【科技】十天内,连发Nature Energy/Joule,揭秘真实条件下的电池容量到底怎么衰减的!
储能科学与技术
第一作者:Vivek N. Lam, Xiaofan Cui, Florian Stroebl
通讯作者:Simona Onori, William C. Chueh
通讯单位:美国斯坦福大学, 美国SLAC国家加速器实验室
【成果简介】
在实际应用过程中,锂离子电池在长时间静置时会经历日历老化。尽管预计锂离子电池(LIBs)在室温下可以运行超过10年,但很少有研究报告覆盖如此长时间尺度的长期日历老化数据。
在此,美国斯坦福大学William C. Chueh教授和美国SLAC国家加速器实验室应用能源部Simona Onori教授等人提供了一个涵盖了八种电池类型和五个制造商的232个商业电池的数据集,其在不同的温度和充电状态(SOC)下经历了长达13年的日历老化。通过追踪电池容量损失和阻抗增长来分析这些条件下的日历老化。同时,这个数据集也被用来验证简单的模型,主要包括阿伦尼乌斯定律和幂律,这些定律解释了温度和储存时间对日历老化的影响,而阿伦尼乌斯和幂律的某些应用未能描述容量损失对温度的依赖性和电阻增长对储存时间的依赖性。基于个数据集,作者展示了日历老化的复杂性以及将趋势简化为现象学模型的挑战。
相关研究成果以“A decade of insights: Delving into calendar aging trends and implications”为题发表在Joule上。这是William C. Chueh教授和Simona Onori教授十天之内刊发的第二篇关于电池在真实使用过程中的降解研究。
【研究背景】
锂离子电池已经在便携式电子设备、交通工具电气化以及电网脱碳等方面展现出极其重要的作用。然而,在许多情况下,锂离子电池在其使用寿命中只有一小部分时间在运行,大部分时间处于无负载状态。例如,电动汽车大约90%的时间是停放的。当锂离子电池在这些条件下时,它们会经历日历老化,导致容量损失和电阻增加,这是由于副反应造成的。理解日历老化对于提高实际应用场景中电池的利用率和延长电池寿命至关重要。
理解日历老化的最大挑战之一是,在室温下收集显著的老化数据需要很多年。为了应对这一挑战,日历老化数据通常是在更高温度下收集,或者在较低温度下有限时间内收集。然后使用这些数据开发加速老化模型,将高温数据外推到低温场景,短期到长期日历老化,或从一个化学体系到类似化学体系的电池的数据。在所有这些情况下,需要跨越现实操作时间线的低温验证数据来验证建模工作,这些模型的准确性依赖于对温度和时间依赖性的精确预测和建模。大多数模型侧重于捕捉石墨负极上的固体电解质界面(SEI)层生长,这已被广泛接受为导致锂离子电池日历老化的主要机制。SEI层生长的基线时间依赖模型根植于标准化学动力学,即半无限扩散限制层生长,导致对时间的依赖性。与此同时,日历老化的温度依赖性主要用阿伦尼乌斯型表达式描述,阿伦尼乌斯温度依赖性和时间依赖性构成了用于日历老化预测和外推的标准模型的基础。
日历老化研究从几个月到5年不等,但实际环境温度下的日历寿命大约是10年。文献表明,随着时间的推移,日历老化趋势会发生变化,且用短期老化数据验证的模型可能无法准确代表长时间尺度上的真实降解效应。
【研究内容】
本文提供了长期日历老化数据,包括来自四个化学成分、五个制造商的八种不同电池类型的232个电池,收集时间为长达13年,基于这些数据,作者系统地评估了简单模型和假设的有效性。首先,检查了25°C和60°C之间的日历老化数据,以评估阿伦尼乌斯温度依赖性。在某些假设下,观察到与预期的阿伦尼乌斯趋势有显著偏差,这可能导致对室温降解趋势的估计误差达数年。其次,通过分析降解的时间依赖性,观察到从理想的扩散限制生长向自我钝化值较小的方向偏离,以及在化学成分中环境温度降解趋势的显著分布。此外,容量和功率衰减表现出不同的趋势,这些趋势之间的相关性并不好。最后,展示了电池间变异性可以占降解的很大一部分,强调了理解个体电池轨迹与人群趋势的重要性。这些观察强调了重新审视日历老化机制和关于加速老化、早期预测和迁移学习研究的预测的必要性。
图1. 相对容量和相对阻抗与日历老化时间的曲线。
阿伦尼乌斯速率依赖性评估
阿伦尼乌斯方程在文献中被广泛用于模拟与温度依赖性。然而,偏离这种依赖性可能导致在较低温度下对退化的不当估计。在较高温度(60°C)下,预计会发生电解液分解和正极结构降解。这些降解机制导致偏离典型的阿伦尼乌斯关系,即温度依赖性在日历老化中的容量衰减。为了评估应用于这个数据集的阿伦尼乌斯方程的有效性,作者首先检查了一个示例电池类型(Panasonic NCR18650B)在不同温度下储存的情况(图2A)。
图2. 容量降解与温度的关系。
对于具有三个或更多温度数据点的电池类型,其拟合结果展示在阿伦尼乌斯图(图3)中。再次看到,所有电池类型的容量或电阻数据并不与恒定活化能的直线相吻合。这种偏离线性违反了阿伦尼乌斯假设,可能表明活化能依赖于温度、同时发生的降解机制、复杂的反应路径和/或变化的降解模式。这些结果强调了在不同温度下应用阿伦尼乌斯假设进行寿命外推时需要谨慎,特别是在加速老化研究等用例中,预测环境温度下的日历老化对于节省资源和时间至关重要。
图3. 半经验建模的阿伦尼乌斯曲线。
容量和阻抗退化对循环条件的依赖性
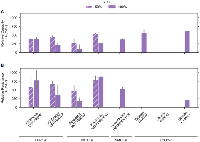
尽管已经展示了阿伦尼乌斯近似可能并不总是成立,仍然通过拟合最佳直线来计算平均活化能,使用图3中显示的60℃数据,这些数据是针对经过两个以上测试温度的电池类型,能够比较不同电池化学成分受温度影响的严重程度(图4)。一般来说,容量的活化能随着SOC的增加而减少,而阻抗的趋势则大致相反。通常,阻抗增长的活化能比容量衰减要大。Ultralife UBP001电池似乎是例外,具有最大的容量日历老化活化能和最低的电阻日历老化活化能之一。有趣的是,来自同一制造商的类似化学成分的电池可能表现出显著不同的温度依赖性。尽管K2 Energy LFP电池(LFP18650E与LFP18650P)在50% SOC下具有几乎相同的相对容量温度依赖性,在100% SOC下,以及相对阻抗方面,它们的温度依赖性差异很大。此外,Panasonic NCA电池(NCR18650B与NCR18650GA)在所有条件下都有不同的温度依赖性,这一观察强调了类似电池化学成分的数据可能无法可靠地预测彼此的行为。
图4. 活化能与化学性质和SOC的关系。
同时,作者关注了容量降解的时间依赖性,通过分析所有测试条件下相对容量和相对阻抗的指数参数(b)(图5)。大多数测试条件和电池类型的相对容量时间依赖性显示出与半无限、扩散限制生长依赖性(图5A)的显著偏差。尽管大多数电池类型经历了不同程度的自钝化容量时间依赖性,一些LCO(LiCoO2)电池(即Tenergy 302030和Ultralife UBP001)经历了线性至超线性的容量退化。值得注意的是,尽管所有电池都具有基于石墨的负极,但没有一个单一的b值能够准确描述在测试条件和温度下的降解。这在直方图中得到了进一步的说明,其中24°C的b值以蓝色突出显示,显示出在电池类型中的广泛分布(图5),并且在电池类型中b值的分布都很广泛。此外,在单个电池类型内部,b值没有明显的温度依赖性。
图5. 指数参数与老化条件的关系。
图6. 相对容量损失与相对电阻增长的关系。
最后,作者利用数据集中的重复样本来评估电池间变异性对于经历相同储存条件的电池降解趋势的影响。为了量化数据集中这种电池间变异性的程度,绘制了变异系数(CoV),CoV定义为在给定时间的标准差除以平均值,与相对平均容量损失相对应(图7)。CoV在达到容量(图7A-7D)和电阻(图7E-7H)的EOL(寿命终止)或EOT(测试结束)时,以1%的相对平均容量损失增量。一些储存条件在仅仅前10%的相对容量损失内就表现出了几个百分点的变异,表明了降解的一个显著部分。这种变异呈现出由个体电池降解趋势所决定的不同形态。图7I和7K展示了表现出增长变异性的电池示例,而图7J和7L则展示了变异性缩小的电池。
图7. 电池在不同条件下的降解。
从这些图表中可以明显看出,各个电池的降解趋势之间可能存在显著差异。因此,对于日历老化模型来说,准确捕捉由电池间变异性导致不同的电池趋势线是至关重要的,否则在给定储存条件下电池群体行为可能被显著的百分比所误代表。
对日历老化数据进行外推是显著减少数据收集时间的有效方法。为了量化这一点,作者分析了使用越来越多的数据点直到EOL时间的相对容量幂律拟合,观察误差随时间的变化。幂律函数很好地描述了轨迹,这促使使用这种简单的函数形式来测试早期预测。这种方法用一个示例电池(C00214,K2 Energy LFP18650E,24℃,100% SOC)在图8A和8B中进行了说明。通常情况下,使用接近EOL的数据可以更好地估计EOL,但误差的轨迹并不是单调的。在图8B中,幂律模型最初将日历寿命低估了超过2年,然后高估了4年,直到包含更多的数据后才收敛到正确的EOL。
图8. 幂律EOL外推。
所有24℃电池的误差轨迹以绝对日历时间(图8C)和直到EOL时间的分数(图8D)为基准进行绘制。紫色阴影区域代表在±2年、1年、0.5年和0.25年预测EOL的误差边界。图8E和8F显示了在这些四个误差边界内预测的电池比例,可以看到,要在±0.5年的范围内预测90%的电池,需要几乎5年或90%直到EOL的时间。这些数据不利于减少日历老化研究的数据收集时间,并突显了幂律模型的外推能力较差。相反,需要先进的数据驱动或电化学模型来适当利用较小比例的数据,将电池性能外推到EOL,并进行加速老化研究。
图9. 容量和阻抗的数据提取。
【结论展望】
综上所述,本文分析了时间跨度长达13年的八种不同电池类型的日历老化数据,揭示了适用于各种电池类型的一般观察结果。总的来说,这些观察结果强调了进行加速老化研究的挑战,并强调了需要长期环境温度日历老化数据来验证日历老化模型。这项工作主张创建严格开发模型,准确考虑这些发现,以加强理解和预测日历老化降解。此外,通过纳入更精细的SOC、温度和其他应力因素,这项工作可以进一步改进,以提高模型准确性,更好地理解其对长期日历老化的影响。
【文献信息】
Vivek N. Lam, Xiaofan Cui, Florian Stroebl, Maitri Uppaluri Simona Onori,* William C. Chueh,* A decade of insights: Delving into calendar aging trends and implications, Joule, https://doi.org/10.1016/j.joule.2024.11.013
邮发代号:80-732
联系热线:010-64519601/9602/9643
投稿地址:http://esst.cip.com.cn/CN/2095-4239/home.shtml