用较大,质量要求苛刻,火箭研发存在达不到预定任务目标、预期性能指标以及研制费用超支、研制周期拖延等风险。
(4)星座建设进度不及预期。星座建设受到火箭运力、技术突破、宏观环境、频轨资源
等多种因素影响,建设计划存在取消、延迟等可能性,从而导致星座建设进度不及预期。
(5)大飞机生产及交付不及预期。大飞机是全球供应链合作的产物,全球供应链的不稳定性会直接影响到大飞机的生产及交付。如果大飞机生产供应链持续紧张,大飞机生产及交付可能不及预期。
研报分析师:骆志伟
执业登记编码:S0760522050002
研报分析师:李通
执业登记编码:S0760521110001
报告发布日期:2025年1月8日
本人已在中国证券业协会登记为证券分析师,本人承诺,以勤勉的职业态度,独立、客观地出具本报告。本人对证券研究报告的内容和观点负责,保证信息来源合法合规,研究方法专业审慎,分析结论具有合理依据。本报告清晰准确地反映本人的研究观点。本人不曾因,不因,也将不会因本报告中的具体推荐意见或观点直接或间接受到任何形式的补偿。本人承诺不利用自己的身份、地位或执业过程中所掌握的信息为自己或他人谋取私利。
【免责声明】
本订阅号不是山西证券研究所证券研究报告的发布平台,所载内容均来自于山西证券研究所已正式发布的证券研究报告,订阅者若使用本订阅号所载资料,有可能会因缺乏对完整报告的了解而对其中关键假设、评级、目标价等内容产生理解上的歧义。提请订阅者参阅山西证券研究所已发布的完整证券研究报告,仔细阅读其所附各项声明、信息披露事项及风险提示,关注相关的分析、预测能够成立的关键假设条件,关注投资评级和证券目标价格的预测时间周期,并准确理解投资评级的含义。
依据《发布证券研究报告执业规范》规定特此声明,禁止我司员工将我司证券研究报告私自提供给未经我司授权的任何公众媒体或者其他机构;禁止任何公众媒体或者其他机构未经授权私自刊载或者转发我司的证券研究报告。刊载或者转发我司证券研究报告的授权必须通过签署协议约定,且明确由被授权机构承担相关刊载或者转发责任。