新浪财经

中信建投:大类资产配置方法在中国市场实践

中信建投证券

关注

重要提示:通过本订阅号发布的观点和信息仅供中信建投证券股份有限公司(下称“中信建投”)客户中符合《证券期货投资者适当性管理办法》规定的机构类专业投资者参考。因本订阅号暂时无法设置访问限制,若您并非中信建投客户中的机构类专业投资者,为控制投资风险,请您请取消关注,请勿订阅、接收或使用本订阅号中的任何信息。对由此给您造成的不便表示诚挚歉意,感谢您的理解与配合!

|陈果 王程畅

本文首先介绍了马科维茨均值方差模型的投资者偏好和有效前沿理论,分析了不同投资范围约束下的有效前沿和最大效用组合,也就是投资者体验最好的组合。然后对包括A股行业轮动策略、港股、美股、黄金等的底层资产做资产配置,对于风险偏好较低的投资者可以采用风险平价策略,2019年至2024年期间年化收益率4.63%、年化波动率1.43%、夏普比率3.14、最大回撤2.16%。对于风险偏好较高的投资者可以采用最大多元化策略,年化收益率11.89%,仅次于行业轮动策略和美股,而年化波动率仅5.86%、最大回撤仅8.62%,风险低于股票和商品类资产,夏普比率1.93。总体而言,对全球资产做配置可以获得较好的投资体验,对于A股则需要采取较为积极的主动投资,努力获取超额收益。

保险等受监管限制的机构资金主要投资国内的股票和债券:2004年1月4号至2024年12月31号之间,中债新综合财富(总值)指数年化收益率4.10%、波动率1.44%,具有较好的风险收益特征;万得全A指数年化收益率8.67%、波动率26.36%;万得偏股混合型基金指数年化收益率11.42%、波动率21.11%,说明在过去二十年里,中国的基金管理人创造了年化2.75%超额收益并降低了5.25%的风险。“54.9%万得偏股混合型基金+45.1%中债新综合财富(总值)指数”将获得最大效用(U=0.0217),这个比例接近经典的股债60/40经验配置法则。

加入行业轮动策略:2017年1月4号至2024年12月31号期间,“行业轮动相对收益@基本面+量价”策略年化收益率17.90%、年化波动率20.55%,同期万得全A年化收益率1.88%、年化波动率19.65%,万得偏股混合型基金指数年化收益率5.35%、年化波动率4.62%。满仓“行业轮动相对收益@基本面+量价”将获得最大效用(U=0.1157)。所以,对于A股应该采取较为积极的主动投资,努力获取超额收益,在无法改变A股风险特征的情况下,给投资者带来较好的投资体验。

采取行业轮动并加入港股、美股、黄金等资产:当前ETF和LOF产品较为丰富,覆盖了国内宽基指数、行业和主题指数、海外股票指数、大宗商品和债券等。这些资产的收益率相关性都比较低,纳入投资组合后可以较好的分散风险。2019年至2024年期间,风险平价组合年化收益率4.63%、年化波动率1.43%、夏普比率3.14、最大回撤2.16%。最大多元化组合年化收益率11.89%,仅次于行业轮动组合和美股,而年化波动率仅5.86%、最大回撤仅8.62%,风险低于股票和商品类资产,夏普比率1.93。最大多元化策略持有“行业轮动相对收益@基本面+量价”策略的平均权重为9.57%,持有海外股票的平均权重为26.84%,持有大宗商品的平均权重为26.13%,持有债券的平均权重为37.47%。最大多元化策略在股票上的仓位较为稳定,在大宗商品和债券上的权重变化较大。

1

引言

随着无风险利率下行,通过单一资产难以获得低波动、中高收益的投资回报。QDII和另类ETF基金的丰富,使得我们拥有简便的投资工具在全球范围内寻找投资标的;由于这些资产具有不同的风险收益特征和低相关性,我们可以通过科学的方法将其组合投资,在不同的经济周期状态和多变的市场环境中保持组合的稳定性和抗风险能力,所以资产配置尤为重要。

本文作为大类资产配置系列报告第一篇,首先根据均值方差理论对国内外资产的风险收益特征进行分析,然后展示了基于风险平价、最小方差、最大多样化和等权重配置方法的组合业绩历史回测,最终形成一个基于ETF的大类资产配置策略模型组合,定期调仓。

2

投资者偏好和资产有效前沿

马科维茨均值方差模型最早提出将数理统计的方法应用到投资组合选择上,并将资产的期望收益率的波动率定义为风险,在该定义下,我们使用收益率的均值E(r)和标准差。σ(r)来刻画“收益”和“风险”。

投资者偏好

通常,我们认为人们是“风险厌恶”的,并构造如下形式的效用函数来代表投资者的投资偏好:

其中E_((r))表示投资组合的预期收益率,σ(r)^2表示投资组合的方差;预期收益率越高、效用值越高,收益率方差越大、效用值越小。这表明投资者喜欢更高的收益E(r),而不喜欢较高的风险σ(r)^2。由于不同的投资者对于风险和收益有不同的偏好,因此在效用函数中加入风险恶系数参数A来表示投资者的不同偏好,A越大,则表示投资者为了追求更高的收益愿承担更小的风险,或者说该投资者需要更高的收益来补偿面临的风险。

U同时是E和σ的函数,所以在σ-E图上,对于确定的A ,不同的U表现为一组不相交的抛物线,这就是效用的无差异曲线,越往左上方的无差异曲线代表越高的效用,因此投资者总是偏好于位于左上方的无差异曲线上面的投资组合。

资产有效前沿

假设有两种资产E_(1)和E_(2),其预期收益率和方差分别为r_1、σ_1^2和r_2、σ_2^2,收益率相关系数为ρ。另有,r_1

很容易证明,当且仅当ρ=1时资产组合标准差与预期收益呈线性关系。由于ρ的取值范围为-1∼1,因此在通常情况下σ^2=w_1^2 σ_1^2+〖(1-w_1)〗^2 σ_2^2+2w_1 (1-w_1 )ρσ_1 σ_2<〖〖(w〗_1 σ_1+(1-w_1)σ_2)〗^2  即组合标准差小于两种资产标准差的加权平均,收益-标准差点在两种资产收益-标准差点连线的左侧。

资产1的预期年化收益率5%、年化波动率5%,资产2的预期年化收益率10%、年化波动率25%,两种资产的相关性取了[-1, -0.5, 0, 0.5, 1];可以发现,两种资产的相关性越低,组合越能在相同风险下获得更高的预期收益。在负相关的情况下,把波动率更大的资产2引入组合时,组合波动率甚至比只投资于波动率较小的资产1时更小,当经过最小方差临界点时组合波动率才会慢慢增大。这也体现了资产配置的重要性:通过分散投资,组合以更小的风险获得更高的收益。

3

可投资产风险收益特征和最大效用组合

对于不同投资者而言,其可以投资的资产种类是不同的,保险资金主要投资国内的股票和债券,银行理财可以投资境内的股票、债券和商品等,私募基金和自然人可以通过ETF投资境内外资产。

中国境内股债

万得全A由京沪深三地交易所全部A股组成,指数以万得自由流通市值加权计算,综合反映了A股上市股票价格的整体表现,具有较高的市场代表性,可作为投资标的和业绩评价基准。

万得公募基金指数体系是从不同的角度将基金进行归类,并根据不同的计算方法得到一系列的基金指数,主要分为:投资类型、基金类型、市值、基金风格等不同的指数类别。万得偏股混合型基金指数反映了等权买入国内偏股混合型基金的收益。

中债-新综合指数隶属于中债总指数族分类,该指数成份券包含除资产支持证券、美元债券、可转债以外剩余的所有公开发行的可流通债券,是一个反映境内人民币债券市场价格走势情况的宽基指数,是中债指数应用最广泛指数之一。

2004年1月4号至2024年12月31号之间,中债新综合财富(总值)指数年化收益率4.10%、波动率1.44%,具有较好的风险收益特征;万得全A指数年化收益率8.67%、波动率26.36%;万得偏股混合型基金指数年化收益率11.42%、波动率21.11%,说明在过去二十年里,中国的基金管理人创造了年化2.75%超额收益并降低了5.25%的风险。

假设效用函数U(r)=E(r)-1/2 Aσ(r)^2,对于一个风险偏好A=3的投资者而言,“54.9%万得偏股混合型基金+45.1%中债新综合财富(总值)指数”将获得最大效用(U=0.0217),这个比例接近经典的股债60/40经验配置法则,组合年化收益率8.11%、波动率11.58%,其效用高于纯粹只投资中债新综合财富(总值)指数或万得全A指数,特别的,投资万得全A的效用(U=-0.0176)是负的,买股票不如买基金。

加入行业轮动策略

我们从2019年Q3开始做单行业基本面量化和行业轮动策略,最终于2022年9月构建“行业轮动相对收益@基本面+量价”模拟组合并在wind-PMS持续跟踪,行业轮动相对收益策略致力于寻找景气较高的行业并规避交易过热的风险,2022年9月1号至2025年1月2号期间绝对收益20.63%,相对万得全A超额收益21.62%。将行业轮动策略纳入大类资产配置组合待选池;为了获取较长时间维度的特征,考虑样本内数据。

2017年1月4号至2024年12月31号期间,“行业轮动相对收益@基本面+量价”策略年化收益率17.90%、年化波动率20.55%,同期万得全A年化收益率1.88%、年化波动率19.65%,万得偏股混合型基金指数年化收益率5.35%、年化波动率4.62%,中债-新综合财富(总值)指数年化收益率4.62%、年化波动率1.03%。

假设效用函数U(r)=E(r)-1/2 Aσ^2 (r),对于一个风险偏好A=3的投资者而言,满仓“行业轮动相对收益@基本面+量价”将获得最大效用(U=0.1157),远大于投资中债新综合财富(U=0.0461)、万得偏股混合型基金(U=0.0030)和被动的投资万得全A指数(U=-0.0391)。

所以,对于A股应该采取较为积极的主动投资,努力获取超额收益,在无法改变A股风险特征的情况下,通过稳定的超额收益给投资者带来较好的投资体验。

加入港股、美股、黄金等资产

当前境内的ETF和LOF产品较为丰富,覆盖了国内宽基指数、行业和主题指数、海外股票指数、大宗商品和债券等;我们梳理了部分资产的ETF和LOF基金,仅供参考,不构成投资建议。

本文对于A股选取沪深300、中证500和中证红利,港股选取恒生指数、恒生科技和港股通高股息(CNY),海外股票选取日经225、富时沙特阿拉伯(里亚尔)、标普500和纳斯达克指数,商品选取SGE黄金9999、大商所豆粕期货价格指数和上期有色金属指数,债券选取中债-0-3年国开行债券财富(总值)指数、中债-1-5年国开行债券全价(总值)指数、中债-7-10年政策性金融债全价(总值)指数、中债-30年期国债财富(总值)指数和中债-新综合财富(总值)指数',这些指数都有相应的ETF或LOF基金可以投资,方便策略的最终落地。

2015年1月1日至2024年12月31日期间,沪深300年化收益率1.12%、年化波动率22.11%,中证500年化收益率0.76%、年化波动率25.72%,中证红利年化收益率5.12%、年化波动率21.52%,恒生指数年化收益率-4.95%、年化波动率21.01%,恒生科技年化收益率-1.72%、年化波动率34.44%,港股通高股息年化收益率1.14%、年化波动率21.80%;整体来看中国股票股票里高分红的表现较优。日经225年化收益率8.62%、年化波动率19.93%,富时沙特阿拉伯年化收益率6.90%、年化波动率17.56%,标普500年化收益率9.76%、年化波动率17.45%,纳斯达克年化收益率13.10%、年化波动率20.86%。值得一提的是,A股、港股、沙特阿拉伯、日经225和纳斯达克之间的收益率相关性都比较低在0.5以下,纳入投资组合后可以较好的分散风险。

2015年1月1日至2024年12月31日期间,黄金年化收益率10.23%、年化波动率12.46%,豆粕年化收益率8.15%、年化波动率19.05%,有色金属年化收益率4.97%、年化波动率16.45%,中债0-3年国开债年化收益率3.4%、年化波动率0.57%,中债1-5年国开债年化收益率0.14%、年化波动率1.15%,中债7-10年债年化收益率1.75%、年化波动率2.53%,中债30年期国债年化收益率7.56%、年化波动率5.40%,中债新综合财富指数年化收益率4.64%、年化波动率1.10%。大宗商品和债券呈现0相关或略微负相关,不同期限债券之间的相关性也不高,纳入投资组合可以较好的分散。

接下来,采用全球股票、大宗商品和债券构造有效前沿曲线。

假设效用函数U(r)=E(r)-1/2 Aσ(r)^2 ,对于一个风险偏好A=3的投资者而言,“54.1%黄金+40.7%纳斯达克+2.9%日经225+2.3%豆粕”将获得最大效用(U=0.0950),可以发现最大效用组合主要投资黄金和纳斯达克,这也和老百姓热衷买黄金、专业投资者热衷买美股的现象一致。

小结

本章分析了可投资产的有效前沿,假设效用函数U(r)=E(r)-1/2 Aσ(r)^2,对于一个风险偏好A=3的投资者而言选取有效前沿上效用最大的组合,也就是投资者体验最好的组合。

保险等受监管限制的机构资金主要投资国内的股票和债券,2004年1月4号至2024年12月31号之间,中债新综合财富(总值)指数年化收益率4.10%、波动率1.44%,具有较好的风险收益特征;万得全A指数年化收益率8.67%、波动率26.36%;万得偏股混合型基金指数年化收益率11.42%、波动率21.11%,说明在过去二十年里,中国的基金管理人创造了年化2.75%超额收益并降低了5.25%的风险。“54.9%万得偏股混合型基金+45.1%中债新综合财富(总值)指数”将获得最大效用(U=0.0217),这个比例接近经典的股债60/40经验配置法则,组合年化收益率8.11%、波动率11.58%,其效用高于纯粹只投资中债新综合财富(总值)指数或万得全A指数,特别的,投资万得全A的效用(U=-0.0176)是负的,买股票不如买基金。

我们从2019年Q3开始做单行业基本面量化和行业轮动策略,最终于2022年9月构建“行业轮动相对收益@基本面+量价”模拟组合并在wind-PMS持续跟踪。2017年1月4号至2024年12月31号期间,“行业轮动相对收益@基本面+量价”策略年化收益率17.90%、年化波动率20.55%,同期万得全A年化收益率1.88%、年化波动率19.65%,万得偏股混合型基金指数年化收益率5.35%、年化波动率4.62%,中债-新综合财富(总值)指数年化收益率4.62%、年化波动率1.03%。对于一个风险偏好A=3的投资者而言,满仓“行业轮动相对收益@基本面+量价”将获得最大效用(U=0.1157),远大于投资中债新综合财富(U=0.0461)、万得偏股混合型基金(U=0.0030)和被动的投资万得全A指数(U=-0.0391)。所以,对于A股应该采取较为积极的主动投资,努力获取超额收益,在无法改变A股风险特征的情况下,给投资者带来较好的投资体验。

当前境内的ETF和LOF产品较为丰富,覆盖了国内宽基指数、行业和主题指数、海外股票指数、大宗商品和债券等。本文选取A股、港股、海外股票、商品和债券指数,这些指数都有相应的ETF或LOF基金可以投资,方便策略的最终落地。2015年1月1日至2024年12月31日期间,沪深300年化收益率1.12%、年化波动率22.11%,恒生指数年化收益率-4.95%、年化波动率21.01%。日经225年化收益率8.62%、年化波动率19.93%,富时沙特阿拉伯年化收益率6.90%、年化波动率17.56%,纳斯达克年化收益率13.10%、年化波动率20.86%。A股、港股、沙特阿拉伯、日经225和纳斯达克之间的收益率相关性都比较低在0.5以下,纳入投资组合后可以较好的分散。黄金年化收益率10.23%、年化波动率12.46%,豆粕年化收益率8.15%、年化波动率19.05%,有色金属年化收益率4.97%、年化波动率16.45%,中债新综合财富指数年化收益率4.64%、年化波动率1.10%。大宗商品和债券呈现0相关或略微负相关,不同期限债券之间的相关性也不高,纳入投资组合可以较好的分散。对于一个风险偏好A=3的投资者而言,“54.1%黄金+40.7%纳斯达克+2.9%日经225+2.3%豆粕”将获得最大效用(U=0.0950),可以发现最大效用组合主要投资黄金和纳斯达克,这也跟老百姓热衷买黄金、专业投资者热衷买美股的现象一致。全球配置的效用(U=0.0950)接近满仓“行业轮动相对收益@基本面+量价”的效用(U=0.1157)。

总体而言,对全球资产做配置可以获得较好的投资体验,对于A股则需要采取较为积极的主动投资,努力获取超额收益。

4

大类资产配置模型理论

大类资产配置模型理论的发展经历了从简单的资产配置到复杂的因子配置的演变,每个阶段都有其代表性的模型和理论突破,推动了资产配置实践的不断深化。

大类资产配置模型的发展历程

最早期是恒定混合模型,即保持投资组合中不同资产的比例固定不变,比如等权和股债60/40经验法则。优点主要是结构简单,缺点是对市场复杂性的过度简化,在部分情况下并非最优策略。由于该模型简单易行, 长期效果较好,至今仍被部分机构(主权基金、养老金等)采用。

基于资产预期收益来最小化风险的模型(均值方差模型/B-L模型):Markowitz 在 1952 年提出的均值-方差模型是最早的资产配置模型,它通过优化投资组合的预期收益和风险来进行资产配置。开创了现代资产组合理论,创建了“有效前沿”,提出了“约束+最优解”的标准范式。该模型通过均值和方差来刻画资产的收益与风险,并指出最优的投资组合并非单纯追求最高收益或最小风险,而是在两者之间找到平衡。均值方差模型的输入值包括收益、风险和反映投资者风险偏好的参数。但在实践中遇到了较大的问题,模型结果对输入参数收益和风险预期非常敏感,而收益预期又难以准确估计,使得模型很不稳定。针对均值-方差模型遇到的问题,1990 年高盛的Fischer Black和Robert Litterman提出了Black-Litterman模型。BL模型部分地解决了均值-方差模型对于输入参数敏感的问题,并且采用贝叶斯理论,将主观观点与量化配置模型有机结合。但BL模型在实际应用中仍较为困难,主要因为模型效果非常依赖主观判断,而主观判断不可避免的会出现错误。此外,模型输入参数较多,也增加了实际使用的难度。

风险平价和风险预算模型:PanAgora基金的首席投资官Edward Qian博士提出了著名的风险平价(Risk Parity)策略,被Bridgewater(桥水联合基金)运用于实际投资中。2005年,Qian首次正式提出了“风险平价”的概念,强调通过使各类资产对投资组合整体风险的贡献相等,来实现更好的风险分散。风险平价模型的优势在于仅依赖协方差矩阵作为输入参数,不依赖难以准确预测的资产预期收益率,因此配置结果更加稳定。这一模型在实际应用中仍存在一些不足,由于权益与商品资产的波动率远高于债券资产,风险平价模型一般会大量配置债券资产。2008年金融危机后,研究者发现传统资产配置方法在极端市场环境下无法有效分散风险,因此发展出了风险预算模型。风险预算模型允许投资者根据风险偏好、对资产的主观判断等因素设定各资产的风险贡献占比,从而能够更灵活地满足不同投资者的资产配置需求。理论上在合适的风险预算下,模型的配置结果能够达到夏普最优。此外,风险预算模型可以通过给权益资产分配更多风险预算的方式来提高权益资产比例,从而将投资组合整体收益提升至更合意的水平。该模型的主要风险在于,投资结果依赖于对资产收益的判断。

因子配置模型:因子投资的思想起源于经典的CAPM模型,并在随后由Rosenberg(1975)、Ross(1976)、Fama(1992)等学者进一步发展。2008年金融危机后,研究者开始探索资产价格背后的共同风险因子,希望通过因子层面的配置实现真正的风险分散。贝莱德的Bass(2017)指出,约90%的大型机构投资者在其投资过程中使用了因子分析,以提高风险分散度、提升收益风险比并降低成本。Greenberg等人(2016)提出了一种将因子投资方法扩展到资产配置领域的框架,构建了包含权益、通胀、实际利率、商品、信用及新兴市场等6个宏观因子的模型。Blyth等人(2016)则提出了一个四步走的基于因子的大类资产配置框架,包括因子选择、资产因子暴露、确定目标因子暴露及投资组合构建。因子模型确实可以看作是风险模型的进一步深化,它将资产风险分解为因子风险。优点是因子风险具有更好的解释性,投资者可以清晰地了解因子对投资组合的影响,例如:当股票市场上涨时,往往会解释为宏观经济复苏,这就是从资产价格到宏观因子的解释过程。缺点是模型本身复杂度高,投资者使用的难度较大。因为因子是一个抽象概念,要进行因子配置,投资者需要通过特定方法来构建跟踪因子表现的资产组合。此外,构建的资产组合和因子的映射关系通常会随着时间而变化,这就导致因子配置面临着额外的不确定性因素。

大类资产配置模型理论

本文作为大类资产配置系列报告的第一篇,先尝试较为简单的等权重、最小方差、最大多样化和风险平价模型。本节记号如下:资产权重向量w,资产预期收益向量μ,波动向量σ,和协方差矩阵Σ,对角阵I,全1向量1,组合波动〖 σ〗_(p ),风险厌恶系数λ。

1)等权是最简明的配置方法,即:

每个资产的权重都一样,其中N为资产个数。

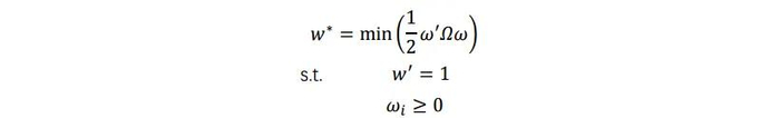
2)  最小方差:用于保证组合整体风险最小,Ω为各资产的协方差矩阵,ω为各资产的权重列向量。

3)最大多元化:首先假设组合投资没有风险的功能,那么组合波动率就可以像收益率一样加权求得,但在实际情况下组合投资可以降低组合风险,那么最大多元化(也就是最大分散度)可以被定义为加权波动率与真实波动率的比值。Ω为各资产的协方差矩阵,ω为各资产的权重列向量,σ为各资产的标准差列向量。

4)风险平价:用于保证每个资产对组合整体风险的贡献都一样,Ω为各资产的协方差矩阵,ω为各资产权重列向量。

关于风险平价,可以两种资产E_1和E_2 为例来展示:如果同时投资于这两种资产,权重分别为w_1、w_2则组合风险可表示为:

用资产E_1的权重w_1增长带来的组合风险边际增长定义资产E_1的边际风险贡献,可表示为:

则资产E_1对组合的总风险贡献为:

组合P总风险可表示为各项资产总风险贡献之和:

传统资产配置模型的传统大类资产配置方法更多地关注投资组合的总体风险,优化的目标是使组合整体的风险最小,而不关心各个标的对整体风险的贡献。这导致组合整体风险对某个资产暴露极高的风险敞口,从而使得组合的业绩与该资产表现极其相关,并没有起到很好的分散效果。例如,传统资产配置往往采取60/40策略,即60%投资于股票,40%投资于债券,假设股票风险为45%,债券风险为1.62%,两者协方差为0.021%,则组合风险为2.95%,可计算得到股票对组合的风险贡献为89.34%,股票风险贡献权重接近90%,在组合中股票风险占显著主导地位,组合风险并没有得到有效分散。

5

大类资产配置模型应用

本章尝试将等权重、最小方差、最大多样化和风险平价这四种大类资产配置模型应用到的可投资资产。考虑到不同投资者的可投资范围不同,我们将分别来展示。在计算夏普比率时,假设无风险利率为0。

中国境内股债

2006年至2024年期间,万得全A的年化收益率8.16%、年化波动率26.49%、夏普比率0.43、最大回撤69.62%,万得偏股混合型基金年化收益率9.13%、年化波动率21.53%、夏普比率0.51、最大回撤55.82%,中债新综合财富(总值)指数年化收益率3.97%、年化波动率1.13%、夏普比率3.42,最大回撤3.75%。

最小方差组合年化收益率4.34%、年化波动率1.14%、夏普比率3.69、最大回撤3.61%,风险平价组合年化收益率5.52%、年化波动率2.17%、夏普比率2.47、最大回撤5.02%,最大多元化组合年化收益率3.51%、年化波动率17.29%、夏普比率0.29、最大回撤65.11%,等权重组合年化收益率10.07%、年化波动率15.94%、夏普比率0.68、最大回撤46.70%。

风险平价模型以配置中债-总财富(总值)指数为主,平均仓位92.64%,万得全A的平均仓位3.33%,万得偏股混合型基金指数的平均仓位4.03%。

风险平价模型在各类资产上的权重配置变化较小,模型不需要太高频的调仓。

加入行业轮动策略

2019年至2024年期间,万得全A的年化收益率3.66%、年化波动率19.86%、夏普比率0.28、最大回撤39.50%,万得偏股混合型基金年化收益率5.94%、年化波动率18.58%、夏普比率0.40、最大回撤47.56%,行业轮动策略年化收益率23.59%、年化波动率20.79%、夏普比率1.12、最大回撤24.59%,中债新综合财富(总值)指数年化收益率4.51%、年化波动率1.01%、夏普比率4.34,最大回撤2.55%。

最小方差组合年化收益率4.88%、年化波动率1.00%、夏普比率4.75、最大回撤1.93%,风险平价组合年化收益率5.61%、年化波动率1.62%、夏普比率3.36、最大回撤1.63%,最大多元化组合年化收益率8.03%、年化波动率4.42%、夏普比率1.75、最大回撤5.54%,等权重组合年化收益率12.46%、年化波动率14.54%、夏普比率0.87、最大回撤21.41%。

风险平价模型的收益比万得全A和中债新综合财富(总值)指数都更高,最大回撤则更低。说明,加入具有超额收益的标的后,组合的风险收益特征得到了很好的改善。

风险平价模型仍然以配置中债-总财富(总值)指数为主,平均仓位92.46%,万得全A的平均仓位2.46%,万得偏股混合型基金指数的平均仓位2.63%,“行业轮动相对收益@基本面+量价”的平均仓位2.45%。

所以,加入行业轮动组合后,债券部分的权重没有大的变化,风险平价模型把原先买万得全A和万得偏股混合型基金的仓位,拿出一部分买了“行业轮动相对收益@基本面+量价”,使得股票总体的风险贡献不变。风险平价模型在各类资产上的权重配置变化较小,模型不需要太高频的调仓。

加入港股、美股、黄金等资产

2017年至2024年期间,沪深300的年化收益率-0.61%、年化波动率18.57%、夏普比率0.06、最大回撤47.20%,恒生指数年化收益率-5.80%、年化波动率21.42%、夏普比率-0.17、最大回撤59.77%,标普500年化收益率11.56%、年化波动率18.17%、夏普比率0.69、最大回撤33.92%,黄金年化收益率12.07%、年化波动率11.85%、夏普比率1.01、最大回撤20%,中债新综合财富(总值)指数年化收益率4.47%、年化波动率1.02%、夏普比率6.18,最大回撤2.55%。

最小方差组合年化收益率3.47%、年化波动率0.55%、夏普比率6.18、最大回撤1.33%,风险平价组合年化收益率3.90%、年化波动率1.60%、夏普比率2.37、最大回撤2.32%,最大多元化组合年化收益率6.86%、年化波动率6.06%、夏普比率1.12、最大回撤8.65%,等权重组合年化收益率5.71%、年化波动率8.15%、夏普比率0.72、最大回撤13.95%。

风险平价模型在中国股票普遍表现不佳的情况下,获得了3.90%的绝对收益,较最小方差组合更高,最大回撤2.32%;虽然收益不如满仓中债-新综合财富(总值)指数,但最大回撤更小。

风险平价模型最终配置中国股票权重为4.68%、海外股票权重为5.30%、商品权重为6.09%、债券权重为83.94%,持仓依然以债券为主。

风险平价模型在各类资产上的权重配置变化较小,模型不需要太高频的调仓。

采取行业轮动并加入港股、美股、黄金等资产

2019年至2024年期间,“行业轮动相对收益@基本面+量价”的年化收益率23.59%、年化波动率20.79%、夏普比率1.12、最大回撤24.59%,日经225指数年化收益率12.97%、年化波动率19.84%、夏普比率0.71、最大回撤30.66%,标普500年化收益率12.26%、年化波动率19.56%、夏普比率0.69、最大回撤33.92%,黄金年化收益率15.18%、年化波动率13.07%、夏普比率1.14、最大回撤20.00%,中债新综合财富(总值)指数年化收益率4.51%、年化波动率1.01%、夏普比率4.34,最大回撤2.55%。

最小方差组合年化收益率3.14%、年化波动率0.54%、夏普比率5.66、最大回撤1.31%,风险平价组合年化收益率4.63%、年化波动率1.43%、夏普比率3.14、最大回撤2.16%,最大多元化组合年化收益率11.89%、年化波动率5.86%、夏普比率1.93、最大回撤8.62%,等权重组合年化收益率10.43%、年化波动率5.82%、夏普比率1.72、最大回撤10.76%。

风险平价模型在加入行业轮动和海外资产后,获得了4.63%的绝对收益,比最小方差组合和满仓中债-新综合财富指数都高,最大回撤2.16%,比满仓中债-新综合财富指数更低。

风险平价模型最终配置“行业轮动相对收益@基本面+量价”的权重为1.50%、海外股票权重为5.62%、商品权重为6.42%、债券权重为86.46%,持仓依然以债券为主。

风险平价模型在各类资产上的权重配置变化较小,模型不需要太高频的调仓。

对于风险偏好较高的投资者,也可以考虑最大多元化策略,该策略实现了11.89%的年化收益率,仅次于行业轮动组合和美股,而年化波动率仅5.86%、最大回撤仅8.62%,风险低于股票和商品类资产。

最大多元化策略在股票上的仓位较为稳定,在大宗商品和债券上的权重变化较大。持有“行业轮动相对收益@基本面+量价”策略的平均权重为9.57%,持有海外股票的平均权重为26.84%,持有大宗商品的平均权重为26.13%,持有债券的平均权重为37.47%。

小结

本章尝试将等权重、最小方差、最大多样化和风险平价这四种大类资产配置模型应用到的可投资资产。考虑到不同投资者的可投资范围不同,我们将分别来展示。

中国境内股债:2006年至2024年期间,风险平价组合年化收益率5.52%、年化波动率2.17%、夏普比率2.47、最大回撤5.02%;风险平价模型以配置中债-总财富(总值)指数为主,平均仓位92.64%,万得全A的平均仓位3.33%,万得偏股混合型基金指数的平均仓位4.03%。

加入行业轮动策略:2019年至2024年期间,风险平价组合年化收益率5.61%、年化波动率1.62%、夏普比率3.36、最大回撤1.63%。风险平价模型的收益比万得全A和中债新综合财富(总值)指数都更高,最大回撤则更低。说明,加入具有超额收益的标的后,组合的风险收益特征得到了很好的改善。风险平价模型仍然以配置中债-总财富(总值)指数为主,平均仓位92.46%,万得全A的平均仓位2.46%,万得偏股混合型基金指数的平均仓位2.63%,“行业轮动相对收益@基本面+量价”的平均仓位2.45%。所以,加入行业轮动组合后,债券部分的权重没有大的变化,风险平价模型把原先买万得全A和万得偏股混合型基金的仓位,拿出一部分买了“行业轮动相对收益@基本面+量价”,使得股票总体的风险贡献不变。

加入港股、美股、黄金等资产:2019年至2024年期间,风险平价组合年化收益率3.90%、年化波动率1.60%、夏普比率2.37、最大回撤2.32%。风险平价模型最终配置中国股票权重为4.68%、海外股票权重为5.30%、商品权重为6.09%、债券权重为83.94%,持仓依然以债券为主。

采取行业轮动并加入港股、美股、黄金等资产:2019年至2024年期间,风险平价组合年化收益率4.63%、年化波动率1.43%、夏普比率3.14、最大回撤2.16%。风险平价模型在加入行业轮动和海外资产后,获得了4.63%的绝对收益,比最小方差组合和满仓中债-新综合财富指数都高,最大回撤2.16%,比满仓中债-新综合财富指数更低。风险平价模型最终配置“行业轮动相对收益@基本面+量价”的权重为1.50%、海外股票权重为5.62%、商品权重为6.42%、债券权重为86.46%,持仓依然以债券为主。

风险平价模型在各类资产上的权重配置变化较小,模型不需要太高频的调仓。

对于风险偏好较高的投资者,也可以考虑最大多元化策略,最大多元化组合年化收益率11.89%,仅次于行业轮动组合和美股,而年化波动率仅5.86%、最大回撤仅8.62%,风险低于股票和商品类资产,夏普比率1.93。最大多元化策略持有“行业轮动相对收益@基本面+量价”策略的平均权重为9.57%,持有海外股票的平均权重为26.84%,持有大宗商品的平均权重为26.13%,持有债券的平均权重为37.47%。最大多元化策略在股票上的仓位较为稳定,在大宗商品和债券上的权重变化较大。

7

总结

本文首先介绍了马科维茨均值方差模型的投资者偏好和有效前沿理论,假设投资者的效用函数为U(r)=E(r)-1/2 Aσ(r)^2,风险偏好A=3;分析了不同投资范围约束下的有效前沿和最大效用组合,也就是投资者体验最好的组合。然后介绍了大类资产配置模型的理论发展历史,采用等权重、最大多元化、最小方差和风险平价四种配置方法来实践。

保险等受监管限制的机构资金主要投资国内的股票和债券:2004年1月4号至2024年12月31号之间,中债新综合财富(总值)指数年化收益率4.10%、波动率1.44%,具有较好的风险收益特征;万得全A指数年化收益率8.67%、波动率26.36%;万得偏股混合型基金指数年化收益率11.42%、波动率21.11%,说明在过去二十年里,中国的基金管理人创造了年化2.75%超额收益并降低了5.25%的风险。“54.9%万得偏股混合型基金+45.1%中债新综合财富(总值)指数”将获得最大效用(U=0.0217),这个比例接近经典的股债60/40经验配置法则,组合年化收益率8.11%、波动率11.58%,其效用高于纯粹只投资中债新综合财富(总值)指数或万得全A指数,特别的,投资万得全A的效用(U=-0.0176)是负的,买股票不如买基金。风险平价组合年化收益率5.52%、年化波动率2.17%、夏普比率2.47、最大回撤5.02%;风险平价模型以配置中债-总财富(总值)指数为主,平均仓位92.64%,万得全A的平均仓位3.33%,万得偏股混合型基金指数的平均仓位4.03%。

加入行业轮动策略:我们从2019年Q3开始做单行业基本面量化和行业轮动策略,最终于2022年9月构建“行业轮动相对收益@基本面+量价”模拟组合并在wind-PMS持续跟踪。2017年1月4号至2024年12月31号期间,“行业轮动相对收益@基本面+量价”策略年化收益率17.90%、年化波动率20.55%,同期万得全A年化收益率1.88%、年化波动率19.65%,万得偏股混合型基金指数年化收益率5.35%、年化波动率4.62%,中债-新综合财富(总值)指数年化收益率4.62%、年化波动率1.03%。对于一个风险偏好A=3的投资者而言,满仓“行业轮动相对收益@基本面+量价”将获得最大效用(U=0.1157),远大于投资中债新综合财富(U=0.0461)、万得偏股混合型基金(U=0.0030)和被动的投资万得全A指数(U=-0.0391)。所以,对于A股应该采取较为积极的主动投资,努力获取超额收益,在无法改变A股风险特征的情况下,给投资者带来较好的投资体验。风险平价组合年化收益率5.61%、年化波动率1.62%、夏普比率3.36、最大回撤1.63%。风险平价模型的收益比万得全A和中债新综合财富(总值)指数都更高,最大回撤则更低。说明,加入具有超额收益的标的后,组合的风险收益特征得到了很好的改善。风险平价模型仍然以配置中债-总财富(总值)指数为主,平均仓位92.46%,万得全A的平均仓位2.46%,万得偏股混合型基金指数的平均仓位2.63%,“行业轮动相对收益@基本面+量价”的平均仓位2.45%。所以,加入行业轮动组合后,债券部分的权重没有大的变化,风险平价模型把原先买万得全A和万得偏股混合型基金的仓位,拿出一部分买了“行业轮动相对收益@基本面+量价”,使得股票总体的风险贡献不变。

加入港股、美股、黄金等资产:当前境内的ETF和LOF产品较为丰富,覆盖了国内宽基指数、行业和主题指数、海外股票指数、大宗商品和债券等。本文选取A股、港股、海外股票、商品和债券指数,这些指数都有相应的ETF或LOF基金可以投资,方便策略的最终落地。2015年1月1日至2024年12月31日期间,沪深300年化收益率1.12%、年化波动率22.11%,恒生指数年化收益率-4.95%、年化波动率21.01%。日经225年化收益率8.62%、年化波动率19.93%,富时沙特阿拉伯年化收益率6.90%、年化波动率17.56%,纳斯达克年化收益率13.10%、年化波动率20.86%。A股、港股、沙特阿拉伯、日经225和纳斯达克之间的收益率相关性都比较低在0.5以下,纳入投资组合后可以较好的分散风险。黄金年化收益率10.23%、年化波动率12.46%,豆粕年化收益率8.15%、年化波动率19.05%,有色金属年化收益率4.97%、年化波动率16.45%,中债新综合财富指数年化收益率4.64%、年化波动率1.10%。大宗商品和债券呈现0相关或略微负相关,不同期限债券之间的相关性也不高,纳入投资组合可以较好的分散。对于一个风险偏好A=3的投资者而言,“54.1%黄金+40.7%纳斯达克+2.9%日经225+2.3%豆粕”将获得最大效用(U=0.0950),可以发现最大效用组合主要投资黄金和纳斯达克,这也跟老百姓热衷买黄金、专业投资者热衷买美股的现象一致。全球配置的效用(U=0.0950)接近满仓“行业轮动相对收益@基本面+量价”的效用(U=0.1157)。风险平价组合年化收益率3.90%、年化波动率1.60%、夏普比率2.37、最大回撤2.32%。风险平价模型最终配置中国股票权重为4.68%、海外股票权重为5.30%、商品权重为6.09%、债券权重为83.94%,持仓依然以债券为主。

采取行业轮动并加入港股、美股、黄金等资产:2019年至2024年期间,风险平价组合年化收益率4.63%、年化波动率1.43%、夏普比率3.14、最大回撤2.16%。风险平价模型在加入行业轮动和海外资产后,获得了4.63%的绝对收益,比最小方差组合和满仓中债-新综合财富指数都高,最大回撤2.16%,比满仓中债-新综合财富指数更低。风险平价模型最终配置“行业轮动相对收益@基本面+量价”的权重为1.50%、海外股票权重为5.62%、商品权重为6.42%、债券权重为86.46%,持仓依然以债券为主。

风险平价模型在各类资产上的权重配置变化较小,模型不需要太高频的调仓。

对于风险偏好较高的投资者,也可以考虑最大多元化策略,最大多元化组合年化收益率11.89%,仅次于行业轮动组合和美股,而年化波动率仅5.86%、最大回撤仅8.62%,风险低于股票和商品类资产,夏普比率1.93。最大多元化策略持有“行业轮动相对收益@基本面+量价”策略的平均权重为9.57%,持有海外股票的平均权重为26.84%,持有大宗商品的平均权重为26.13%,持有债券的平均权重为37.47%。最大多元化策略在股票上的仓位较为稳定,在大宗商品和债券上的权重变化较大。

总体而言,对全球资产做配置可以获得较好的投资体验,对于A股则需要采取较为积极的主动投资,努力获取超额收益。

使用风险平价和最大多元化策略进行大类资产配置虽然能够有效分散风险,但在某些市场环境下或策略设计中也存在一些潜在的危险和局限性。以下是几项主要危险和局限性:

1. 高相关性导致风险分散效果降低

风险平价模型的核心思想是将投资组合的风险平均分配到各资产中,追求各资产风险贡献相同。然而,当某些资产之间的相关性较高时,协方差矩阵中的协方差项会较大,导致这些高相关性资产对组合的总风险贡献增大。这样一来,投资组合的总风险将更加依赖于这些高相关性资产,从而降低了风险平价模型的风险分散效果。

2. 单个资产间夏普差较大导致风险平价无法达到夏普率最优

风险平价模型在资产间相关性较低且夏普率接近的情况下,才能接近最优状态。然而,市场环境的变化会导致每个配置期内的夏普率不稳定,资产的收益率波动也会使得夏普率发生变化。因此,当资产间的夏普率差异较大时,风险平价模型可能无法实现夏普率最优,进而影响组合的整体表现。

3. 过于被动,缺乏进攻性

风险平价模型的唯一输入项是资产的协方差矩阵,无法根据市场变化或投资者的主观观点进行调整。这种被动式的资产配置方式使得风险平价模型过于依赖固定收益类资产,无法抓住市场趋势或融入投资者的主动观点,因此在某些市场环境下可能缺乏进攻性。

4. 市场环境变化可能导致模型失效

量化模型的有效性基于历史数据的回测,但未来市场环境的变化可能与历史数据存在较大差异,导致模型失效。例如,市场的宏观环境、投资者的交易行为或局部博弈的变化,都可能影响因子的实际表现,进而使得风险平价或最大多元化策略无法实现预期的效果。

5. 资产选择的局限性

风险平价和最大多元化策略的效果在很大程度上取决于资产的选择。资产的选择和市场的波动性会对策略的表现产生重要影响。

小结:使用风险平价和最大多元化策略进行大类资产配置虽然能够有效分散风险,但在高相关性资产、夏普率差异较大、市场环境变化、杠杆使用、资产选择和策略灵活性等方面存在一定的危险和局限性。投资者需要根据市场环境和自身的风险偏好,灵活调整策略,并警惕模型失效的风险。

陈果:中信建投证券董事总经理(MD)、研委会副主任、首席策略官。复旦大学理学学士,上海交通大学金融硕士,曾任安信证券首席策略师,研究中心副总经理。2021 年提出从茅指数到宁组合,是“宁组合”的首创者。曾多次荣获新财富、水晶球和金牛奖中国最具价值分析师等奖项,也是 A 股市场最具影响力的策略分析师之一。

王程畅:中信建投资深策略分析师,CFA,北京大学计算机硕士,中南大学统计学学士;6年策略研究经验(2年私募基金,4年券商研究所),2019年加入中信建投研究发展部,专注另类投资策略研究,探索卖方策略研究的“AI+HI”模式,覆盖经济周期定位、大类资产配置、行业配置、期权衍生品等领域;Wind金牌分析师、21世纪金牌分析师。

证券研究报告名称:《大类资产配置方法在中国市场实践

对外发布时间:2025年1月4日

报告发布机构:中信建投证券股份有限公司 

本报告分析师: 

陈果 SAC 编号:S1440521120006

王程畅 SAC 编号:S1440520010001

加载中...