上证50等指数样本调整!12月13日收市后生效
中证金牛座
11月29日,根据指数规则,经指数专家委员会审议,上交所与中证指数有限公司决定调整上证50、上证180、上证380、科创50、科创100等指数样本,于12月13日收市后生效。
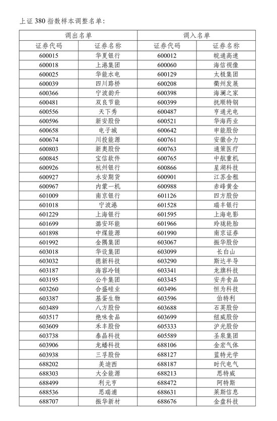
其中,上证50指数更换5只样本,上证180指数更换18只样本,上证380指数更换38只样本,科创50指数样本无变动,科创100指数调入4只证券。
据介绍,上证50指数调样后,业绩增速改善,表征性明显提升,指数质量和行业分布得到进一步优化。2024年前三季度归母净利润同比增速从6.8%提升至8.2%,显示出沪市龙头公司较强的经营韧性。指数总市值20.1万亿元,市值覆盖率达到38.8%,小幅提升0.8个百分点。工业、信息技术行业权重分别上升1.3%、0.3%,金融行业权重下降0.6%。
值得注意的是,此次调整,上证180指数编制方案修订一并实施,“新经济”权重大幅提升,收益表现优化,将更好地反映资本市场结构变化和产业转型升级趋势。修订后,上证180作为上证宽基指数体系的“中枢”指数,将与上证50、上证380等指数更好地共同表征沪市上市公司的整体表现。上交所表示,未来还将持续进行研究评估,倾听市场意见,推动指数编制方法与时俱进,更具科学性与合理性。
科创50指数此次调整样本无变化,连续多个季度未达到10%的调整数量比例上限,显示出科创板市值结构稳定性逐步提升。科创100指数营收、净利润增速改善,市值覆盖度提升。科创50、科创100、科创200指数总市值覆盖率达到近90%,与其他科创板行业主题、策略指数共同构成完善的科创板指数体系。目前,科创板指数数量已达到25条,产品规模合计超过2500亿元。