新浪财经

量化专题 · 基于前景理论的期货策略研究

市场资讯 2024.10.08 20:28

来源:中信建投期货微资讯

        本报告观点和信息仅供符合证监会适当性管理规定的期货交易者参考。因本平台暂时无法设置访问限制,若您并非符合规定的交易者,为控制交易风险,请勿点击查看或使用本报告任何信息。对由此给您造成的不便表示诚挚歉意,感谢您的理解与配合!

本文作者 | 姜慧丽   中信建投期货金融工程量化分析师

本报告完成时间  | 2024年9月27日

摘 要

上一篇文章中我们对前景理论做了介绍,这一篇文章我们将介绍基于前景理论框架的累积前景理论及其在期货市场策略研究上的应用。

    累积前景理论的LA、PW、CC三个成分共同解释了人们在面对风险时的决策行为的复杂性。其中,有研究表明损失厌恶和概率权重成分是该理论预测能力的主要来源,而凹凸性成分贡献较小,但也在一定程度上影响了人们的决策过程。

    经过测试我们发现,累积前景理论中的参数在一部分范围内可以形成参数高原,表明参数在一定范围内时,测试结果表现可控。

风险提示本研究主要基于历史数据统计,存策略失效风险、模型误设风险、历史统计规律失效等风险。

上一篇文章中我们对前景理论做了介绍,这一篇文章我们将介绍基于前景理论框架的累积前景理论及其在期货市场策略研究上的应用。

累积前景理论模型

累积前景理论中前景值的计算如下:

前景值是投资者对某一前景,即一系列可能性和概率的整体评估。可以看到前景值的计算有两个部分构成,一部分是与价值相关的部分,即v(x),也就是我们上一篇文章中介绍的价值函数。一部分是与概率相关的部分即π(p),也就是我们上一篇文章介绍的概率权重。

    权重函数的具体形式如下:

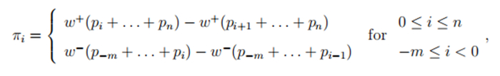
其中,w的定义如下:

在具体计算中,在xi ≥ 0时,为获得每个样本的概率权重πi,取所有等于或优于xi的结果的总概率,即pi+...+pn,以及所有严格优于xi的结果的总概率,即pi+1 + ... + pn,对每个总概率应用权重函数w+(·),并计算它们的差值。为获得结果xi < 0的概率权重,取所有等于或劣于xi的结果的总概率,以及所有严格劣于xi的结果的总概率,对每个总概率应用权重函数w−(·),并计算它们的差值。

价值函数的具体计算如下:

    投资者在评估风险时的风险偏好是资产定价中的基础假设之一。传统金融学中,评估风险的工具是预期效用理论。

    其中 α, γ, δ ∈ (0, 1) 并且 λ > 1。在作者Tversky and Kahneman (1992)的研究中,根据心理学实验,将参数值定义为(α, λ, γ, δ) 分别取值 (0.88, 2.25, 0.61, 0.69)。γ 、 δ衡量对尾部风险的在意程度。数值越低表明越在意尾部风险。λ表示风险厌恶程度,对负收益的敏感程度。λ越高,风险偏好越低,越厌恶风险。控制着拐点的剧烈程度。而α 决定价值函数的凹凸程度。

累积前景理论的三个成分

累积前景理论模型中的参数取值不同,表达的投资者特征也不同。这一小节中我们将对其进行介绍。

当表征风险厌恶的λ取值>1, 其他取值为1,表示Loss Aversion,简称LA成分;这一成分表达的是人们对于损失比对于等量的收益更加敏感的现象,即人们倾向于避免损失,并且避免损失的动机往往大于获取等量收益的动机。λ的值越大,表示损失厌恶的程度越高。

当表征尾部风险敏感度的γ和δ取值(0,1),其他取值为1,表示Probability Weighting,简称PW成分;这一成分表达的是人们对于小概率事件(特别是极端正面或负面结果)的过度反应或不足反应。具体来说,人们可能会高估小概率的极端正面结果,或者低估小概率的极端负面结果。

当表征凹凸性的α取值(0,1),其他取值为1,表示凹凸性Concavity/Convexity,简称CC成分。这一成分表达了人们对结果值变化的敏感性如何随结果值本身而变化。具体来说,当α小于1时,表示在收益区域呈现凹性(即边际效用递减),而在损失区域呈现凸性(即边际厌恶递增)。

累积前景理论的这三个成分共同解释了人们在面对风险时的决策行为的复杂性。其中,有研究表明损失厌恶和概率权重成分是该理论预测能力的主要来源,而凹凸性成分贡献较小,但也在一定程度上影响了人们的决策过程。

测试结果

我们使用上述的模型对期货市场中流动性较好的品种进行了测试。计算其前景值,并根据前景值做出未来的多空策略。在参数为para_dict = {'alpha':1, 'lambda':2.25, 'gamma':1, 'delta’:1}时,得到的测试结果如下。

针对累积前景理论中的四个参数,我们进行了一些参数稳定性测试。

在参数稳定性测试中我们发现,四个参数在部分区域可以形成一定的参数高原。

总结

在本篇文章中,我们首先对累积前景理论做了介绍,然后我们介绍了累积前景理论中的三个主要成分,最后我们对一些特定的参数进行了测试。

经过测试我们发现,累积前景理论中的参数在一部分范围内可以形成参数高原,表明参数在一定范围内时,测试结果表现可控。

参考文献

1. Barberis, N., Mukherjee, A., & Wang, B. (2016). Prospect Theory and Stock Returns: An Empirical Test. The Review of Financial Studies, 29(11), 3068-3107. https://doi.org/10.1093/rfs/hhw049

免责声明

向上滑动阅览

本报告观点和信息仅供符合证监会适当性管理规定的期货交易者参考,据此操作、责任自负。中信建投期货有限公司(下称“中信建投”)不因任何订阅或接收本报告的行为而将订阅人视为中信建投的客户。

本报告发布内容如涉及或属于系列解读,则交易者若使用所载资料,有可能会因缺乏对完整内容的了解而对其中假设依据、研究依据、结论等内容产生误解。提请交易者参阅中信建投已发布的完整系列报告,仔细阅读其所附各项声明、数据来源及风险提示,关注相关的分析、预测能够成立的关键假设条件,关注研究依据和研究结论的目标价格及时间周期,并准确理解研究逻辑。

中信建投对本报告所载资料的准确性、可靠性、时效性及完整性不作任何明示或暗示的保证。本报告中的资料、意见等仅代表报告发布之时的判断,相关研究观点可能依据中信建投后续发布的报告在不发布通知的情形下作出更改。

中信建投的销售人员、交易人员以及其他专业人士可能会依据不同假设和标准、采用不同的分析方法而口头或书面发表与本报告意见不一致的市场评论和/或观点。本报告发布内容并非交易决策服务,在任何情形下都不构成对接收本报告内容交易者的任何交易建议,交易者应充分了解各类交易风险并谨慎考虑本报告发布内容是否符合自身特定状况,自主做出交易决策并自行承担交易风险。交易者根据本报告内容做出的任何决策与中信建投或相关作者无关。

本报告发布的内容仅为中信建投所有。未经中信建投事先书面许可,任何机构和/或个人不得以任何形式对本报告进行翻版、复制和刊发,如需引用、转发等,需注明出处为“中信建投期货”,且不得对本报告进行任何增删或修改。亦不得从未经中信建投书面授权的任何机构、个人或其运营的媒体平台接收、翻版、复制或引用本报告发布的全部或部分内容。版权所有,违者必究。

(转自:中信建投期货微资讯)

加载中...