新浪财经

标准债券远期期现套利交易的实证研究

债券杂志

关注

作者:浦发银行总行金融市场部    崔崯东   王忆馨

标准债券远期作为银行间市场创新的标准化利率衍生品,为投资者带来了多元的利率风险管理和投资交易工具。

标准债券远期市场概况

2015年4月,中国外汇交易中心(以下简称“外汇交易中心”)联合上海清算所推出标准债券远期业务,创新性地以活跃的政策性金融债为标的,对合约期限、交割日、交割方式等合约要素进行了标准化约定,旨在完善银行间利率风险管理体系,丰富市场机构投资交易的工具。2018年3月和2020年3月,外汇交易中心先后两次对业务机制进行优化。2020年10月,标准债券远期挂钩标的由国开债拓展至农发债。2021年11月,实物交割合约推出。至此,标准债券远期市场运行机制基本发展成熟,合约类型愈加丰富。

标准债券远期采用“集中交易、分层清算”的模式,降低了标准债券远期的参与门槛,使得众多中小机构和非法人产品得以便捷入市,市场快速扩容。交易规模方面,自2021年推出实物交割合约以来,尤其是2024年优化报价机构考核机制后,双边报价价差大幅收窄,市场流动性明显增强。2024年上半年,交易规模累计近1900亿元,较2023年同期增长121%。交易品种方面,以现金交割为主,在总交易量中占比达到99%;5年期和10年期合约是主力期限品种,占比分别为51%和39%。参与主体方面,机构类型涵盖国有银行、股份制银行、城农商行、外资银行、证券公司、非法人产品等,其中证券公司、股份制商业银行和城商行是主要参与主体。截至2023年末,共有85家机构进入标准债券远期市场,其中39家为上海清算所清算会员,46家为通过综合清算会员间接参与的代理客户,代理清算规模占比从2020年末的0.08%逐年上升至2023年末的4.1%。

标准债券远期定价理论

无套利定价是远期、期货等金融衍生品合约定价的重要理论方法,它来源于经济学中的“一价定律”,即两种金融资产,如果未来任意时点的现金流完全相同,则它们的现值必然相同,否则投资者就可以通过卖出现值较高的资产并买入现值较低的资产来实现无风险收益。理论上,如果在现货市场买入可交割券,同时通过远期合约在远端卖出,投资收益应为0。因此,债券的远期理论价格应等于现货价格加上持有现券的资金成本,再扣除持有现券的票息收益,即:

其中,r为持有期间的平均资金成本;c为持有期间支付的票息(如有);tc为付息日到交割日的天数。

依据标准债券远期合约的定义,合约的到期交割价为一篮子可交割券在最后交易日的平均中债到期收益率,由此可根据一篮子可交割券的远期价值得出合约的理论到期交割价,再根据资金成本的假设即可反推出合约的当前理论价格。

期现套利实证研究

在标准债券远期的实际交易中,由于现实种种因素的干扰,例如资产流动性的限制、交易的摩擦成本、机构间资金成本的差异等,市场难以对合约理论价格形成一致预期,导致实际合约价格未必总是与理论价格保持一致,从而产生套利空间。

引入期货交易中期现套利的概念,正向套利一般是指投资者在期初买入现券的同时卖出远期合约,至期末通过交割平仓,反之则为反向套利。1979年,Capoza和Cornell从实际操作角度出发,提出了国债期现市场均衡状态的概念。Cornell和French(1983)基于股指期货构建出持有成本模型(Cost of Carry Model, CCM), 被奉为经典的期现套利模型,即在完美市场的假设下期货价格理应等于现货价格加上持有期间的成本扣除持有期间所收到的现金股息;Modest和Sundaresan(1983)进一步将期货与现货买卖过程中需要支付的交易成本及卖空限制考虑到持有成本定价模型中,根据期现多空方向的不同计算出期货理论价格的无套利区间,一旦市场价格超出这个区间则表示出现套利机会。

应用到标准债券远期交易中,由于现金交割合约的可交割券在合约上市初期就已经确定,且在上市期间不再切换,投资者可以通过反向持有可交割券与远期合约的头寸,捕捉套利机会。

(一)套利理论

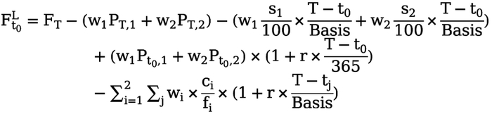
投资者在t0时刻建立套利头寸,此时标准债券远期合约的价格为Ft0,对应一揽子可交割券的价格为Pt0,1、Pt0,2;在T时刻,分别以FT和PT,1、PT,2的价格反向平仓远期合约与可交割券头寸。其间,资金平均成本为r,可交割券借贷费率为s1、s2。正向套利情形下,投资者的操作及现金流情况见表1。

表1  正向套利情形下,投资者操作及现金流

T时刻投资者的净现金流如下:

其中,w1、w2分别为两只可交割券的权重,根据合约定义,w1=w2=0.5,下同。

当CFT>0时,即存在正向套利收益。通过计算套利收益为0的临界状态下标准债券远期价格,可以得出无套利区间的上限Ft0U

对于反向套利的情形,投资者的操作及现金流情况见表2。

表2  反向套利情形下,投资者的操作及现金流

T时刻投资者的净现金流如下:

当CFT>0时,即存在反向套利收益。计算套利收益为0时标准债券远期价格,可以得到无套利区间的下限Ft0L

综上,得出标准债券远期的无套利区间为

当标准债券远期市场价格高于无套利区间上限,即Ft0>=Ft0U时,标准债券远期价值相对于现券被高估,投资者可以借入资金买入可交割券组合,同时卖出标准债券远期合约,并在标准债券远期合约价格回落至无套利区间时进行反向操作平仓;反之,当标准债券远期市场价格低于无套利区间下限,即Ft0<=Ft0L时,标准债券远期价值相对于现券被低估,投资者可以借券卖空可交割券组合,同时买入标准债券远期合约,并在标准债券远期合约价格回升至无套利区间时进行反向操作平仓(图1)。

图1  套利机制

(二)样本选取

标准债券远期的市场数据相对有限。上海清算所于每日日终公布合约的当日结算价,一般作为市场机构盯市估值的依据。通常,日终结算价取最后两小时成交价格按成交量的加权平均价;若最后两小时成交量不足5笔,则取该合约当日最后5笔交易的成交量加权平均价;否则,由外汇交易中心组织报价团报价。考虑到2024年1月1日外汇交易中心启动报价机构考核机制后,标准债券远期市场活跃度大幅提升,日终结算价能更加公允地反映合约的实际市场价格,同时结合不同合约及其可交割券的流动性,本文选取2024年1月1日至2024年5月15日间挂钩10年期国开债的CDB10近月合约结算价作为标准债券远期的样本数据。其中,2024年3月20日前以CDB10_2403作为近月的合约,可交割券为230210.IB和230205.IB;2024年3月20日后以CDB10_2406作为近月合约,可交割券为230210.IB和230215.IB。相应地,可交割券选取中债日终估值作为样本市场数据。

此外,鉴于金融机构的中期资金成本普遍挂钩SHIBOR 3M,本文以此作为持仓期间的平均资金成本,并以样本期间内可交割券的平均借贷利率50bp计算债券借贷成本,得到无套利区间与结算价关系(图2)。

图2  无套利区间与结算价关系

(三)实证结果

基于样本数据,假设每次标准债券远期合约价格超过无套利区间时,均开仓建立可交割券头寸各1000万元,同时反向建立2000万元CDB10近月合约头寸,至合约价格回落至无套利区间内时平仓,策略执行结果见表3。

表3  策略执行结果

从表3中可以看出,样本期间内共出现20次开仓机会,其中6次正向套利机会和14次反向套利机会,最短开仓时间1天,最长26天。除两次获得负收益外,其余均取得良好的正收益,累计净盈利79.13万元,最大单次盈利23.87万元,平均净盈利3.9万元。但是,策略开仓期间损益波动较大,最大日损益7.8万元。

通过观察上述结果得到,策略的净收益与开仓的时长无关,而是取决于开仓和平仓两个时刻之间的价差,例如,第1次开仓时间长达26天,但单次亏损31749.80元,期间最大损益达78052.80元;然而,第15次开仓时长仅1天,但获利238710.80元,这是因为2024年4月26日开仓当日标准债券远期价格高于无套利区间0.02元,至下一工作日合约价格跌至无套利区间下方1.06元位置。

(四)策略优化

基于上述结论可知,为提高套利的胜率及空间,可适当调高套利开仓的点位,扩大开仓和平仓之间的价差,即在无套利区间的基础上提高开仓上限并降低开仓下限。设置开仓上下限分别为Ft0L-和Ft0U+,则:

当Ft0>=Ft0U+时,建立正向套利仓位;当Ft0<=Ft0L-时,建立反向套利仓位。

同时,增加止盈和止损机制:当标准债券远期合约价格Ft向无套利区间相反方向变动超过b时,交易平仓止损;当Ft向无套利区间收敛超过c或触及无套利区间时,交易止盈离场,即:

图3  优化后的交易机制

参数a、b、c的设置会影响套利机会和收益:当a较大时,开仓条件较高,平仓时获利的价差变化空间更大,但开仓机会可能相应减少;当a较小时,开仓机会增多,但平仓胜率减小。同理,当b较大时,交易成功平仓获利的机会更大,但基差朝相反方向变动造成损失的风险也同步增大;当b较小时,可以将损失限制在较小范围内,但是失去了后期平仓获利的可能性。因此,参数的设置需要平衡套利机会和获利空间,使收益最大化。综合考虑实际交易过程中的摩擦成本,本文选取a=0.1、b=0.05、c=0.1,策略执行结果如表4所示。

表4  优化后的策略执行结果

优化后,相同样本区间内共开仓15次,累计净收益60.64万元,平均单次净收益4万元,最大日亏损38077.70元,显著小于原始策略。同时,平均开仓时间较原始策略也有所缩短,单次最长开仓时间11天,平均不到3天。调高开仓标准并设置止盈止损线后,尽管符合条件的开仓机会有所减少,但扩大了平仓获利的空间,且止损线的设置也减少了损益的大幅波动;止盈线的设置则提高了波段操作的频次,保障收益及时实现。

最后,通过观察样本区间内的数据可以发现,在市场剧烈波动时,因现券市场活跃,政金债的流动性较标准债券远期更胜一筹,对消息的定价更及时、充分,通常会导致二者之间出现较大的套利机会。例如,样本区间内单次净收益排名前三的三次套利:第一次出现在2024年3月6日,当日十四届全国人大二次会议记者会上央行官员以“目前我国银行业存款准备金率平均在7%,后续仍然有降准空间”回应市场宽货币预期,10年期国开债活跃券单日下行8bp,标准债券远期价格偏离合理定价区间,单次套利收益达7.5万元。第二次出现在一周后,由于监管机构加大对超长期限债券风险的关注,长债连续数日调整,快速回吐前期涨幅,套利机会出现。第三次出现在4月26日前后,市场在央行数次提示超长债风险后,叠加地产政策优化消息冲击,短短5日内长端债券回调幅度达20bp,日内现券市场的大幅波动再度带来套利机会。

因此,除优化调整开仓、止盈、止损线参数外,投资者还可以重点关注市场大幅波动时标准债券远期相对于现券的定价偏离,捕捉日内套利机会。

总结与展望

标准债券远期开拓性地以高流动性的政策性金融债为标的,是银行间市场标准化利率衍生产品的一次创新实践。它的推出为市场参与者提供了理想的利率债风险对冲工具,完善了利率衍生品市场体系,在套期保值、调节资产组合久期、提高资产配置及资金运用效率、促进债券市场价格发现等方面都具有重要意义。

由于标准债券远期上市运行的时间较短,相关的定价及策略探索有限,此时对标准债券远期与现券的定价关系进行实证分析,有利于评估产品运行初期市场的有效性和功能发挥,为后续标准债券远期在套期保值和套利交易方面的应用提供有益参考。本文借鉴国债期货市场的研究经验,选取活跃度较高的10年期国开债活跃券和CDB10近月合约,分析当前标准债券远期市场定价的合理性及潜在期现套利空间,并深入探讨开平仓及止损条件的设置对套利机会和收益的影响。在实际操作中,还需考虑真实交易环境下市场流动性的变化,结合市场买卖双边报价调整无套利区间的范围,测算交易胜率及获利空间。

展望未来,标准债券远期市场的持续扩容,尤其是非法人产品的入市,将为市场注入新的活力。非法人产品作为仅次于商业银行的政策性金融债主要持有者,其管理利率风险的需求有助于向标准债券远期市场提供长期的流动性支持,促进双向交易的可能性,提升市场的活跃度和流动性。外汇交易中心对报价机构考核机制的优化,也将进一步压缩买卖双边报价价差,降低交易摩擦成本,提高市场运行效率。此外,对于标准债券远期交易策略的探索,无论是依据利率走势主观开展的同品种交易策略,如曲线利差策略、新老券利差策略等,还是跨品种的与现券、利率互换、国债期货等之间的套利交易,都将有效促进市场效率的提升和均衡价格的实现,更好地发挥市场价格发现功能,使得标准债券远期不同合约之间、与现货市场之间保持长期均衡关系,促进标准债券远期市场长远健康发展。

原文《标准债券远期期现套利交易的实证研究》全文将刊载于中国外汇交易中心主办《中国货币市场》杂志2024.08总第274期。

加载中...