新浪财经

发明油炸的人真是个天才,冰溜子和啤酒都能炸?

媒体滚动 2024.12.12 15:30

转自:科普中国

有人看到房檐上挂着的冰溜子,灵光一闪,是不是可以用它来做菜(这样做岂不需要消耗卡路里,还不得“瘦死”)。还真有这个菜,不仅如此,还有其他油炸的奇怪食物.......

油炸冰溜子

电视剧《闯关东》不知道有多少人看过,它主要讲了一群山东人背井离乡,在东北开饭馆谋生的故事。既然是开饭馆的,那就肯定要做菜,不过这东北的饭馆还有点不一样,就是门前会挂幌。一个幌叫做小吃铺,只能做简单的饭食;两个幌就是可以点菜但只限菜单上的菜品;四个幌的就厉害了,表示饭店精通所有菜系,只要客人点了就必须能做。

剧里饭馆就是挂了四个幌,这就冒出来一些很奇怪的菜品。比如就有一集,讲的是有人到山东菜馆找茬,非要做一道“油炸冰溜子”,要知道冰块与热油等于炸厨房,这完全是一道违背常理的菜,结果却真的给做出来了,不仅如此还给出“凉丝丝,香又脆”的评价。

听到这,可能大家会以为这是一道山东菜?NO,NO,NO,这其实是属于东北名菜。在寒冷的冬天,房檐上的雪在太阳的照射下融化滴落,但是由于气温依旧十分寒冷,时间一长,自然就冻成冰锥挂在房檐上了。将它掰下来,裹上面粉糊,再油炸就做好了。

看起来好像很简单的样子,但做起来一点也不简单。首先是裹粉,将现摘的冰溜子切段,再用面粉裹住,但这时却并不是直接裹上面粉糊糊,而是先要在冰箱里冷冻一会。等到形成面粉包衣在把它放进调好的面糊之中,形成第二层面糊包衣,随着包衣的快速形成,就可以下锅油炸了。

最难的一步可想而知就是火力了。毕竟冰的熔点很低,火大了里面直接化了,捞出来就变成了一坨;火小了,外面的包衣就不脆了。等到冰溜子从油锅里浮起来,包衣外面泛着金黄色,迅速将冰溜子捞起来,这样他才会外表酥脆清爽,里面凉丝丝。

有了火候的把控,还有什么保证在油炸的过程中,外面的面衣熟而里面的冰溜子不化呢?其实是因为冰溜子的温度很低,再加上冰溜子外面都会裹上一层面粉,或者是面粉糊,这一过程相当于给冰块加了一层隔热层。这样即使炸的时候是高温油炸,但是炸的时间“足够短“,减少热量直接传递给冰溜子,从内部直接减缓了融化过程

短的下锅油炸时间,保证了冰块的外部隔热层可以迅速受热变熟,同时热量也不会太多的传入冰块内部。还记的在裹面粉糊之前,冻的一层面粉包衣嘛?那是为了能够进一步阻止热量的传递。面粉包衣在冷冻之后形成保护层,有助于在油炸时保持内部的低温。而且面粉糊或者蛋粉糊在受到油炸后,会变得蓬松坚硬,并且内里含有大量的空气,空气是一种较好的隔热材料(相对于金属而言哈!)所以也起到了很好的隔热作用。

我们很多的保温杯其实也有着类似的结构。保温杯主要是通过减少热传导、热对流和热辐射来实现保温的,它的设计利用了真空层和反射材料。利用两层不锈钢来构造中间的真空层,这可以大大减少热传导和热对流,以及内壁通常涂有反射材料,来减少热辐射。

有时还会利用一些相变材料来代替反射层,它的工作方式类似于我们的电容器。相变材料主要吸收的是潜热,潜热是指当物质再发生相变过程中,由于分子间相互作用力的变化而吸收和释放的热量。并且潜热不会改变物质温度,它能够使物质在相同温度下发生状态的改变。

当水温高于相变温度时,相变材料吸收大量的潜热,会从固态转换为液态;而当温度低于相变温度时,又会从液态转换为固态,并向外释放热量传递给水来保温。

既然已经知道油炸冰溜子的秘密,那么之后由此衍生的拔丝冰溜子,油炸冰淇淋还有油炸雪糕也就不觉得奇怪了。看似不合理的食物其实他们蕴含着最基本的物理原理。不过现在的冰溜子可不是从房檐上摘下来的,为了保证卫生基本都是用模具来冷冻的。如果你想要别的口感可以用橘子汁、葡萄汁或者直接用冰棍来做,还省了一步冷冻呢。

那还有没有什么看起来很奇葩的食物呢?还真有!

爆炒鹅卵石

湖北用石头做菜名为嗦丢,顾名思义嗦完就丢,一菜传三代,人走石还在。这道菜除了调料基本没啥可以吃的东西,能拿出来说道说道的就是鹅卵石啦!鹅卵石的主要成分是二氧化硅,然后就是少量的氧化铁、微量的锰、铜、铝、镁等元素。

二氧化硅是以硅原子和氧原子组成的立体网状结构。在晶体结构中,硅原子的四个价电子和四个氧原子形成四个共价键。硅原子处于正四面体的中心,由于一个硅原子连着四个氧原子,而在晶体中,正四面体结构是无限延伸的,一个氧原子连着两个硅原子,所以晶体中二者的个数比为 1:2,故名二氧化硅。

二氧化硅的折射率在可见光范围内是 1.45~1.47 之间,这种高折射率可以用于制作光学透镜和反射镜等光学元件,实现光路的控制和调控。同时它 98%以上的高透明度也是能够用于做高质量元件的优势之一,甚至在现代通信中离不开的光纤宽带,也离不开二氧化硅。

二氧化硅作为很多光学仪器的原材料,熔点高达 1723℃,属于是锅融化了它都不带变红的。并且二氧化硅化学性质稳定,不跟水反应,具有硬度高、较高的耐火、耐高温、热膨胀系数小、高度绝缘、耐腐蚀以及独特的光学特性。

由此可见,优秀的物质不仅耐用、耐造还耐吃。等把鹅卵石嗦罗没味了,还可以丢回锅里再造一边,循环利用,可持续发展。不仅在我们的生活使用上露脸,甚至在吃上也不遑多让。

既然鹅卵石性质这么稳定,对锅基本上都是物理伤害,对人类的化学攻击也小,那么人类该如何制作这道菜呢?葱姜蒜爆香、八角桂皮香叶、花椒干辣椒冰糖,之后放入鹅卵石,平时都说炒鞋底都香的万能酱料,如今真的可以炒鹅卵石了,不得不说一个绝。

既然国内的有了,那我们不妨把视角转到国外康康吧。美国德克萨斯州,每年州博览会上都会有一个创意食物奖项,有连续四年都是油炸食品获奖。分别是油炸可乐(可乐调面糊,炸完泡可乐吃)、油炸拿铁、油炸黄油以及油炸啤酒。

油炸啤酒

油炸啤酒的做法和冰溜子倒不太一样。它是用加了盐的面团捏成一个个空心小馄饨的形状,然后往这些小馄饨里面加入啤酒,之后将它们扔进油锅里油炸 20 秒,就做好啦。不过这种油炸后的啤酒在口感上确实会发生一些变化。

啤酒中的酒精以及一些挥发性物质在油炸过程中会挥发,这就会减少啤酒的原始风味;同时啤酒的气泡加热后挥发,使得麦芽糖和苦味化合物更加突出;油炸后的高温会引起啤酒中蛋白质和糖类的化学反应,美拉德反应。最终会生成棕色甚至黑色的类黑精或者拟黑素,使得啤酒呈现出油炸特有的香气;

在油炸过程中,面糊中的空气受热膨胀形成气泡浮到面糊表面形成气泡;同时里面的水分在高温下迅速蒸发,这些气泡会从面糊内部向外推,使得炸出来的脆皮内部为多孔结构,油就会顺着这些结构进入脆皮。爱吃炸物的朋友们都知道,外表脆皮油越多炸出来就越香。但大家知不知道啤酒会让炸出来的脆皮更加美味酥脆?

有研究表明,面糊中加入啤酒会使得面糊的吸油量普遍增加 18%。研究人员制备和表征了使用和不使用啤酒代替配方中的水的面糊,仪器结构分析表明,啤酒面糊普遍降低了硬度,增加了脆性。吸油量的增加会导致面糊的质地稍微柔软和酥脆,并且大米面糊比小麦面糊更明显。

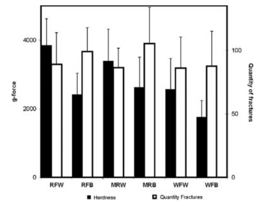
啤酒对油炸物硬度(黑)和脆性(白)的影响

上图 RFW 代表是长粒米加水的米糊,RFB 代表长粒米加酒的米糊,MRW 代表混合米加水的米糊,MRB 代表混合米加酒的米糊,WFW 代表小麦加水面糊,WFB 代表小麦加酒的面糊。从图中我们可以看出,加了啤酒之后再油炸的脆皮普遍硬度变低,但是脆性却增加了。

所以油炸啤酒的小馄饨外皮会更加酥脆,并且也会赋予啤酒一些油炸食物特有的香味和口感。而在面糊中加入酒的做法也很常见,比如炸蘑菇或者炸茄盒这种表面的脆皮糊,就是需要加入啤酒反来增加食物的香气和风味。因为啤酒中的气泡以及酒精在挥发过程中会使得面糊更加的松软和蓬松,炸完之后外酥里嫩,香气四溢,对于笔者这种不爱吃茄子的人,都勾的口水直流。

不知道读者各位有没有吃过什么奇怪的菜品,不如分享在评论区,大家一起乐呵乐呵。

加载中...