新浪财经

五年指数监测成果揭晓,为中国城市高质量发展筑牢健康根基——《清华城市健康指数2024》成果发布

市场资讯 2024.10.30 09:29

2024年10月29日,“中国新型城镇化理论·政策·实践论坛2024”城市健康专题论坛暨《清华城市健康指数2024》发布会在清华大学隆重举办。

清华大学校务委员会副主任、校体委主任史宗恺发表致辞演讲。中国医院协会副会长、国家卫生健康委规划发展与信息化司原司长毛群安,中国工程院院士、清华大学临床医学院院长、北京清华长庚医院院长、清华大学精准医学研究院院长董家鸿,清华大学全球产业研究院院长彭凯平发表主旨演讲。湖州市卫生健康委员会党委书记、主任沈昕耀,三亚市委精神文明建设和爱国卫生运动委员会办公室副主任倪少良,克拉玛依市卫生健康委党组副书记、主任朱华,南平市卫生健康委员会副主任林涵出席了发布会。清华大学中国新型城镇化研究院高级研究专员李栋担任主持。

城市健康与可持续发展是中国式现代化建设的重要保障。本次论坛以“推动城市健康高质量发展 筑牢中国式现代化健康根基”为主题,围绕实施健康优先发展战略、推动健康治理数字化转型、实现城市健康质量与人民健康水平提升等主题展开研讨。论坛正式发布《清华城市健康指数2024》年度评价成果,通过指数评估的方式交流经验、促进合作,为建设好人民城市进一步凝聚共识、贡献智慧,为全球城市发展探寻中国方案。

聚焦城市健康核心要素

清华大学校务委员会副主任、校体委主任史宗恺在致辞中表示,清华大学是综合性的世界一流高校,充分发挥跨学科人才集聚优势进行指数研究,是清华的使命和责任。改革开放40多年以来,我国经济社会发展、技术飞跃与观念变迁的现状构成了城市和乡村生活的全新面貌,综合性的研究和分析有助于构建更加和谐的人类社会。“清华城市健康指数”是学校紧扣国家需求与全球趋势,推动学科“大交叉”的重要尝试。作为一项跨学科的研究成果,“清华城市健康指数”很好地将自然科学、工程技术和社会科学研究中与时俱进的调查和研究方法应用于实践,有助于充分认识社会发展进程,精准把握我国城镇化进程中存在的问题,并找到解决方法。“清华城市健康指数”不仅是清华大学聚焦于学科交叉和城乡发展的一项阶段性成果,更能推动健康理念深度应用于中央到地方各级政府的理念、实践和措施中,最终实现将健康理念充分融入于我们每个城市的规划、建设和治理的全过程。

中国医院协会副会长、国家卫生健康委规划发展与信息化司原司长毛群安发表《实施健康优先发展战略,推进城市健康高质量发展》主题演讲。毛群安指出,实施健康优先发展战略,要把握健康中国建设的关键问题,以“全民健康、共建共享”为目标,主要任务包括普及健康生活、优化健康服务、完善健康保障、建设健康环境和发展健康产业。爱国卫生运动是推进健康中国建设的重要手段,要深入开展爱国卫生运动,推进健康城市建设。健康城市建设需要党委政府领导,多部门协作,全社会参与。坚持预防为主、综合治理,全民共建共享。健康城市建设要以全面社会健康管理为目标,其评价指标要具有建议性、导向性、灵活性,通过科学评估的形式,着重关注慢性病、精神疾病的预防和管理等方面。此外,除政府评估外,“清华城市健康指数”作为第三方评估工作的研究成果,为健康城市建设提供了有效抓手。

中国工程院院士、清华大学临床医学院院长、北京清华长庚医院院长、清华大学精准医学研究院院长董家鸿的演讲以《推动健康治理数字化转型,构建健康中国共建共享共治新格局》为题。董家鸿强调,数智科技是从传统健康管理走向全面协同健康治理、实现“健康中国”战略目标的关键路径。通过数智健康治理,有助于实现医疗健康公共资源精准投入,利于市场研发符合市场需求的健康产品和服务,有助于居民提升自我健康管理意识与能力,形成主动健康管理新局面。在推进数智化健康治理方面,董家鸿提出四项建议:一需完善顶层设计,建立系统的数智化健康治理框架;二要实现数据共享整合,构建全方位的数据互通互联与应用机制;三要实施监测评估,完善科学的实施监测和效果评估机制;四是案例传播推广,提升健康信息透明度,促进公众参与。并充分肯定了清华城市健康指数对应引领健康治理数智化转型的重要作用。

清华大学全球产业研究院院长彭凯平就“城市健康核心要素——心理健康”为题进行了分享。彭凯平指出,社会快速发展带来的心理健康挑战,已成为国家战略层面的紧迫议题。第一,社会的快速发展、竞争的加剧以及生活节奏的加快,使得心理健康问题成为影响社会发展和稳定的关键因素,特别是青少年面临更大的心理压力,体现心理健康在健康城市建设中发挥着关键作用。第二,城市心理健康建设应综合考虑基础设施的可达性、疾病发病率、工作与生活的平衡、居住环境的舒适度、社会支持网络的强度、心理健康知识的普及度,以及城市特有的积极心理模式。第三,城市心理健康应关注居民的主观幸福感,包括生活质量、收入满意度、社会关系、个人目标实现状况等方面。第四,倡导运用科学方法来提升居民的幸福感,有效应对心理危机。

典型城市分享经验做法

《清华城市健康指数2024》研究结果显示,中小城市组中的湖州市、三亚市综合健康水平领先优势显著,克拉玛依市、南平市健康环境指数进展明显。论坛邀请到四地卫健委领导,分享各自在城市健康发展方面取得的经验成就。

湖州市卫生健康委员会党委书记、主任沈昕耀表示,湖州市坚持“全民健康、全程健康、全域健康”三大理念,主要开展了四方面特色工作:一是建设优质的重点人群服务体系。实施妇幼健康、青少年健康和老年健康促进行动。例如,在提升青少年健康方面,重点建设“竖起脊梁”“明目正视”“燃烧脂肪”“南太湖心航”等服务。二是打造湖州医改品牌。深化全市域“三医联动”“六医统筹”和全国紧密型城市医疗集团建设试点,持续打造县域医共体(城市医联体)升级版。三是创新建设数字健康城市。全国首创“医后付”,建设“医联体检查通”“两慢病健康画像”“健康银行”等特色应用。四是将健康产业纳入现代产业体系,推动“健康+”多领域融合发展,健康产业年增加值超过200亿。

三亚市委精神文明建设和爱国卫生运动委员会办公室副主任倪少良介绍,紧扣海南自贸港“三区一中心”战略定位,三亚市正在积极打造健康城市建设标杆。首先,实施健康干预政策。对15项公共政策和重大工程开展健康影响评价,不断实践将健康融入城市规划、建设、管理全过程。二是紧紧围绕自身优势打造健康城市的三亚特色,坚持打造最美健康环境,建设人与自然和谐共生的世界级美丽健康滨海城市。三是不断促进全民健身,坚持每年策划群众体育赛事活动近30场,提升体育健身国际化、特色化、市场化水平。四是紧盯短板弱项,完善考核问责制度,以考核评价推动健康城市建设,并引入第三方进行评估。

克拉玛依市卫生健康委党组副书记、主任朱华介绍,自2007年被确定为全国首批6个健康城市试点之一以来,克拉玛依市以人民健康为中心,推进城市健康工作主要体现在:第一,打造健康环境场景,戈壁荒滩逆袭成“森林围城”。加强公园绿地建设、改善小区绿地,提升城市绿肺功能;建立健全规章制度,确保蓝绿空间有所用。第二,全面贯彻落实全民健身国家战略。布局完善健康步道、健康主题公园等全民健身场地设施。有效落实工间操制度,广泛开展青少年阳光体育运动,推进健康指导中心建设,科学监测指导健康运动。第三,加强中西医协同发展,提高医疗服务能力,形成“1+5+N”中医外治服务格局。建设上下一体的“共享中药房”,让患者享有调配、煎煮、配送“一站式”中医药服务。

南平市卫生健康委员会副主任林涵分享,在建设“环武夷山国家公园保护发展带”的目标下,南平市以绿色发展为天然底色开展健康城市建设工作。主要包括健康服务、健康环境、健康产业三个重点工程建设。坚持“以基层为重点,以改革创新为动力”卫健工作方针,建设省级区域医疗中心,开展“4+N”基层网格化服务,建设紧密型城市医疗集团。将旅游康养产业列入重点产业集群,以建设“海峡两岸大武夷生态康养先行区”为目标,全面支持福建探索深化两岸融合发展新模式。

《清华城市健康指数2024》成果解读

“清华城市健康指数”强调评价体系的科学性,围绕政府、企业和居民三大类城市健康体系的核心角色,设计了6大评价版块(一级指标),分别为健康服务、健康产业、健康行为、健康设施、健康环境、健康效用,下设17个评价领域(二级指标)和39项评价项目(三级指标)。

清华城市健康指数分值越高,代表城市健康水平越好。依据城市健康指数分值结果,对评价城市进行分级。城市健康水平级别由高到低依次为:引领级城市、优质级城市、平均级城市、发展级城市和追赶级城市。

此外,课题组还以城区人口规模为关键信息,将城市分为两组解读评价结果,合理反映城市发展所处阶段的差异性。其中,城区常住人口在100万以上的城市列为大城市组,指数(2024)包含86个样本城市;城区常住人口在100万以下的城市列为中小城市组,包含210个样本城市。

一、年度观察

1、整体结果:东部城市健康水平持续引领全国

清华城市健康指数(2024)结果显示,全国城市健康水平与上一年度结果相比略有上升,东部城市健康水平持续引领全国。长三角、珠三角、辽中南三个城市群城市健康水平位列全国前三。从一级维度来看,城市间健康产业发展差异较大,北京、上海、深圳、杭州等城市优势显著;健康环境呈现“南优北低”;健康效用呈现“东高西低”的区域分布格局。

2、城市分组评价:大城市组京沪杭宁深持续领先,中小城市组各具优势

大城市组中,北京、上海、杭州、南京、深圳健康水平保持领先。与指数2023结果相比,京沪互换位置,北京重返第一。珠海、广州重返引领级,青岛新晋引领级。青岛、沈阳、长沙健康水平进步明显。从引领级城市来看,医疗卫生经费保障、健康产业优势、健康支撑设施等指标优势较为突出。

中小城市组中,排名前十的城市总体保持稳定。湖州、三亚、通化、衢州、威海位列2024年度评价中小城市组前五名。中小城市组头部城市各具优势,比如湖州健康效用排名第一,居民体质水平优势显著;三亚在健康行为、健康环境方面表现亮眼。

3、区域分析:拉萨、林芝、酒泉等城市户外运动水平提升显著

数据显示,西部城市在促进运动方面崭露头角,平均户外人均运动时长53.07分钟/人,高于全国平均水平50.29分钟/人。特别是西藏拉萨、林芝和甘肃酒泉等地,运动时长、运动消费、运动设施等指标增长迅速。西藏林芝、甘肃酒泉近年来加大了体育运动政策举措的实施力度,通过举办特色户外赛事、加强设施建设、推广全民健身与文旅运动深度融合、推动体育精准扶贫等方式,形成特色化的城市健康发展路径。

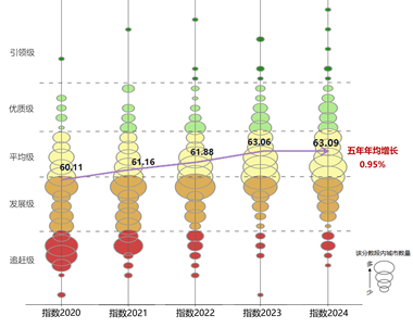
二、五年趋势:中国城市整体健康水平显著提升

回顾过去五年指数研究成果,全国城市健康水平均值从2020年的60.11提升至63.09,整体水平明显提升。引领级城市数量从1个增多至9个,而追赶级城市数量则从86个显著减少至10个。排名靠前和靠后的城市健康水平均有明显提升。

分区来看,中西部城市健康水平明显改善。中西部的追赶级城市数量从77个显著减少至10个。这些城市健康水平提升主要体现在健康服务、健康行为和健康效用维度。

五年来共有78个追赶级城市健康水平实现了提级,得益于这些城市健康效用、健康服务和健康环境的改善。其中,城乡居民达到《国民体质测定标准》合格以上的人数比例、基本医保住院费用实际报销比、建成区绿化覆盖率等指标对晋级城市的水平提升贡献较多。

三、专题研究

1、城市健康状况国际比较:中国城市在多个健康维度具有全球竞争力

2024年,课题组进一步整合全球城市健康评价热点指标,完善城市健康状况国际比较体系,设计了医疗服务、生活行为、城市绿化、环境质量和健康结局五个健康维度;并拓展样本城市,纳入了16个国家的36个国际化大城市,包括伦敦、纽约、巴黎、新加坡等20个国际城市,以及北京、上海、香港等16个中国城市。结果显示,中国城市在健康结局、医疗服务和城市绿化方面具有优势。例如,中国香港特区在生活行为、健康结局占据全球领先地位;北京、杭州医疗服务分别位列第二、第三;广州、重庆、厦门城市绿化位列前五。而国际城市在环境质量和生活行为方面表现更佳,特别是北美城市在环境质量方面积累了许多可借鉴的经验。例如,纽约市的凉爽屋顶计划(Cool Roofs)、多伦多的湖水源冷却系统,有效地降低了建筑温度,降低了热岛效应带来的健康风险。

2、环境健康探索:绘制环境健康产品“一张图”

围绕“健康中国”和“美丽中国”战略目标,在传统环境治理基础上持续推动环境与健康的深度融合。一方面,课题组首次开展了环境健康价值的综合核算工作,核算了成都市通过治理空气污染、增加绿色空间所带来的健康价值,为地方决策者协同环保、卫健等多个部门参与城市健康建设提供证据支撑。另一方面,课题组以转化和放大环境健康正向效益为导向,积极探索促进环境健康产业发展的路径,包括环境健康服务和环境健康产品两个方面。例如,基于调查数据绘制功能性温泉分布特征图,展示地域性的环境健康功能产品特征。

3、中医药研究:部分城市中医药产业已成为健康产业发展核心

为响应“十四五”中医药发展规划、中医药振兴发展重大工程实施方案等政策要求,为支撑好部委和地方需求,课题组今年还探索性开展中医药发展指数构建工作。初步评估框架包括政策引领、服务体系、人才培养、创新发展、中医药产业、文化传承、开放发展七个维度。基于多源数据的初步研究显示,亳州、襄阳、保定、拉萨、遵义等城市的中医药产业,已成为健康产业的发展核心。

四、展望:数字赋能城市健康治理

今年是“清华城市健康指数”五周年。展望未来,清华城市健康指数”将持续通过数字化的方式,赋能城市健康治理。从理念、需求、对策和成效等方面形成服务闭环,促进 “融健康于万策,全民共建共享”目标实现,为中国式现代化贡献清华智慧和力量。

责任编辑:梁斌 SF055

加载中...