新浪财经

季度业绩前瞻 | 比亚迪:业绩超预期,增长强劲,预测第四季度营收2022.13~3313.53亿,同比增长12.3%~84.0%

朝阳永续

关注

1.比亚迪第四季度业绩预期怎么样?

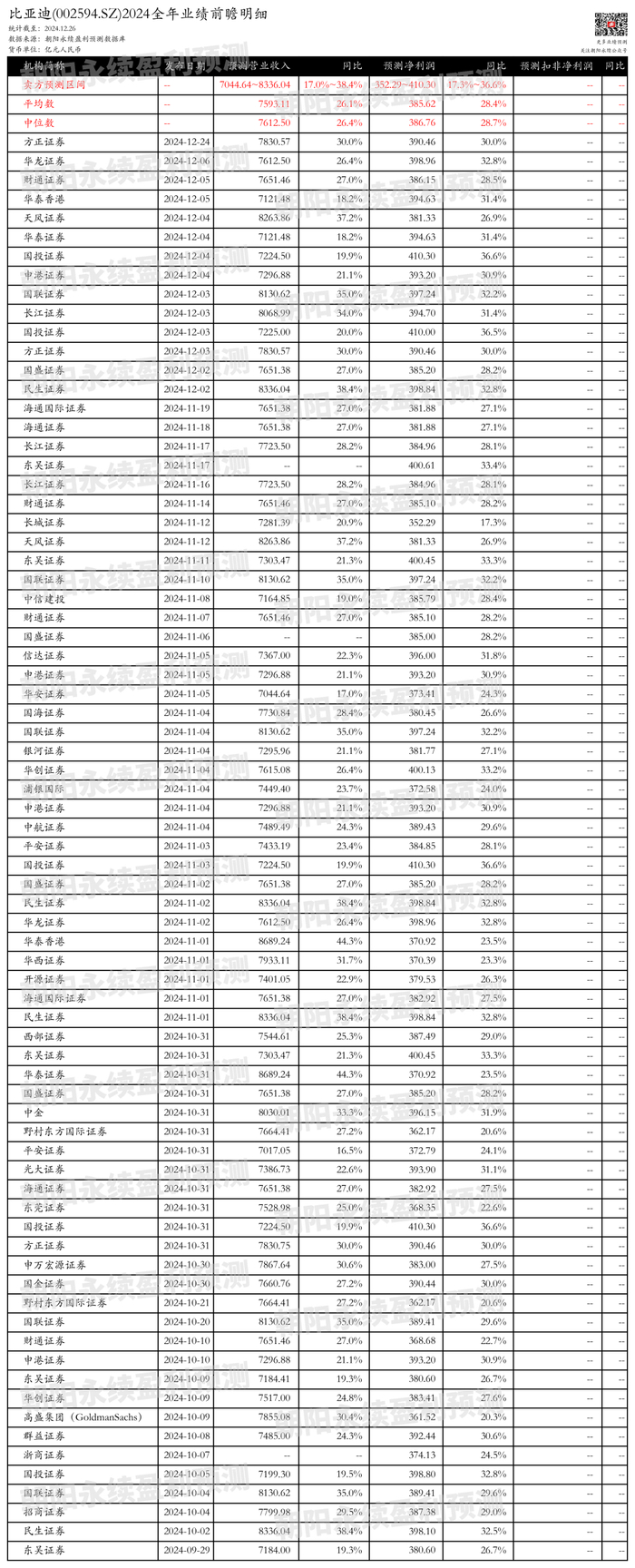
截至2024年12月26日,根据朝阳永续季度业绩前瞻数据:

预测营业收入2022.13~3313.53亿元,同比增长12.3%~84.0%;预测净利润99.91~157.92亿元,同比增长15.2%~82.1%。

关注后续财报数据披露后能否超预期,朝阳永续A股季度业绩前瞻数据将为投资者提供业绩鉴定。

2.比亚迪最新卖方观点

东吴证券认为:比亚迪Q3业绩超出市场预期,营收和净利润均实现同比增长。公司2024年前三季度营收5023亿元,同比增长19%,归母净利润252亿元,同比增长18%。全年销量预计超过410万辆,2025年预计销量超500万辆,出口量有望翻番。Q3单车盈利能力显著提升,预计2025年单车利润可维持在0.9-1万元。比亚迪电子Q3利润同比保持平稳,预计全年贡献27亿,同比微增。尽管研发和财务费用环比大增,但经营现金流表现亮眼,Q3经营性现金流421亿元,同比增长165%。

分业务来说:

1) 销量增长:比亚迪2024年前三季度销量同比增长32%,预计全年销量超410万辆,2025年预计销量超500万辆,出口量有望翻番。

2) 单车盈利提升:Q3单车毛利预计3.6万元,环比大幅提升5千元,单车净利0.93万元,环增8%。

3)比亚迪电子业绩平稳:Q3比亚迪电子收入435亿,权益净利10亿元,同环比+4%/+70%,预计全年贡献27亿,同比微增。

财通证券认为:比亚迪11月销量同比增长67.9%,纯电动和插混乘用车销量分别增长16.4%和133.1%。王朝网和海洋网销量同比增长68.2%,腾势品牌和仰望品牌销量分别达到1.0万辆和302辆。方程豹品牌11月销量8521辆,其中方程豹8和海狮07EV分别在11月上市。仰望U8_V1.9.0_OTA升级,新增多项智能功能。腾势品牌拓展东南亚市场,正式进入泰国市场。

(注:本文相关盈利预测数据均来自朝阳永续盈利预测数据库)

加载中...