新浪财经

总价约864万起!杨浦滨江「中建壹品·外滩源著」开盘在即!

市场资讯 2024.12.23 18:34

总价约864万起抢住杨浦滨江豪宅

轨交红盘+奢配装标+高阶会所

中建壹品·外滩源著

开盘在即!

主推建面约99-143㎡高端住宅

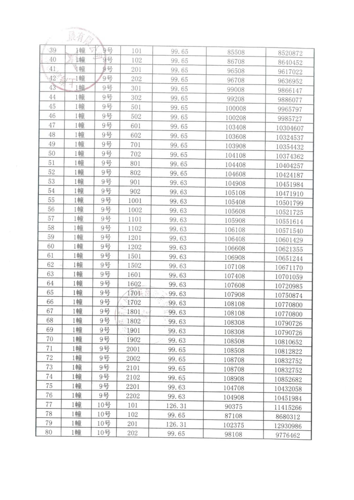
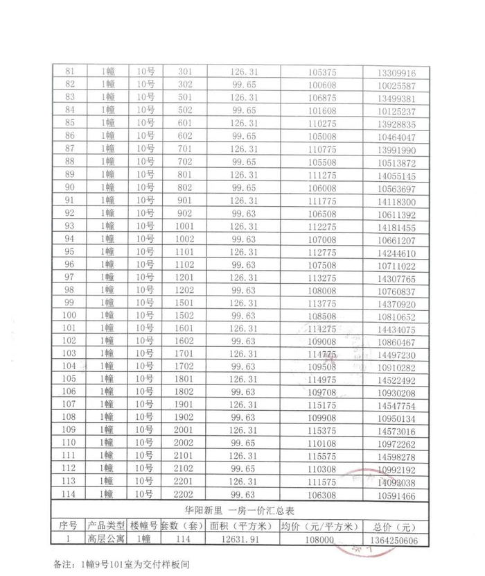
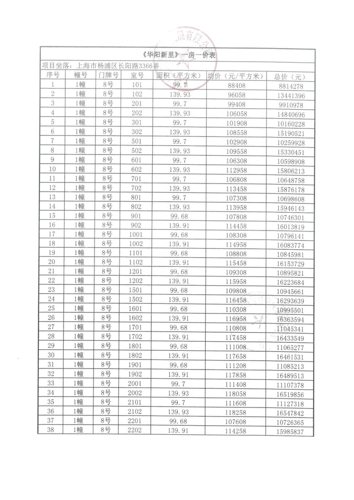
一房一价↓↓

售楼处实拍图

中建壹品·外滩源著高定装标也已全线公开,严选全球高端旗舰品牌,诚意十足!

交付标准包括美诺、霍尼韦尔、大金、威能、德国当代、唯宝、瑞仕恩仕等国内外一线品牌。

中建壹品·浦江之星开盘劲销49亿,是2024年5月全上海新房项目销售金额&面积双TOP1,实力当红。

中建壹品·外滩源著是中建壹品在杨浦滨江的第二子,承袭中建壹品豪宅血统,且在人居体验方面又有了新的思考,剑指杨浦东外滩人居品质新标杆!

当下上海市区容积率低于2.5的项目已经屈指可数了。在这样的背景下,中建壹品·外滩源著作为容积率仅约2.0的低密风貌墅境,更是19F高层+风貌别墅的臻稀组合。上海市区难得的墅境居住氛围,价值再难复制,再加上亲民的上车门槛,可谓十分难得。

杨浦滨江乃至整个上海市区建面100㎡以内的3房越来越臻稀,中建壹品·外滩源著是千万级买入上海市区核心地段不多的机会。项目主推建面约99-143㎡高端住宅,主力总价千万级。更重要的是,项目高层前排是成片风貌别墅,视野无任何遮挡,即使是低区的采光也非常好。

PART1

总价千万级,买进杨浦东外滩

近享澎湃产业势能+潮流生活方式

中建壹品·外滩源著位于杨浦东外滩核心,比起其他滨江地段,杨浦滨江的未来更加让人期待。

杨浦滨江独占了黄浦江滨江线近三分之一,是上海市区少有一块可供成片开发的区域!成片开发意味着更统一、完整的城市界面,更具新时代发展理念的建设规划、更潮流、更高端的资源配套,都将把杨浦滨江推上新一代国际住区的地位。杨浦滨江是站在巨人肩膀上的再超越!它吸取伦敦、纽约、东京等全球城市经验,当下的外滩、陆家嘴、徐汇滨江可能只是它的起点。

根据规划,杨浦滨江“一带两区”规划总建筑面积约796万方,规模2.6倍于前滩,5倍于陆家嘴,丰富的生态系统让人无比期待!

①经济层面

美团、哔哩哔哩、字节跳动等多家互联网巨头抢滩,能导入那么多头部互联网企业的,整个滨江仅此一家。关键,产业正在快速兑现中:

· 中交滨江广场已竣工;· 中节能项目预计2024年12月竣工;· 美团上海总部预计2025年底竣工;· 字节跳动、滨江创智中心、哔哩哔哩上海总部预计2026年竣工。

*信息来源上海人民政府新闻办公室

杨浦滨江预计产业规模达3000亿,导入至少20万人口。中建壹品·外滩源著直线距离这些互联网大厂非常近,项目南侧不到1公里就是国际时尚中心,较远点还有美团上海总部,哔哩哔哩上海总部等。

②城市更新层面

与市中心部分板块零散、不成规模的城市更新相比,杨浦滨江城市更新不管投入、规模还是成效,都称得上全市典范。

大片的城市更新意味着新生,这片土地将带来新的价值,崭新的城市界面、潮流的商业、办公业态、时尚精致的生活方式……

③生活方式层面

与传统焕新不同,杨浦滨江的人文资源十分出众。根据规划,未来将有40幢,总建筑面积约16万㎡的历史保护建筑陆续更新为城市文化艺术空间,成为各类博物馆或奢侈品牌艺术大秀的举办地!皂梦空间、世界技能博物馆等吸引着市民游客前来“打卡”,形成了一条氛围浓郁的文化艺术休闲带

④房价潜力层面

这些积淀给杨浦东外滩带来最直观的效应:就是这一区域房价相对坚挺。

从2014年的翡丽云邸,到2019年为止,东外滩供应了一系列的高品质小区:阳光城滨江悦、阳光城檀悦、翡丽甲第、首创天阅滨江。这些次新盘,清一色采用干挂石材外立面、2梯2户或1梯2户,容积率2.0左右,均为高得房率的好房源。

在2018年的时候,东外滩1号、翡丽甲第、华发公馆、首创天阅滨江、阳光城滨江悦等项目都是9字头,而最新入市的中海海上和集、金隅外滩东岸、缦云上海等项目均价已经来到12万左右,新房开盘均价整体涨幅约25%!

从二手房来看,尽管楼市整体下调,但是杨浦东外滩板块却做到了近3年涨幅约7.7%。(数据来源:贝壳找房)

再以单个案例来看,板块内的标杆楼盘翡丽甲第,开盘价在96000元/㎡,在经过2023年的惨烈回调后,仍然有超过60%的升幅:

注:目前在贝壳网上仅能看到2023年12月份的成交价格。经过半年的调整,目前成交价或许有所下降!

除了二手次新房价格坚挺外,该区域新房前景也不可限量。

2024年7月9日,保利以22亿的总金额在9家开发商中脱颖而出竞得杨浦平凉地块,这宗地块也是取消最高限价后首宗高溢价地块,溢价率21.18%,楼板价约8.85万元/㎡,把杨浦滨江土地价格抬到了新高度。保本估计,未来该地块售价将在13万+。新房价格将再上一个台阶!

中建壹品·外滩源著预计总价千万级,既可近享杨浦滨江澎湃的产业、城市更新势能,又能体验全新时尚潮流业态所带来的生活方式的革新,是买入杨浦东外滩的不二之选!

PART2

周边城市资源已然相当成熟

1横2纵1轨交5大隧道,畅达浦西+浦东市区

中建壹品·外滩源的交通条件十分优越。项目距离12号线爱国路站直线约400米,步行可达,这在杨浦东外滩一众不靠轨交的项目中是非常难得的。通过12号线,可畅达北外滩、南京西路、人民广场等核心CBD。

自驾道路桥隧纵横,项目能便捷驶北横通道、中环、内环等,周边的杨浦滨江核心区、北外滩、陆家嘴、世纪公园、南京西路、外滩等都是业主未来的生活圈。尤其对于浦东来说,项目有军工路隧道、隆昌路隧道(在建)、杨浦大桥、江浦路隧道等一桥五隧直达浦东的金桥、陆家嘴、张江、碧云联洋等城市CBD。对于浦东客户而言,这确实是一个非常出色的置业选择。

另外,根据《上海市城市总体规划(2017-2035年)》要求,区建管委积极推动杨浦滨江地区交通基础设施建设。后期杨浦滨江规划有轨交20号线、24号线、26号线,24号线杨浦范围沿滨江区域走向(约12公里8-9站),预控已获批,争取纳入第四期轨交建设计划尽早启动。(数据来源上海市政府官网)正是凭借优越的区位优势,项目周边城市资源非常丰富。包括上海国际时尚中心、杨浦公园、百联滨江购物中心、紫荆广场、宝龙旭辉广场、长阳创谷、东方渔人码头国际中心、合生汇商业综合体(规划中)等。

PART3

中建壹品杨浦滨江第二子

低密风貌墅区,新一代品质封面!

中建壹品投资公司是中建三局旗下的专业房地产投资开发运营平台,隶属于中国建筑,拥有房地产开发一级资质。

中建壹品深入贯彻绿色低碳理念,依托壹品ONE+科技,建立科技住宅产品设计、科技开发智造与科技运维服务三大支撑系统,打造好建筑、好环境好空气、好安静、好水质、好安全、好智能、好服务的新一代八好“壹品好房”。

所以,中建壹品·外滩源著无论是外立面、社区、户型乃至装修,都展现了无与伦比的超高品质!

01|先看外立面

外滩源著在高层立面的设计中,以海派建筑的文化作为基底,结合现代的材料及工艺,打造属于外滩源著的独一无二的立面形态。

建筑的色彩以浅色做为主基调,采用石材与局部的涂料工艺,大量的落地玻璃之间,镶嵌了古铜色的金属板材,与风貌建筑的色彩形成呼应。

高颜值立面、高窗墙比、高拓展性,为业主带来更

另外,项目是由高层+风貌别墅组成,南侧就是成片的风貌别墅。这样几乎无遮挡的视野,让项目楼栋的中高区均有机会观赏到风貌别墅区及杨浦滨江景观,彰显业主的不凡品位与人生境界!

02|再看社区

众所周知,上海最贵的房子,不是名头极响的陆家嘴滨江汤臣一品,也不是黄浦滨江新贵绿城黄浦湾,而是深藏在衡复历史风貌区内的花园洋房。

住在这里的上海人笃信,漫步在梧桐树下的街巷、品尝随处可见的网红咖啡、闲逛低调时髦的买手店,感受名人故居的历史印记,时光仿佛慢得挪不动步子。

外滩源著将重现杨浦滨江工业发展辉煌时期的繁荣景象,以精致细腻的海派风貌别墅搭配典雅端庄的高层海派公寓,展现“中西合璧""鎏金荟萃的繁华年代。

项目扎根上海的国际式海派腔调,以西方古典形制语言+东方现代精奢雅致,演绎摩登海派的高走生活。

03|尊贵归家礼序

项目打造“三轴两门三院三花园”的景观布局。

主入口礼序归家轴上,以海上东方+星池雅宴+鎏金茗院三重空间,重现海派隐奢归家之路,步步尊崇,仪式感拉满。

社区内设有上海风情的“三院”,海派精奢的三花园。精致,优雅的生活氛围随之铺展开来,行走其中人在观景,时光渐慢。

04|再来看户型

项目主推建面约99-143㎡高端住宅,另有臻稀风貌别墅。相比市面上同级别豪宅,项目户型布局更加方正大气,而且各个户型都有闪光点,为不同需求业主高定个性化生活!

建面约99㎡3房2厅2卫,非常标准的动静分离、三开间朝南户型。"分户s墙"设计在分户墙处增设“凹型空间",“冰箱外移"增加厨房操作台面和收纳空间,创造更合理的餐厨桌台动线。三开间朝南+南向双阳台设计+全卧室带飘窗,为整个户型带去非常出色的采光,同时室内视野的延展性很强。动静分离则是把功能区与休息区分割,加上主卧套房的设计,让业主有更好的私密性和生活舒适度。

建面约122㎡3房2厅2卫,非常标准的动静分离、三开间朝南户型。几乎保留了前一个户型所有的优势,但在尺度感、私密性和舒适度上又有突破,不管是采光、视野、通风、私密性,还是实用性都十分出色。主卧拥有270度环幕观景飘窗,视野和采光都非常好。

建面约143㎡户型,分为A/B户型,功能侧重完全不同。

A户型是4房2厅2卫格局,三开间朝南+LDKB一体化+全卧室带飘窗+主卧套房设计+动静分离,居住功能性更强。B户型是3房2厅2卫格局,三开间朝南+LDKB一体化+奢阔宽厅+全卧室带飘窗+主卧套房设计+动静分离+主卧270度飘窗,舒适度更高。

中建壹品·外滩源著美学样板空间现已开放,诚邀全城品鉴。建面约99-143㎡滨江奢境美宅首开在即,敬请期待!

总价约864万起抢住杨浦滨江豪宅

轨交红盘+奢配装标+高阶会所

中建壹品·外滩源著

开盘在即!

主推建面约99-143㎡高端住宅

(转自:上海楼市情报)

加载中...