新浪财经

普华永道:关联房地产租赁交易的转让定价考量!

市场资讯 2024.10.18 12:58

来源:四大新鲜事儿

摘要

房地产租赁交易涉及包括增值税、房产税、企业所得税在内的多个税种,集团企业在日常转让定价及税务管理的过程中,需要关注关联方之间房地产租赁交易转让定价的合理性。

根据普华永道对上市公司关联房地产租赁交易的观察,除了通过参考市场租金进行定价外,企业也需要从转让定价角度,考虑关联交易的特殊情形,结合各关联主体承担的功能和风险,探究其他定价方法的适用性。国家税务总局公告[2017]6号(关于发布《特别纳税调查调整及相互协商程序管理办法》的公告)对关联交易定价方法的应用情形做出了规定,并且提出其他符合独立交易原则的方法包括成本法、市场法和收益法等资产评估方法(第二十二条)。2024年1月上海市房地产估价师协会发布的《上海市房地产租金评估技术指引(试行)》(以下简称:“指引”)则在《中华人民共和国资产评估法》等相关法律法规基础上,进一步细化并提出了比较法、成本法、价值折算法和剩余法等方法。

此外,指引强调在评估过程中,应根据租金类型、估价目的、估价对象状况及其所在区域的房地产市场状况,选择合适的评估方法进行综合分析。这表明在特定条件下,单一的市场租金调查可能难以满足复杂的定价需求,企业需要结合多种评估方法进行交叉验证,以确定符合独立交易原则的关联房地产租赁价格。

背景

近期,国内多家上市公司公告披露了其内部关联公司间的租赁交易。这些交易涉及的租赁标的类型广泛,包括办公用房、生产用房、经营用房以及各类设备等。在定价方面,这些交易所采用的定价方法也各不相同,有基于市场租金协商确定价格、有基于折旧费用确定价格、也有从房屋建造成本或标的资产的直接与间接成本出发计算价格。

另一方面,上海市房地产估价师协会于2024年1月发布的指引不仅阐明了房地产租金的评估方法,还特别强调在评估过程中需关注的价格影响因素,包括估价目的、价值时点、估价对象及范围、租金类型、租赁用途、租赁条件等,为估价实务提供了参考。

根据普华永道的观察,集团企业对于关联房地产租赁交易的疑问主要包括以下方面:

特殊性质的房产,由于其独特性,很难在市场上找到可比的外部交易,例如学校、体育场馆、机场等;

即使能找到市场价格作为初步参考,但由于目标关联房地产自身独特的建造或装修标准,难以对市场价格进行可靠的量化调整;

关联租金收支占企业业务和现金流份额很高,较易获得税务机关关注;

面对多种可能的租赁方案(毛坯出租、装修出租、含物业管理出租等),企业希望通过可靠的量化对比分析,对租赁方案做出更为精准的选择;

集团内部的转租交易定价。

根据企业的实际经营情况不同,关联房地产租赁定价是一个涉及多方面因素、需要综合考量的复杂工作,企业在制定定价方案时需对不同价格影响因素予以考虑。

关联房地产租赁定价的评估方法及举例

“房地产租金的评估方法有比较法、成本法、价值折算法、剩余法等。选用评估方法时,应根据需评估的租金类型、估价目的、估价对象状况及其所在区域的房地产租赁市场状况,在对各评估方法进行适用性分析的基础上,选用所有适用的评估方法进行评估。”

*摘自指引原文

如果仅依赖对市场租金的观察而忽视与其他评估方法的交叉验证,可能会导致不完整的结论。指引提出,比较法是评估市场租金的理想方法,而成本法则适用于新开发建设项目的成本租金评估。价值折算法和剩余法则更适合于评估房地产投资背景下的租金分析。如果估价对象所在区域的房地产租赁市场尚未成熟,采用比较法以外的评估方法显得尤为重要。

“比较法是评估市场租金最适宜的评估方法。成本法是评估或核定新开发建设项目成本租金最适宜的评估方法。价值折算法和剩余法是评估或分析测算房地产投资可行租金最适宜的方法。当估价对象所在区域房地产租赁市场发育不够成熟时,可采用比较法以外的方法评估市场租金。”

*摘自指引原文

比较法

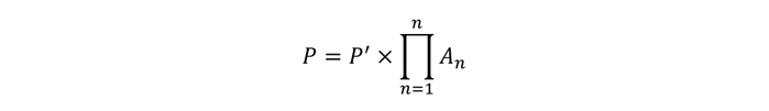
在运用比较法确定房地产租金时,除了需要收集近似房地产的租金信息外,还需考虑是否应对这些租金数据进行进一步的调整和修正,以尽可能减少目标房地产和近似房地产样本的差异。这一过程中,应特别关注房地产的设定用途、状况、租赁条件等是否具有可比性。在进行标准化处理和因素调整时,还需综合考虑租金内涵、计价单位、支付方式、区位、实物状况、租赁期限、调租与续租规则等多个因素。比较法的计算公式总结如下:

*其中,P为待估租金,P'为可比交易案例租金,An为第n类修正系数,n为修正系数个数。

示例:对于某可比交易案例,其调整修正前的租金为8.00元/日·平方米,其交易情况修正系数为1.0000、交易日期修正系数为1.0500、区域因素修正系数为0.9901、个别因素修正系数为1.0300,则其各修正因素系数连乘得到综合修正系数为1.0708。将综合修正系数与调整修正前的租金相乘得到该可比交易案例调整修正后的租金为8.57元/日·平方米。

成本法

成本法在确定房地产租金时,其构成项和基本公式涵盖了地租、房屋折旧费、室内装饰装修和家具家电折旧费(如有)、运营费、租赁营销费及相关税费。特别是当租赁方式为取得房屋并进行改造后再出租时,还需考虑房屋改建折旧费和新增的室内装饰装修和家具家电折旧费。此外,地租摊销年限及房屋、装修等折旧年限的确定,应参考法定使用年限和经济使用年限,而非会计计量年限。

采用成本法确定房地产租金时,租金构成项及基本公式为:

“房地产租金 = 地租 + 房屋折旧费 + 室内装饰装修和家具家电折旧费(如有) + 运营费 + 租赁营销费 + 相关税费”

*摘自指引原文

采用租赁方式取得房屋进行改造后再出租时,租金构成项及基本公式为:

“房地产租金 = 取得房屋租金 + 房屋改建折旧费 + 新增室内装饰装修和家具家电折旧费(如有) + 运营费 + 租赁营销费 + 相关税费”

*摘自指引原文

示例:某项工业类房产对应土地使用权的取得成本为1,000万元,地上房屋建筑物的建造成本为5,000万元。对于土地使用权,在会计处理中,该土地使用权摊销年限为50年的法定使用年限,该年限与成本法租金测算所适用的年限一致,本例中土地使用权的摊销额为20万元/年。对于地上房屋建筑物,会计上处理中一般按所得税法规定的20年作为折旧年限,成本法租金测算中则按其经济使用年限(例如50年)作为折旧年限,本例中房屋建筑物的折旧额应为100万元/年,而非会计中记录的250万元/年。因此,在确定租金时须以土地使用权法定使用年限和房屋建筑物的经济使用年限确定地租摊销和房屋折旧费用,其他费用则按实际发生额确定。

价值折算法

价值折算法通过计算房地产的净收益,并考虑房屋空置和收租损失、运营费、租赁营销费和相关税费的影响来确定房地产租金。净收益的计算基于房地产的市场价值和折算系数。

采用价值折算法确定房地产租金时,基本公式为:

“房地产租金 = 租金净收益 + 房屋空置和收租损失 + 运营费 + 租赁营销费 + 相关税费

房地产租金净收益 = 房地产价值或价格 × 折算系数”

*摘自指引原文

折算系数的确定需要考虑报酬率、租金净收益年增长率和投资人要求的收益持续年限。

基于增长年金现值模型变形后,折算系数计算公式总结如下:

*其中,Y为报酬率,一般根据投资人的期望报酬率确定,也可使用累加法、市场提取法等方法测算;g为租金净收益年增长率,n为投资人要求的收益持续年限。

示例:某项经济使用年限为40年的房地产以成本法确定其房地产的价值为1,000万元,报酬率为10%,租金净收益年增长率为1%,由折算系数公式得出折算系数为9.3061%,进而得出房地产年租金净收益为93.06万元,其他相关费用按实际标准进行测算最终得出房地产租金。

剩余法

剩余法则是通过分析房地产经营产生的收入和成本,或基于改造后的租赁收入和成本,来求取房地产租金。这种方法不仅考虑了经营收入和成本,还包括了管理费、财务费用、经营税金及附加和经营利润等因素,以确保租金的合理性和准确性。

采用房地产经营收入求取房地产租金的公式为:

“房地产年租金 = 年经营收入 - 年经营成本 - 年经营费用 - 管理费 - 财务费用 - 经营税金及附加 - 经营利润”

*摘自指引原文

采用改造后房地产租赁收入求取房地产租金的公式为:

“房地产年租金 = 改造完成后房地产租赁收入 - 预计改造成本摊销 - 运营费 - 租赁营销费 - 相关税费”

*摘自指引原文

案例

某家新零售餐饮连锁行业集团基于其长期发展规划决定通过集团控股公司(以下简称“控股公司”)从第三方统一购置办公楼后出租给旗下各子公司,供各子公司员工办公使用。企业购置办公楼向关联方租赁的交易流程如下图所示:

在对租金市场价格进行查询和分析后,集团发现国内市场同一区域租金水平因物业和出租条件差异有很大的浮动区间。通过调查计算,管理层发现获得的市场租金参考甚至难以弥补集团控股公司的物业购置和运营成本。

在对企业进行初步分析后,普华永道发现不同于市场上以出租物业获利为主业的公司,集团企业的控股公司在购置物业到出租物业的过程中承担了有限的功能和风险。因此,对比市场租金水平,集团企业的控股公司应适当调低其向子公司收取的租金。另一方面,出于自身经营需要,集团企业的控股公司在购入物业后又对其做了许多装修和改造,若充分考虑这一差异的影响,控股公司应相较市场租金水平适当调高其关联租金价格。

针对上述问题,普华永道从以下几个方面入手,分析和评估了合理的租金定价方案:

价值链梳理与功能风险定位:通过梳理价值链,识别价值驱动因素,明确区分物业的法律所有权与实际使用权及控股公司和关联方的实际功能风险承担情况。

比较法市场租金调研与评估:调研并分析标的物业所在房地产市场的租金水平,运用租金评估中的比较法,缩小可比案例样本范围,并对最终选取样本做进一步的修正,获得市场租金基准。

成本法租金评估:采用成本法,对办公楼的购置成本(包括土地使用权取得成本和房屋建筑物构建成本)、装修装饰费用、运营费用和其他相关税费进行逐项分析。通过实地勘察物业,综合评估其经济使用年限,模拟未来的折旧支出,并据此求得成本法下的租金水平。

比较和汇总不同方法的分析结果与给出定价建议:对比比较法和成本法得出的租金水平,分析两者之间的差异原因。结合实际功能风险承担情况,向管理层建议合理的租金水平。

结语

综上所述,房地产租赁交易标的独特性和交易参与方的关联关系为关联房地产租赁交易的合理定价增加了难度。为更好地管理关联房地产租赁交易的多重税务风险,普华永道建议管理层从企业的实际经营情况出发,除了通过市场价格外,在特定情形下,还应充分考虑交易各方的功能风险定位,采用多个方法分析和交叉验证,以确保关联交易的转让定价符合独立交易原则。

(转自:四大新鲜事儿)

加载中...