专题研究丨深度解析宝湾物流REIT的估值及投资价值
REITs行业研究
一、宝湾物流REIT简介及分析
1.1 宝湾物流REIT原始权益人介绍及产品要素
原始权益人宝湾物流控股有限公司成立于2011年7月,截至2024年6月,公司注册资本36.44亿元,大股东为深圳市新南山控股(集团)股份有限公司,实际控制人为国务院国资委。宝湾物流是中国南山开发集团旗下高端物流设施投资平台,作为国内知名的物流园区开发商和运营商,宝湾物流园区规模在国内位居前列,而且未来3-5年运营规模按规划将有更快增长,在全国经济热点区域将形成网络效应。公司在物流园区选址、开发建设、运营管理等方面均积累了丰富的经验,从项目开发、价格标杆、客户资源、服务标准、品牌声誉、盈利能力等多方面来看,宝湾物流在各地物流仓储市场上均处于领先水平。
截至2023年底,宝湾物流继续围绕核心区域布局优质项目,在全国范围内拥有并管理超过80个智慧物流园区,布局超过40个核心物流节点城市,全国园区投运面积超过700万㎡,规划、在建、成熟运营、管理的物流设施总面积超过900万㎡。
图表1 宝湾物流主要已运营园区情况
《23宝湾物流MTN001:宝湾物流控股有限公司2023年度第一期中期票据募集说明书》、作者整理
1.2 宝湾物流REIT现金流分派率情况
根据可供分配金额预测表,2024年4-12月预计营收7,363万元,净利润2.78万元,可供分配金额3,888万元,净现金流分派率4.51%(年化)。2025年预计营收9,650 万元,净利润 -145万元,可供分配金额5,500万元,净现金流分派率4.52%。
图表2 宝湾物流REIT现金流分派率预期值
二、宝湾物流REIT所持有的基础资产简介及分析
2.1 宝湾物流REIT基础资产情况
宝湾物流REIT底层资产为天津宝湾物流园、南京宝湾物流园和嘉兴宝湾物流园。三个项目均位于二线城市的物流核心区域,且产品全部为单层高标仓,层高达到10.5米,双边库占比较高,库间距超40米,租户存储装卸空间利用率、存取效率及灵活性相对更高,在近年以双层仓、多层仓为主的物流园具有稀缺性。三个项目均为仓储用地,通过出让取得。合计占地面积61.62万㎡,总建面32.31万㎡,总可租赁面积31.7万㎡。运营起始时间为2009-2018年,均已运营超过5年,运营成熟,经营可追溯性较高。
(1)天津宝湾物流园基础资产情况:项目均为单层高标仓,合计16栋,配备综合办公楼等配套设施,多数为双边装卸月台。项目2009年开始运营,运营期超过14年。截至2023年底,项目可出租面积152,235㎡,已出租面积148,935㎡,出租率为97.8%。项目2021-2023年历史平均出租率为99.7%,平均租金单价为24.29元/㎡/月。
(2)南京宝湾物流园基础资产情况:项目均为单层高标仓,合计7栋,配备综合办公楼等配套设施。双边库占比超过70%,符合当地快递快运类货品、物资高周转客户的用仓需要。项目2014年开始运营,运营期超过9年。截至2023年底,项目可出租面积107,773㎡,已出租面积105,530㎡,出租率为97.9%。项目2021-2023年历史平均出租率为92.8%,平均租金单价为31.48元/㎡/月。
(3)嘉兴宝湾物流园基础资产情况:项目均为单层高标仓,合计5栋,配备综合办公楼等配套设施,多数为双边装卸月台。项目2017-2018年开始运营,运营期超过5年。截至2023年底,项目可出租面积56,998㎡,已出租面积56,998㎡,出租率为100%。项目2021-2023年历史平均出租率为97.2%,平均租金单价为36.28元/㎡/月。
2.2 宝湾物流REIT基础资产的经营财务数据
宝湾物流REIT基础资产经营数据:三个项目2021-2023 年营业收入合计分别为 10,169万元、9,760 万元和 9,514 万元,调整后运营净收益合计分别为 7,551 万元、6,530 万元和6,433 万元。基础设施项目总体营业收入、运营净收益较为稳定,营业情况良好。
需要补充的是,宝湾物流曾搭建AMC资产管理平台负责仓储园区管理,一部分物业管理费直接支付予AMC公司,2023年部分项目从AMC公司抽离,使得运营管理费有所下降。后续发行公募REITs,运营管理由宝湾物流统筹,不会出现历史支付AMC公司额外物业管理费的情况。
图表3 宝湾物流REIT基础资产的经营财务数据(单位:万元 )
三、 公募REITs的估值模型介绍
NAV(net asset value)指公募REITs基金的净资产值,和一般企业的股东应占权益(equity book value)是对应的。NAV是全球REITs市场通行的估值参照指标,对中国同样适用。由于NAV直接指向和反映资产价值的变化,所以投资者要做出合理科学的投资决策还是需要对底层资产的NAV值进行分析和判断。
中国公募REITs应监管要求,会在公募基金层面采用成本法计量,未来随着时间推移,底层资产的账面价值和公允价值可能逐步产生背离,因此简单参考表内基金净值并不严谨。投资者可以以年报披露的最新第三方基础设施项目评估报告作为资产价值的原点,然后再对公募REITs基金的资产负债表中的其他资产和负债等科目调整后得到NAV公允参考值。目前关于国内公募REITs的NAV公允参考值的简易计算公式为:
在计算基础资产评估值的过程中,市场上各个投资者对基础资产的资本性支出、短期NOI/税前现金流增长率和资产组合风险会产生不同的判断,故我们以NAV公允参考值为起点,额外对资本性支出预期差、短期NOI/税前现金流增长率预期差和资产组合风险进行调整,得到基准NAV。
根据海外市场经验来看,REITs基金的管理团队附加值、财务杠杆率、运营管理效益、收并购增加值这四个因素都会对REITs的估值产生较大影响。所以我们后续会以基准NAV为基础,将上述四个因素进行量化估算,调整得出REITs估值。
3.1、 NAV值到基准NAV值
海外成熟市场的投资机构将NAV作为REITs估值模型中的基础已实行了多年,基本也成为行业对REITs估值的惯例。但随着行业及REITs市场的发展,NAV指标已较难满足REITs市场的投资者的需求,比如在对NAV的估值参数选取上主要是基于私募市场的数据和信息,会忽略一些在不动产私募市场的估值偏向(一般私募市场估值会偏向于热点城市和区域的具有高流动性的不动产);且以NAV值计算出的REITs估值,在不同市场之间进行比较具有一定局限性;NAV计算过程中所利用的信息具有较高的私募市场专属性,与公开市场投资者的预期判断会有差异。
正是因为NAV具有上述的一些不足之处,所以我们会在NAV的基础上通过资本性支出预期差、短期NOI/税前现金流增长率预期差和资产组合风险这三个因素进行调节,得出基准NAV值,该值主要是从二级市场投资者的角度出发,聚焦于对每个基础资产的预期收益率进行深度分析,过滤掉私募市场中影响基础资产价值的干扰项。
3.2、基准NAV到REITs估值
当我们从NAV计算出基准NAV后,就以基准NAV为基础,分别对管理团队附加值、财务杠杆率、运营管理效益、收并购增加值这四个影响REITs价值的变量进行量化处理,然后再依次叠加计算出REITs估值。接下来我们分别对这四个变量进行分析。
3.2.1管理团队附加值
优秀的管理层团队可以为REITs基金的持有人创造价值,反之则会减少价值。由于该指标是一个较难量化计算的数据,更多的是依靠定性分析,且因为中国的REITs市场刚刚开始,尚未积累足够多的数据和经验。所以目前我们为国内REITs基金的管理层团队打分主要是参考海外成熟REITs市场的经验,并结合国内的实际情况进行分析总结。
我们对于REITs基金的管理团队附加值评判主要基于以下四个方面:
(一)REITs管理团队的领导层
1.1 职业道德和专业能力
1.2 公司内部的工作氛围和团队文化
1.3 整合多渠道的内外部资源能力
(二)REITs管理团队关于REITs的业务战略规划和执行情况
2.1 业务战略发展规划的可行性和合理性
2.2 业务的市场定位及执行情况
2.3 业务战略发展规划的总体达成目标
(三)REITs管理团队的风险管理能力
3.1 多样化组合资产的风险管理能力
3.2 不动产资产的风险管理能力
3.3 不动产项目公司的风险管理能力
(四)REITs的整体治理水平
4.1 REITs管理层的情况
4.1.1 管理层稳定性和独立性
4.1.2 管理层的投资决策机制
4.1.3 管理层团队过去的工作经验及声誉
4.2 REITs收购和反收购的治理机制
4.2.1 收购和反收购条款的设置
4.2.2 REITs持有人份额比例限制条款
4.2.3 份额持有人决策权条款
4.2.4 内部管理层的否决条款
4.3 各方利益潜在冲突的治理机制
4.3.1 与管理层的业务往来
4.3.2 内外部投资者的税收政策
根据REITs咨询机构Green Street关于REITs管理团队能力对于美国REITs价值的影响分析归纳图,我们暂且对国内REITs基金的管理团队附加值也采用20等级打分制,其中平均值为10分,其对应的对REITs价值的影响值为0%;最高分为20分,其对应的对REITs价值的影响值为10%;最低分为0分,其对应的对REITs价值的影响值为-10%。
3.2.2 财务杠杆率
理论上,在没有杠杆,及不考虑所得税影响(下同)时,分红收益率等于资本化率。实践中,由于基础资产净收入与分红的金额之间会存在不同,基础资产交易价与基金市值亦有差异,即便不考虑杠杆,资本化率与分红收益率也多不相同。
海外REITs通常会有对负债的规定。如香港、新加坡都要求REITs的负债比率不超过50%。因此,有杠杆时,分红收益率与资本化率会有差异,差异的程度与利率大小和杠杆率相关。利率越低时,分红收益率越高。另外,杠杆率也对结果有影响。
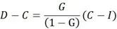
根据分红等于基础资产净收入减去利息(不考虑所得税影响),我们可以用公式来表达,如下:
其中:
D是REITs的分红收益率(Distribution Yield);
V是基础资产价值(Property Value);
C是基础资产的资本化率(Cap Rate);
G是REITs的借贷比率(Gearing);
I是借贷利率(Interest Rate);
从以上公式,我们可以推导如下:
以上公式即表达了分红收益率与资本化率和利率的关系,该关系均为线性关系,其中与资本化率正向,与利率成反向。
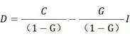
公式两边同时减去C并进行简化,则有:
该式说明,当利率I小于资本化率C时,(C-I)>0,此时D>C,表明分红收益率受到杠杆效果增加了。当利率I大于资本化率C时,D-C<0,即借贷不能起到正向的杠杆作用,任意负债率G下,均会导致分红收益率D低于资本化率C。该公式也可说明利率与资本化率之间的差异,可导致的分红收益率与资本化率之间差异的程度,杠杆越大,即G值越大,差异程度就越大,杠杆效应越明显。
如前所述,REITs的财务杠杆率对于提升分红收益率有较好的作用。若市场投资者已形成了分红收益率预期目标值,则REITs通过财务杠杆率也能影响REITs的估值。
3.2.3 运营管理效益
在REITs市场中,肯定会有部分REITs基金相比其他的REITs基金运营管理效率更好,但是这种运营管理效率的差异性在基准NAV计算过程中并没有得到体现。我们以同类型底层基础资产的REITs基金的运营管理成本(OMC)/基准NAV的比值来衡量该类型底层基础资产中各个REITs基金的运营管理效益。
首先,我们计算出市场上已有的同类型底层基础资产的各个REITs基金的(OMC)/基准NAV的比值,然后对这些(OMC)/基准NAV比值进行排序,选出最大值(Max)和最小值(Min),并计算出极差(Range),再通过下述公式计算出基准比较值(Reference):
其次,将基准比较值(Reference)减去各只REITs基金的(OMC)/基准NAV比值,得出比值差额(Difference)。然后再根据市场投资者对该类型底层基础资产REITs基金的年化分派率(Annualized distribution rate)预期值,用各只REITs基金的比值差额除以年化分派率预期值,就能得到因各只REITs基金的运营管理效益而对基准NAV估值的影响。计算公式如下所示:
3.2.4 收并购增加值
我们暂时先引用Green Street对于美国REITs市场的研究结果,来分析REITs的扩募并购事项对于其二级市场估值的影响情况。
其计算公式为:
REITs估值=40%*并购后REITs估值+60%*并购前REITs估值
在国外的REITs成熟市场中,被收购资产的分派率预期值普遍会高于已上市REITs的分派率预期值,从而并购新的资产会对REITs的估值有提升作用。根据目前已完成的扩募公募REITs的价格表现情况,我们设定REITs发生并购资产事件后,会导致其估值相较其并购前估值上涨5%,如图所示 :
四、宝湾物流REIT的2024年估值测算
根据上述的REITs基金估值的理论分析,我们参考宝湾物流REIT的募集说明书、评估报告等公开信息资料,测算出宝湾物流REIT的NAV公允参考值、基准NAV和2024年REIT估值(短期投资者视角)。结果如下表所示:
图表6 宝湾物流REIT的2024年估值预测值(短期投资者视角)
接下来,我们会对宝湾物流REIT的各个指标的计算过程进行分析。
4.1 资本支出预期差
根据宝湾物流REIT的募集说明书、评估报告里的数据和内容。我们分别推算出宝湾物流REIT的2024年NOI金额,资本支出预期差金额,以及因资本支出预期差所引起的NAV值的增减比例和金额,如下表所示:
图表7 资本支出预期差对NAV影响
4.2 短期NOI增长率预期差
以宝湾物流REIT的最新评估报告中对于基础资产NOI增长率(中长期增长率2.75%)的设定值为基础,我们根据南京市、嘉兴市和天津市过去6年的仓储平均租金价格的变化情况,设定短期NOI增长率预期值为2.25%。根据资产评估模型,这两个数值的预期差会对NAV值产生影响,具体数据如下表所示:
图表8 短期NOI增长率预期差对NAV影响
4.3 资产组合风险因素
目前宝湾物流REIT所持有的3个底层基础资产都是仓储物流园区,属于同一类型资产,但分别位于南京市、嘉兴市和天津市,同一REITs基金控制的基础设施项目之间的相互影响度较低。最新的基础设施评估报告在做估值时,将南京市和天津市的项目的折现率设为8%,将嘉兴市项目的折现率设为8.25%。这些折现率只是针对于单个项目的情况,并没有考虑这三个项目之间的相互影响可以有效的分散宝湾物流REIT的整体风险。
根据这三个城市的仓储市场在过去6年的租金情况,我们分别计算了这三个项目的统计参数和形成资产组合之后的统计参数,如下图所示:
图表9 南京市、嘉兴市和天津市的仓储市场平均租金的统计参数
根据国外的REITs成熟市场的运行情况,持有多资产、多区域的REITs对经济周期波动的适应性更强,且能更好的分散资产组合风险,从而其市场估值一般要比单资产、单区域的REITs更好一些。在我们的估值模型中,主要是通过对各个资产的折现率和相关系数的调整优化来反映资产组合风险因素对REITs估值的影响。根据上图所列示的统计参数数据,我们测算出资产组合风险因素对NAV值产生的影响,具体数据如下表所示:
图表10 资产组合风险因素对NAV影响
4.4 管理团队附加值
根据REITs咨询机构Green Street关于REITs管理团队能力对于美国REITs价值的影响分析归纳图,我们暂且对REITs管理团队附加值也采用20等级打分制,其中平均值为10分,其对应的对基准NAV的影响值为0%;最高分为20分,其对应的对基准NAV的影响值为10%;最低分为0分,其对应的对基准NAV的影响值为-10%。宝湾物流REIT的管理团队附加值影响情况如下所示:
图表11 管理团队附加值对宝湾物流REIT的基准NAV影响
4.5 财务杠杆率
根据目前的公开信息资料,宝湾物流REIT未进行负债,所以我们现在在测算宝湾物流REIT的估值时,暂且不考虑REITs基金的财务杠杆率对基准NAV的影响。
4.6 运营管理效益
目前物流仓储REITs基金总共有5只,我们根据这5只物流仓储REITs基金的募集说明书、评估报告等公开信息资料,分别计算出2024年运营管理成本。为了便于这5只物流仓储REITs的比值具有可比性及时效性,改用最新评估报告的估值或基金最新净值代替基准NAV来估算(OMC)/基准NAV比值,并设定物流仓储REITs的年化分派率预期值为4.5%,从而计算出宝湾物流REIT的运营管理效益对其基准NAV的影响,具体计算过程如下所示:
图表12 运营管理效益对物流仓储REITs的基准NAV影响
注:1、此处计算各个基础设施REITs的运营管理成本(OMC)/基准NAV的比值时,为了便于各REITs的比值具有可比性及时效性,改用最新评估报告的估值或基金最新净值代替基准NAV估值进行比例计算。
2、运营管理费和基金固定管理费取自2024年数据。
3、此处设定仓储物流REITs的年化分派率预期值为4.5%
图表13 运营管理效益对宝湾物流REIT的基准NAV影响
4.7 收并购增加值
根据当前的REITs基金监管制度,只有上市满一年的REITs基金才能进行扩募收购新资产,故我们认为宝湾物流REIT在2024年进行扩募收购新资产的可能性较低,所以暂且不考虑REITs基金的收并购增加值对基准NAV的影响。
五、宝湾物流REIT的估值分析及建议
5.1 宝湾物流REIT估值的敏感性分析
根据上述宝湾物流REIT 2024年的估值模型及7个主要估值参数的测算,我们预计短期内资本性支出预期差、短期NOI/税前现金流增长率预期差、资产组合风险,财务杠杆率这4个主要估值参数大概率不会出现大幅调整。接下来我们主要从管理团队附加值、运营管理效益、收并购增加值这3个估值参数进行敏感性分析。
(1)管理团队附加值的敏感性分析
通过各个因素的评测,目前我们对宝湾物流REIT的管理团队附加值赋予的评分为14分。若2024年,宝湾物流REIT在REITs管理团队的领导层、REITs的业务战略规划和执行情况、REITs管理团队的风险管理能力、REITs的整体治理水平等方面有了更好的完善和优化,我们更愿意把宝湾物流REIT的管理团队附加值给予更高的评分。
若评分提升为19分,则宝湾物流REIT 2024年估值提升0.0387元/份。
(2)收并购增加值的敏感性分析
虽然根据目前的法规,宝湾物流REIT在2024年无法进行扩募收购新资产,但是在上市满一年之后,即在2025年的估值过程中,就必须要考虑因收并购新资产而对宝湾物流REIT估值的提升作用。所以对于投资期限超过1年的中长期投资机构来说,在对宝湾物流REIT估值过程中,收并购增加值务必要考虑进来。
若添加宝湾物流REIT的收并购附加值,则宝湾物流REIT 2024年估值可提升0.0781元/份。
(3)运营管理效益的敏感性分析
目前在5只物流仓储REITs中,宝湾物流REIT的运管费占比(运营管理费和基金固定管理费之和除以评估报告估值)最高,为1.2014%,进而也导致对其2024年估值的影响比例为-7.097%,估值减少金额为0.2750元/份。
假定宝湾物流REIT的运管费占比在2024年下降10%、20%和30%的情况下,我们对其估值的影响金额进行测算,如下图所示:
图表14 运管费占比对宝湾物流REIT估值影响的敏感性分析
5.2 宝湾物流REIT的估值分析及建议
目前宝湾物流REIT的评估价格为4.0567元/份,而根据上述REITs基金的估值定价模型(短期投资者视角),我们预计宝湾物流REIT在2024年的估值为1,172,940,000元,即3.9098元/份,低于当前评估值。但3.9098元/份的估值主要是针对于短期投资者,所以在估值过程中,未考虑宝湾物流REIT的收并购增加值。而对于中长期投资者而言,则需要将宝湾物流REIT的收并购增加值添加进来,则估值可达到3.9879元/份。
综上所述,对于那些预期宝湾物流REIT可以有效的降低运管费占比的中长期投资者来说,目前4.0567元/份的评估值具备一定可行性。若按照招募说明书中关于2024年可供分配金额预测值5534.36万元计算,宝湾物流REIT在2024年的分派率约为4.51%,即分红金额为0.184元/份。