新浪财经

量化专题 | 利率曲线的政策定价与久期择时策略

市场资讯 2024.08.19 11:30

  报告导读  国债利率中枢持续下移、波动区间持续变窄、宏观基本面方法持续失效是当前利率债投资中的三个核心挑战。针对这三个挑战,本文主要解决以下三个问题:

①量化方法如何估计国债利率的长期中枢?

②目前政策利率走廊宽度过大,如何估计更有投资指导性的利率上下界?

③宏观基本面方法有效性降低,如何构建利率的量价预测模型进行补充替代?

01

 利率中枢定价的理论和实际

1.1 为什么利率中枢很重要?

在2020年的专题报告《利率债收益预测框架——大类资产定价系列之二》中我们曾对零息债券的收益进行数学推导和拆解,利率债收益可线性拆解为四大部分:利息收益、骑乘收益、久期收益和凸性收益,其中利息收益和骑乘收益合并称之为利率曲线不变带来的收益,而久期收益和凸性收益合并称之为利率曲线变化带来的收益。无论是主观方法还是量化方法,利率债收益预测的核心在于对 ∆r 的预测,且债券久期越大,利率变动对债券收益造成的影响便越大。

在前期报告中,我们曾设计MM模型(Mean-Reversion and Momentum Model)用于预测未来不同期限的利率变化,从图表2可见,随着预测期限变长,均值回复项的系数将显著大于短期动量项,均值回复效应主导了未来的利率变动,随着预测期限变长,利率中枢 μ 的定价准度将起到决定性的作用。

1.2 为什么滚动窗口平均法失效?

2020年前,我们采用滚动四年利率的平均数来粗略估计利率中枢 μ,其核心假设有二:⑴ 利率中枢长期稳定/变化缓慢;⑵ 四年窗口基本上可覆盖一轮利率的短周期。但当前我们可以认为滚动窗口平均法已基本失效,其原因有二。

失效的原因一:中枢下移速度过快。从图表3可见,2020年之前利率虽有下行趋势但速度较慢,因此用滚动四年平均数作为利率中枢虽简洁但有效。2020年后,经济转型等原因,真实利率中枢发生了持续且快速的下移,滚动四年平均利率基本上已经跟不上快速下移的利率中枢。

失效的原因二:利率振幅显著变窄。从图表4和图表5可见,近四年无论是短端利率还是长端利率的振幅相比2020年前缩窄了超过50%,简单来说,以前利率中枢哪怕高估或低估20bp,在整体利率波动大开大合的行情中也不算什么,但是在当前振幅只有20bp的利率波动环境下,高估或低估20bp很可能就会使得我们错误估计行情的方向和幅度。

1.3 PIMCO模型和自然利率模型

① PIMCO模型。在2019年PIMCO的研究报告《Optimizing Yield Curve Positioning for Multi‑Asset Portfolios》中曾简单介绍过美债利率的预测模型,其模型可大致分为两个核心假设:⑴期限利差呈现周期性的均值回复特征。⑵30年期国债利率未来一年不变。近年来PIMCO模型在重要的利率拐点上显著滞后于真实的利率变化,其主要原因便是低估了30Y利率的波动,“30年期国债利率不变”这个模型假设在真实世界中并不成立。

② 自然利率模型。自然利率模型中比较有代表性的是美国纽约联储的LW模型,即Laubach-Williams模型。LW模型通过分析实际GDP、通货膨胀率和联邦基金利率等数据来提取美国经济增长的趋势,并据此估算自然利率。但实际应用中,自然利率模型依然存在不少问题:⑴ 自然利率并不一定直接对应国债利率。⑵ 自然利率的估计也并非只有LW模型。王博、陈开璞(2022)分别用宏观方法和金融方法估计国内的自然利率,也发现存在长期差异。

02

 国债利率走廊:中枢与边界

滚动中枢法失效、30Y利率法假设太强、自然利率法过于复杂,上述的三个方法均不适用于当前的利率环境和投资者诉求,因此在第二章节中我们尝试以“短端看政策利率,长端以固定利差泛化”为核心思路进行多期限国债利率的中枢估计,并基于利率中枢估算国债利率运行的上界和下界,最终构建国债的利率走廊模型。

2.1 假设一:短端利率中枢为政策利率

中国利率走廊形成过程基本上可以概括为:从2013年的SLF创设,到2014年的正式提出,再到2016年后的机制探索,目前已基本形成以7天逆回购利率为政策利率,SLF利率为上界,超额准备金利率为下界的利率走廊体系。国债利率中枢估计需要的第一个核心假设是:短端利率围绕着7天逆回购利率上下波动,即短端市场利率的中枢为央行制定的政策利率。

2.2 假设二:期限利差中枢具有稳定性

短端利率由政策利率锚定,那么国债利率中枢的估算就只剩下最后一块拼图:即期限利差中枢不变。那么为什么我们有理由认为期限利差中枢具有长期稳定性呢?结合学术理论和已有的成熟模型来看,我们给出两个基本论据:

  • ACM模型认为:长端利率 = 预期的短端利率+期限溢价,因此 期限利差 =(预期短端利率-当前短期利率)+期限溢价;期限溢价是投资者为持有长期债券而要求的风险补偿,短期受经济周期和流动性偏好等因素影响,但长期具有稳定性。

  • 《理解收益率曲线》认为:只要时间足够长,基本上可以把市场预期成分对冲掉,只剩下期限溢价;因此长期来看期限利差与期限溢价应该具有相同的稳定性。

为了论证“期限利差中枢具有稳定性”这一假设,我们对12个国家历史以来的10Y-1Y期限利差进行面板回归来进行验证。从图表11-12来看,有以下三个结论:

  • 全球国家的面板回归结果显示:期限利差长期来看并无显著趋势项;

  • 中国期限利差下行速度较快,但也就是每年下行4.4bp,对中短期预测影响较小;

  • 常见的担忧是:如果通胀和利率长期下行,期限利差是否也会长期下行?实际上,1980-2020年,美国通胀和利率长期下行,但是期限利差并无下行趋势(图表11);

2.3 基于固定利差的利率中枢平移泛化

步骤①:先将国债利率拆解为三个分项。基于简单的加减法,国债利率可拆解为三个分项,分别对应着期限利差、短端利率偏离和政策利率。

步骤②:对等式左右两边取期望,同时期限利差项和利率偏离项正负抵消后,即可得以下表达式:国债利率中枢 = 固定利差 + 短端政策利率,其中固定利差为任一期限国债利率与政策利率的长期平均偏差。

步骤③:估计固定利差。政策利率是央行给定的,对模型而言是一个常数项,无需估计。通过上面的公式,我们知道固定利差 = 期限利差 + 短端利率偏离,期限利差和短端利率偏离均为长期中枢稳定的时间序列,因为固定利差自然也是长期中枢稳定的时间序列。对于一个中枢稳定的时间序列,基于足够长的历史数据计算平均数基本上就可以得其无偏估计。

步骤④:估计国债利率中枢。一旦我们通过步骤利用历史数据将不同期限的国债利率的固定利差估算出来,基于“政策利率+固定利差”的国债利率中枢估计即可完成。从图表15-16来看,基于政策定价法估计的国债利率中枢具有较好的指导性,尤其是2020年后可以较好地应对利率中枢持续下移的挑战。

2.4 中枢确定后,上下界如何确定?

方法①:基于固定利差平移估计上下界。事实上,既然国债利率的中枢可以通过7天逆回购利率+固定利差进行平移估计,那么对应的DR007的政策上限:SLF利率和政策下限:超额准备金利率也可以通过固定利差进行整体平移。但这种方法有两个潜在问题:⑴ 政策利率走廊宽度较大;⑵ 长短期限的利率波动并不一致。

方法②:基于布林带思想估计上下界。一方面当前政策利率走廊的上下界实用性较弱,另一方面不同期限利率的“合理宽度”也应有区别,那我们干脆抛开政策利率的约束,直接采用市场交易的数据构建“投资者内心的上下界”,具体如下:

  • 估算利率中枢:2018年后根据7天逆回购利率+对应期限的固定利差动态估计不同期限国债利率的合理中枢,2018年前则采用指数衰减加权方法计算国债利率中枢;

  • 估算走廊宽度:利率波动在时序上并不稳定,尤其是近年来波动明显收窄,因此我们采用滚动四年窗口计算“国债利率-利率中枢”的标准差;

  • 统计学利率走廊:中枢为7天逆回购利率+固定利差,上界为中枢+2*标准差,下界为中枢-2*标准差,三者共同构成了利率运行区间,我们称之为统计学利率走廊;

图表19-20分别展示了1年期国债利率和10年期国债利率的统计学利率走廊,对比图表17-18的政策利率走廊可见,统计学利率走廊宽度更小,更匹配利率历史运行的顶点和低点,且近年来走廊宽度逐年变窄,能为投资者判断利率拐点提供更强的位置感。

03

 利率预测:随机过程与蒙特卡洛模拟

3.1 利率随机过程的设计

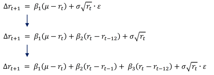
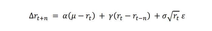
前期的专题报告《利率债的收益预测框架》中我们介绍过经典的CIR模型和改进后的MM模型对12个月后利率变化的预测效果。但本文主要聚焦未来一个月的利率变动预测,且同时考虑了均值回复、短期动量和长期动量三个影响因素:

图表21-22展示了模型的估计结果,也侧面反映了国内国债利率运行的一些重要特征:

  • 从回归系数来看,短期动量项更能主导未来一个月的利率变化,其次是均值回复项,最后才是长期动量项;

  • 从显著性来看,均值回复项和短期动量项在不同期限的国债利率中均保持显著,而长期动量项只在长端利率预测中有显著性;

从拟合优度来看,均值回复可以提供基础预测能力但效果较弱(2.0%-2.6%的拟合优度),额外的预测能力需要依赖于短期动量项和长期动量项的补充。综上,基于均值回复、短期动量和长期动量的三因子利率预测模型大致能够提供7.7%-7.9%的拟合优度,相比于旧版的CIR模型或者MM模型,模型对短期利率变化的预测效果有了一定的提升。

3.2 蒙特卡洛模拟过程的设计

上述三因子模型是对未来一个月利率变化进行建模,那么如果我们想对未来1-12个月的利率都进行预测,是否意味着我们需要构建12个预测期限的回归模型?事实上,我们可以基于“随机过程+蒙特卡洛模拟”的方法预测未来任一期限的利率,过程如下:

  • 参数估计:任一时点,基于当前可得的历史数据,采用OLS回归估计三因子模型中的

  • 模拟过程:基于t分布进行ε的抽样,在三因子模型的参数估计基础上可计算下一月的利率,同理递推可得未来12个月的利率;

  • 重复模拟:对于第二步的过程,随机从t分布中抽样12次即可得一条模型对未来12个月的利率走势的预测,重复这个过程n次,即可得n条利率走势的模拟;

  • 如何纳入上下界的影响:可通过设置容忍期参数来纳入上下界的影响,比如容忍期=3,即认为只要模拟路径超出上下界运行时间超过3个月便将其剔除。图表24中我们可以看到模拟的100条轨迹中有不少轨迹长期在上下界以外运行,对此我们可以采用剔除的思路,只保留在上下界内运行的模拟轨迹;

3.3 从利率预测到利率债收益预测

上述便是我们对利率预测建模的所有过程,核心流程是1)利率中枢和上下界的估算;2)利率随机过程的设计和估算;3)蒙特卡洛模拟的设计和利率预测。至此模型可以生成任意期限国债未来任意时长的预测,只要我们将模型预测的未来n个月的利率变化带入下面的利率债收益分解公式,即可得未来n个月该利率债的预期收益。

以蒙特卡洛模拟的轨迹均值为例,图表26中展示了我们对2Y利率债和10Y利率债未来一年预期收益和未来一年真实收益的对比。图中的蓝线代表模型对该债券未来一年的预期收益,从效果来看,模型的预期收益与未来一年的真实收益具有较高的相关性。

不同的随机过程对结果影响几何?图表27-28中展示了CIR模型、MM模型、三因子无约束模型和三因子带约束模型对利率债未来3个月和12个月的预测能力对比:

  • 三因子模型预测效果最优,代表着短期动量项和长期动量项的确带来了增量信息;

  • 带约束的三因子模型在关键行情中误差更低,体现了上下界约束对预测的改善效果关键行情的定义是未来收益>平均收益+1*STD或未来收益<平均收益-1*STD

04

关于新模型效果和应用的讨论

4.1 未来一年的预测:新模型 vs 旧模型

2020年后新模型相比于旧模型在利率债的预期收益估计精度上有了显著的提升,背后的原因是:由于利率中枢在2020年发生了快速的下移,旧模型由于采用的是滚动平均法估计中枢,因此始终慢“真实中枢”一步,也导致旧模型错过了利率债在2021年的牛市行情。而新模型采用了“政策利率+固定利差”的中枢估计方法,因此可以更及时捕捉到真实利率中枢的下移。

从图表30和图表31的对比可见,旧模型在2020年-2022年这三年时间内持续认为长债预期收益低于短债预期收益,而新模型则能较准确地把握长债和短债的相对性价比,因此在2020年后仍然能够保持4.9%的年化收益和2.0%的最大回撤(旧模型:3.5%年化收益和1.3%的最大回撤),尽管回撤提升了70个bp但是收益提升了140个bp。

4.2 模型可对未来任意N期走势进行外推预测

近几年利率债市场呈现出涨跌周期变短和涨跌空间受限两个重要特征,因此对投资者短期的择时能力提出了更高的要求。“随机过程+蒙特卡洛模拟”的框架优势在于可以对未来任意期限走势进行建模预测,图表32中我们展示了模型基于未来12个月期限和基于未来3个月期限的预期收益的久期择时策略差异。

久期择时策略效果随着预测步长的缩短稳步提升, 其实这结果也恰好能与随机过程中的三个变量显著性相互验证,短期动量项是预测性能最好的,其次才是均值回复项,模型对利率短中期的预测能力强于中长期。

4.3 目标函数可灵活定义

事实上,上述我们讲的预期收益也仅代表了蒙特卡洛模拟中所有潜在可能发生的利率走势的“平均数”,并没有充分利用蒙特卡洛模拟中的所有信息和灵活性。我们尝试定义了几种投资中可能常见的目标函数。对比VaR75%、终点胜率、路径胜率和预期收益的策略效果,我们可以发现在目标函数中纳入更多的分布信息(如VaR75%和终点胜率)和纳入更多的路径信息(如路径胜率),都能进一步提升策略的收益风险特征。

4.4 基于利率债ETF构建久期轮动债基组合

以上的久期择时策略我们均是基于国债总财富指数构建的,与真实投资收益仍有一定的差异。基于当前我们国内利率债ETF产品发展较快,我们基于当前时点规模较大的利率债ETF产品构建低频久期轮动的债基组合。

对比图表31(国债总财富指数)和图表34(利率债ETF),尽管底层的择时信号完全一样,但是基于国内利率债ETF的久期择时策略有更强的表现。2020年以来,基于国债总财富指数的久期轮动策略年化收益为4.9%,最大回撤为2.0%,而基于利率债ETF的久期轮动组合,年化收益高达5.7%,最大回撤为1.5%,收益能力和最大回撤均有所提升。

4.5 资产配置赔率策略进一步增强

在专题报告《构建大类资产的宏观胜率评分卡:货币、信用、增长、通胀与海外五因子》中我们基于不同大类资产的赔率指标设计了资产配置赔率策略。由于本文对利率债的预期收益模型进行迭代,且迭代后新模型效果显著优于旧模型,因此我们尝试将新模型对货币基金、1-3年期国债总财富指数和7-10年期国债总财富指数的预期收益作为利率债赔率信号的输入,以此改进大类资产配置中的赔率策略。从图表36的新旧赔率策略的对比来看,仅仅是改进了利率债的赔率信号,新版赔率策略获得了50个bp的年化收益提升和20个bp最大回撤的降低,对一个上限波动率为3%的资产配置策略而言,还算是一个较为显著的提升。

05

总结

国债利率中枢持续下移、波动区间持续变窄、宏观基本面方法持续失效是当前利率债投资中的三个核心挑战,针对这三个挑战,本文主要做了以下工作:

  • 基于“7天逆回购利率+固定利差”方法估计了国债利率曲线的长期合理中枢;

  • 基于布林带思想,构建国债利率的统计学利率走廊,对利率高低点的识别更高效;

  • 基于均值回复、短期动量和长期动量三个特征对利率时间序列进行量化建模,同时捕捉了利率运行中经济周期的反转属性和趋势技术面属性;

  • 基于蒙特卡洛模拟连接利率时间序列模型和利率债收益预测模型,构建了多期限多目标的利率债久期择时策略,显著优于旧模型和长期持有策略。

风险提示:7天逆回购利率对市场利率指导性下降;国内期限利差中枢发生快速下移;国债利率的动量特征发生显著改变,短期动量和长期动量失效。

加载中...