中小型LNG运输船运输成本分析
能源情报
文/高秋玲 何金平,中海油安全技术服务有限公司 中海油能源发展股份有限公司采油服务分公司,天津科技
从全球天然气贸易方式来看,液化天然气(LNG)的运输方式主要有管道运输、LNG船运输、CNG船运输3种。LNG运输船最重要的特点是运输安全、可靠和稳定,常被称为“海上浮动管道”。目前海上最常用的运输方式是LNG船运输,在某些特定的线路上,LNG船甚至已经成为不可替代的选择,是LNG产业链和价值链中极为关键的一环。近年来,中国LNG进口量持续攀升,长距离运送天然气,尤其是海运,运输费用相对昂贵。因此,优化和控制LNG船海上运输成本是我们需要考虑的问题。
LNG船按照货舱容积的大小可分为超大型、大型和中小型,业界迄今尚无一致的界定标准,中小型LNG船是相对于大型LNG船而言的。根据与业界相关企业交流,中小型LNG船舱容积在10万m3以下,而小型LNG船舱容积一般在4万m3以下。本文以3~5万m3中小型LNG船为例,分析运输成本。
1运输成本构成
运输成本指为完成从装货港至卸货港的LNG货物的移动而产生的直接和间接费用,包括资本成本、操作费用、航次费用3个部分。在期租模式下,资本成本和操作费用一般由船东承担,航次费用由承租人承担。运输成本是运输LNG货物所必需的花费,无论采用何种组织模式和运输合同关系,对运输成本都不会产生实质性影响。
资本成本也叫建造成本或投资成本,是指获得和占用船舶资产的必须花费,是在运费成本构成中用于偿还船舶建造贷款本息、资本金投入和合理收益的部分。在分析运输成本时,年度资本成本可以等值为折旧费用,而年度折旧额是船舶的资本成本与船舶的经济寿命之比。从短期来看,资本成本可以视为一种固定成本。
合作、咨询、交易:微信:energyinsider;邮箱eipress@qq.com
据调研,一艘3~5万m3LNG运输船的造价为5~6亿元。按照平均使用年限20a、净残值5%,采用平均年限折旧法计算,年折旧额=(原值-预计净残值)/预计使用年限,则该船年资本成本为2500~3000万元/a。
操作费用也可以称为船舶运营成本或固定成本,是为了维持船舶处于正常的使用状态、管理和操作船舶的必须花费,不随租期长短、运输量多少的变化而变化,主要包括船员费用、船舶坞修费用、维护和修理费用、备件和消耗品费用、船舶保险费用、行政管理费用等,分述于下。
船员费用是指为了满足船舶营运需求配置一定数量的船员而支付的费用,按照目前市场价格,一艘中小型LNG船每年的船员费用约为912万元,包含船员工资、航行津贴、伙食补贴、倒班费、保险费、证书培训等;单船船员成本如表1所示。
船舶坞修费用为船舶在坞修期间所发生的费用,主要包括占用船坞费、修理费、修理维护消耗品费、检验费和由于货舱驱气释放而引起的间接费用。坞修一般每2.5a进行一次,中小型LNG船按照每次400万元测算,分摊到每年,每艘船约为160万元/a。
维护和修理费用主要包括日常维修保养、故障维修等费用,约为人民币120万元/a。备件和消耗品费用主要包括船舶维修消耗品、备件和日常保养消耗品等费用,约为100万元/a。
船舶保险费主要分为一切险和船东保赔险P&I两部分,一切险涵盖了运营过程中船舶本身可能遭受的各种风险和损失,而船东保赔险(P&I)主要涵盖船舶运营过程中有可能产生的各种赔偿责任,约为500万元/a。
行政管理费用主要是船舶管理的成本费用,根据公司所在地、管理人员数量和工资水平等因素确定,按每艘船分摊行政管理费120万元/a计算。
汇总得出操作费用,如表2所示。
航次费用是指船舶在履行货物运输航次时所发生的与运输货物有关的直接费用。这部分费用随单位运量和运输距离的变化而变化,也叫可变费用,包括燃油费、港口使费、润滑油费用和其他必要的航次费用。
燃油费用是指船舶在其营运期间所消耗的燃油费用(不包括LNG蒸发气成本),由船舶主机在各种工况下的燃料消耗费用构成,包括船舶航行、进出港、靠离泊、装卸货和停泊时消耗的燃油。据调研,国内某中小型LNG船在国内各航线上的单航次燃油成本和年度燃油费用如表3所示。
港口使费是指船舶每完成一个航次在装卸货2个港口所发生的费用,主要包括拖轮费、引航费、代理费、港务费、系解揽费、航养费等,不同的港口收费不尽相同,中小型LNG船港口使费约为24万元/航次,如表4所示。
润滑油费用按照洋浦到防城港航线20万/a,江苏到张家港航线10万元/a,宁波到玉环航线5万元/a,宁波到温州航线5万元/a计算。
其他必要的航次费用按30万元/a计算。汇总得出中小型LNG船年航次费用,如表5所示。
2影响LNG船运输成本的关键因素
LNG运输船运输成本直接关乎船舶运营的绩效,是企业追求船舶运营效益或开展LNG运输业务需考虑的重要指标。影响船舶运输成本的因素既有企业内部因素,也有外部环境因素。内部因素方面主要有船舶投资成本、船舶管理成本、船舶管理经营水平等;外部环境因素主要有市场经济趋势、原材料因素、燃料价格波动、人力市场价格波动、政策法规等。衡量LNG运输船运输成本的基本公式为:
其中:R为单位运输成本,万元/t;C为资本成本,万元;O为操作费用,万元;V为航次费用,万元;Q为交货量,t。
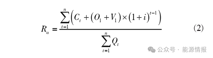
另外,通过匹配运输成本与货物运输量,引入长期平均单位运输成本概念,即长期平均单位运输成本为:
其中:Ra为平均单位运输成本,万元/t;Ct为第t年资本成本,万元;O1、V1分别为第1年操作费用、航次费用,万元;Qt为第t年交货量,t;i为基准折现率。
船舶利用率等于船舶实际营运天数与船舶可利用营运天数之比,其他条件不变的情况下,交货量与船舶的利用率成正比。
由此可见,影响运输成本的直接因素为资本成本、操作费用和航次费用,间接因素为船舶利用率。其中资本成本相对稳定,操作费用受市场和物价指数影响较大,航次费用与运输量成正比,并受物价指数影响。
根据LNG船运输成本测算数据,操作费用中船员费占比超过47%,航次费用中燃油费占比超过60%。另外,在一定时间段内,因为LNG船资本成本和操作费用相对固定且数额较大,所以只有当船舶利用率达到一定水平时,才能保证单位运输成本保持在可接受范围内。因此,影响LNG船运输成本的关键因素包含船员费、燃油费和船舶利用率等。
合作、咨询、交易:微信:energyinsider;邮箱eipress@qq.com
3结语
中小型LNG运输船舶作为一种高附加值危化品运输船,投资造价高、管理难度大。船舶运输成本是反映船东及管理公司生产经营管理水平及经济效益的综合指标,是贯穿船舶全生命周期运营的关键要素,应充分分析运输成本,采取合理手段,以保证船舶收益最大化。该类型船舶的资本成本即投资成本是船舶的最大固定成本;船舶操作费用中,船员成本是船舶运输成本的第2项成本因素;船舶航次成本中,燃料成本是船舶运输的第3项主要成本。