新浪财经

华泰金工 | 超额之选:沪深300指增ETF

市场资讯 2024.09.11 22:26

当前沪深300指数行业与市值分布较为均衡,波动较小且成份股盈利稳定,整体分红率较高且估值处于偏低水平,是投资者长期投资值得关注的宽基指数。近年来,投资者对高质量、盈利稳定、持续分红和合理估值的权益资产要求越来越严格,沪深300指数在各方面均展现了其独特的适应性特征。由于其成分股结构丰富,风格、行业、市值分布合理,沪深300指数在市场动态变化中持续保持优势。总体来看,沪深300指数成份股具备“优质、市值规模大、竞争壁垒高、行业分布合理”等特点,使其成为当前权益市场中配置的良好品种。

核心观点

沪深300指数增强ETF或是当前获取超额的良好品种

当前沪深300指数行业与市值分布较为均衡,波动较小且成份股盈利稳定,整体分红率较高且估值处于偏低水平,是投资者长期投资值得关注的宽基指数。沪深300指数增强ETF兼具指数增强和ETF高透明度的优势,能够长期稳定地相对沪深300有超额收益,其透明性高且流动性强,为投资者提供了一定的安全性和便利性。我们以华安沪深300增强策略ETF为例进行归因分析,可拆解出其超额来源和成份股特征。

沪深300成份股涵盖中国高质量企业,当前分红率高且估值偏低

近年来,投资者对高质量、盈利稳定、持续分红和合理估值的权益资产要求越来越严格,沪深300指数在各方面均展现了其独特的适应性特征。由于其成分股结构丰富,风格、行业、市值分布合理,沪深300指数在市场动态变化中持续保持优势。总体来看,沪深300指数成份股具备“优质、市值规模大、竞争壁垒高、行业分布合理”等特点,使其成为当前权益市场中配置的良好品种。

绝大多数公募沪深300增强产品长期可相对沪深300有稳定超额

通过严格的风险控制管理和卓越的超额收益获取能力,过去十年间,绝大多数公募沪深300增强产品表现优越,每年均成功实现了正向超额收益。这些产品在多种市场环境中表现出色,特别是在沪深300指数上行时能够锦上添花,为投资者带来更高的收益,而在市场下行时则展现出稳健的防御能力,有效缓冲了风险,避免了重大损失。这种稳健的表现使得沪深300增强产品成为投资者追求长期稳定增长的重要选择。

沪深300增强策略ETF兼具指数增强和ETF高透明度的优势

以华安沪深300增强策略ETF为例,其上市以来截至2024/8/31累计超额收益达到10.24%,超额最大回撤幅度仅为5.45%。年内累计收益为4.44%,超额收益达7.64%。华安沪深300增强策略ETF的相对表现较优,在较低的跟踪误差下实现了10.24%的累计超额回报。华安沪深300增强策略ETF的高收益风险比特征始终如一,展示出其对市场变化的强适应性和策略的稳健性。

归因显示,华安增强策略ETF成分股具有高动量、高盈利、低波动特性

由于华安沪深300增强策略ETF有更为详尽的持仓数据,通过对其归因分析我们发现,其在市值与非线性市值因子上的超额暴露较小,波动性低,表明其对市值风格进行了严格限制,降低了风格风险。在其他因子上,基金低配Beta、残差波动率、流动性、成长等因子,当前高配价值、盈利、动量因子,倾向于高动量、低估值、高盈利和低波动的股票,同时Alpha选股表现理想,整体稳健。

风险提示:本报告对历史数据进行梳理总结,历史结果不能简单预测未来,规律存在失效风险。报告中涉及到的具体基金产品不代表任何投资意见,请投资者谨慎、理性地看待。

正    文

沪深300等A股“核心资产”的长期配置价值凸显

近年来,沪深300指数及其增强型投资产品因其众多优点,逐渐成为股票投资领域内具有吸引力的配置选项。被誉为市场“核心资产”的沪深300成分股,代表了各行业的领军企业,有着卓越的稳定性、强劲的盈利能力和充沛的现金流。这些公司在各自行业内往往处于领先地位,能够在市场波动中保持较高的风险抵御能力和稳定的业绩。同时,沪深300成分股在资产质量和财务健康方面也具有明显的优势,为投资者提供了可长期投资的资产。

成份股分布:沪深300行业与市值分布均衡

沪深300指数的行业和市值配置日益趋向平衡,反映出A股市场在市值及结构分布上的持续改善。起初,沪深300指数的构成中,金融行业占据了较大的份额,且个别金融股的权重偏高,但随着市场的不断成熟,指数成分股的行业分布逐渐向均衡发展。目前,沪深300的成分股横跨了28个申万一级行业,不仅包括传统的金融行业,消费、高端制造、科技等领域的权重也显著增加。

这种变化也代表了指数“核心”内涵的扩展,沪深300成份股更广泛地纳入了新兴制造业、消费升级、高科技等高质量成长行业的龙头企业。沪深300的这种多元化配置使其不仅能够保持稳健的基础盘,还能够捕捉到新兴产业的增长红利,展现出更强的成长潜力和抗风险能力。因此,沪深300指数成为了兼具稳健性和成长性的投资工具,为投资者提供了更加全面的市场代表性和更高质量的资产配置选择。

盈利水平:沪深300稳健低波动,适合长期投资

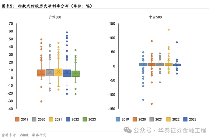
沪深300样本股的净利润率和股东权益报酬率(ROE)较为集中,显示出其持续的获利能力与稳固的财务状态。与其他A股代表性股票指数相比,沪深300的成份股盈利能力数据在横截面的分配上更为均衡,较少见到异常值的出现,这导致它在不同的市场阶段的时间序列变动上也相对较小。沪深300指数的编制方法也决定了市场进行周期性的调整后,指数也能挑选出那些具有卓越盈利能力和可靠性的公司作为代表。

沪深300指数的成分股覆盖了多个核心领域,包括以大国制造为代表的传统工业龙头、以科技创新为主的新兴产业先锋,以及深耕国民消费的百年老字号企业。这种多元化的布局使得指数不仅具备抗风险能力,更能够在不同经济环境下保持盈利的稳定性。沪深300更能代表中国核心资产的高质量发展路径。其成分股的选择标准和定期调整机制确保了指数始终聚焦于那些盈利能力稳定、现金流充裕、并能持续提供高回报的企业。

因此,沪深300指数凭借其成分股的盈利质量和稳定性,成为追求稳健收益和高盈利质量的投资者的重要选择之一。无论是在传统制造业的坚实基础上,还是在新兴科技和消费升级的广阔前景下,沪深300都展现出独特的优势,为投资者提供了一个高质量、低波动的投资工具。

沪深 300 成分股整体表现出较为稳定和适中的成长性,其指数的盈利增速较稳定。这种稳 定性反映了沪深 300 成分股的相对均衡和低波动性,适合长期投资者的需求。相比之下, 中证 500 等指数的成分股之间增长速度差异较大,正负向增速范围宽泛,部分标的在市场 上行阶段具备较高的成长性和利润弹性,能够带来较高的投资回报。然而,这种增长特征 在整体成分股中并不统一,导致指数整体的盈利增速表现波动较大。因此,沪深 300 指数 在成长稳定性方面具有明显的优势,适合希望规避波动风险的投资者。

估值水平:沪深300静态和动态估值处于历史低位

目前,沪深300指数的估值水平位于历史低点,这种低估值的状况不仅反映在市盈率(PE_TTM)和市净率(PB_LF)的静态数据上,也体现在对未来增长回报的预期上。

具体而言,沪深300指数的市盈率PE_TTM已经降至过去十年间15%以下的分位水平。尤其值得注意的是,其市净率PB_LF更是跌至过去十年5%以下的分位水平,这种使得沪深300的投资价值凸显。

与此同时,沪深300指数的动态估值也显示出其独特的优势。基于PB-ROE的动态分析,该指数目前处于趋势线以上且与趋势线的绝对距离较大。这意味着在预测的资产回报率较高的情况下,其动态估值相对偏低,为投资者提供了更具吸引力的风险收益比。在市场回升阶段,这种动态估值的优势有望进一步释放,为投资者带来更为可观的回报。

分红水平:2021年以来沪深300的分红率有所抬升,成份股现金流充沛

近年来,具有高股息的股票越来越受到关注,这与投资者对稳健性、类似固定收益以及低风险投资的偏好不谋而合。在沪深300指数的成分股中,有很大一部分股票具有派发股息的特点,导致该指数的股息率在2021年以来持续趋势增长。沪深300的成分股展现了强劲的现金流,这映射出这些公司稳健的运营状态。

这种充裕的现金流主要来源于成分股企业在各自行业中的龙头地位及其成熟的运营模式,确保了企业具备较强的抗风险能力。同时,稳健的现金流还为公司提供了可靠的分红基础,能够在未来持续为投资者带来稳定的分红收益。基于此,沪深300指数不仅体现了成长稳定性,还在分红收益方面表现出较高的吸引力,成为了追求长期稳定回报投资者的一个重要选择。

绝大多数沪深300指数增强基金长期具有正向超额

公募沪深300指数增强型产品在历史回报上展现了稳健的特性。为了更准确地评估其收益,我们剔除了基金不同份额类型之间的重复数据。截至2024年8月底,目前有109只满足成立一年以上且仍在运营的沪深300指数增强基金和增强型ETF,它们的管理规模总计约为667亿元,并且这一数字还在不断上升。

回顾过去十年的业绩,不管市场如何起伏不定或风险如何变动,大多数年份里沪深300指数增强型产品的中位数超额收益保持在正值。这主要归功于公募指数增强产品在风险控制上的严格性以及在行业配置、成分股选择和投资风格上的精细化管理。它们的超额收益主要来自于选股策略所产生的alpha收益,一定程度上避免了因行业或风格偏好而导致的收益波动。因此,这类产品绝大多数能在长期投资中实现持续的正超额收益。

以华安沪深300增强策略ETF为例,拆解指增基金策略

指增基金通常表现出长期超额收益,这主要得益于其策略的有效性和灵活的资产配置能力。普通指增基金与指增ETF在运作模式和信息披露上存在显著差异。普通指增基金通常是封闭式或开放式基金,基金经理有更大的自由度来调节仓位和选择投资标的,基金的净值每日公布一次,信息披露较为有限。而指增ETF则是交易所交易基金,投资者可以在交易时段内实时买卖,ETF每日的持仓、净值、申赎情况等信息披露更为透明和及时,这使得投资者能够更加清晰地了解基金的运作情况。通过其每日公布的持仓明细,投资者可以深入分析其成分股的变化及其与市场的联动性,从而做出更为理性的投资决策。我们以华安沪深300增强策略ETF为例进行详细分析。

华安沪深300增强策略ETF基本信息

华安沪深300增强策略ETF(代码:561000)成立于2022年12月21日,并于2023年1月11日正式上市交易。该产品由许之彦和张序共同管理,是市场上仅有的三只沪深300增强策略ETF之一。其主要优势在于采用指数增强策略,在有效控制跟踪误差的前提下,力求获得超越沪深300指数的收益表现。

作为ETF产品,华安沪深300增强策略ETF具备较高的交易便利性和透明的持仓结构,使投资者能够更方便地进行观察和风险管理。管理费率为0.50%,托管费率为0.10%,费用结构合理,进一步提升了产品的吸引力。总体而言,该ETF结合了指数增强策略的收益潜力与ETF产品的交易灵活性,为投资者提供了一个兼顾增长与风险控制的选择。

华安基金管理有限公司成立于1998年,总部位于上海,是中国证监会批准成立的首批五家基金管理公司之一。作为中国资产管理行业的先行者之一,华安基金深耕资本市场,至2024年6月,公司公募基金管理总规模已达到6463.95亿元,其中非货币公募资产管理规模超过3500亿元。多年来,华安基金累计为超过1亿客户提供了专业的投资服务,并为投资者累计实现分红超过1000亿元。

指增基金的基金经理多有较强的数理背景

指数增强基金通常需要有较强数理背景的基金经理进行管理。例如华安沪深300增强策略ETF的两位基金经理信息如下:

许之彦,理学博士,拥有20年的证券与基金从业经验,并取得国际数量金融工程师(CQF)资格认证。早年曾在广发证券和中山大学经济管理学院博士后流动站专注于金融工程领域的研究。2005年,许博士加入华安基金管理有限公司,最初担任研究发展部的数量策略分析师。2008年4月至2012年12月期间,他担任华安MSCI中国A股指数增强型证券投资基金的基金经理,之后逐步扩展管理的产品范围,目前管理的基金总规模达到744.53亿元。

张序,硕士学位,具有7年的金融与基金行业经验。职业生涯初期,他在瑞银企业管理(上海)有限公司担任量化分析师。自2017年2月加入华安基金以来,张序历任指数与量化投资部的量化分析师及基金经理助理。2020年5月,他成为华安事件驱动量化策略混合型证券投资基金的基金经理。随后,2021年1月起,张序兼任华安沪深300量化增强证券投资基金的基金经理,2022年12月起管理华安沪深300增强策略ETF。2023年7月起,他又开始管理华安创新医药锐选量化股票型发起式证券投资基金,展现了其在量化投资领域的丰富经验与专业能力。

沪深300增强策略ETF的历史业绩

华安沪深300增强策略ETF在绝对收益上表现出色

华安沪深300增强策略ETF自上市以来表现出色,其收益表现显著优于业绩基准。在与基准指数的对比中可以看出,该ETF紧密跟踪基准的同时,持续超越指数的表现,即便出现小幅回撤,也能迅速恢复至较高水平。截至2024年8月31日,华安沪深300增强策略ETF实现了累计超额收益10.24%,而其超额最大回撤幅度仅为5.45%。在年内表现方面,该ETF的累计收益达4.44%,同时实现了7.64%的超额收益,展现出卓越的收益能力和稳健的抗风险特性。

华安沪深300增强策略ETF在相对业绩上表现突出

尽管在过去的两年中,股票市场整体表现偏弱,主动管理型产品的收益普遍不及以往,但近一年来,多数沪深300增强产品依旧实现了不错的超额收益。特别是华安沪深300增强策略ETF,它以较小的跟踪误差达到了10.24%的累计超额收益。

作为ETF产品,华安沪深300增强策略ETF在高流动性、透明持仓管理以及较低管理费率等方面也具有显著优势。这些特性使其在提供更高投资便捷性的同时,也提升了费后收益,为投资者提供了增强策略产品中的一个优质选择。

华安沪深300增强策略ETF收益归因

我们基于Barra风险因子体系,对华安沪深300指数增强ETF的暴露进行测算。作为ETF产品,指增ETF的换手率通常较主动指增基金更低,我们以月度频率进行采样,通过申赎清单(PCF)测算每个月基金的Barra风险因子暴露,并进一步分析各个因子带来的收益。

从因子超额暴露上看,基金在市值与非线性市值上的超额暴露均相对较小;同时结合标准差来看,市值相关的波动水平相对较低,推测基金对市值风格的暴露在多个阶矩上采取了较严格的限制,以降低市值带来的风格风险,有助于提升产品在长期的稳健性。

如下图所示,在其他风格上,基金长期低配Beta、残差波动率、流动性、成长因子,同时高配价值与盈利因子,今年逐步高配动量因子,整体更倾向高动量、低估值、高盈利与低波动的股票。结合超额暴露的波动水平,基金在动量因子上的波动相对较高,在动量上可能存在一定的择时。

从累积暴露的路径上看,基金在残差波动率、Beta和流动性的暴露上相对稳定,长期保持较明显的负向暴露,在成长和杠杆上的绝对暴露水平相对偏低,但也维持低配的状态;对于盈利、价值因子则呈现较稳定的正向暴露,但今年以来在价值因子上的相对暴露有所衰减。同时,基金对动量因子的配置存在动态调整,2023年上半年倾向于低配动量,而今年上半年逐渐超配动量。

从累积超额收益来看,基金在风格因子的配置上贡献了较为明显的超额收益,同时也收获一部分的残差Alpha收益。从区间上看,2023年风格因子配置的超额收益贡献较大,而今年5月以来以来Alpha收益相对更加明显。

从因子超额收益贡献的历史平均水平来看,基金在绝大部分因子上均收获了正向的超额收 益,对于因子偏移呈现出较为有效的管理水平。具体来看,流动性、价值、盈利、动量与 残差等因子上的暴露偏离均贡献了较为可观的增量收益;同时,基金的残差 Alpha 收益也 较为理想,表明基金在 Alpha 选股上较为有效。

风险提示

本报告对历史数据进行梳理总结,历史结果不能简单预测未来,规律存在失效风险。报告 中涉及到的具体基金产品不代表任何投资意见,请投资者谨慎、理性地看待。

相关研报

研究员:林晓明S0570516010001 | BPY421

研究员张泽 S0570524020002 | BRB322

研究员王晨宇S0570522010001BTM049

(转自:华泰证券金融工程)

加载中...