新浪财经

超额收益增长模型AEG:PE估值的内涵逻辑 | 民生金工

市场投研资讯

关注

- 报告摘要 -

SUMMARY

➤ 基于DCF贴现模型的传统PE估值难以解释相同增速下的不同估值问题。

基于阶段DCF模型,给出一定的增速假设和持续时间,便可给出不同的理论PE,高PE的公司,估值的贡献主要源自于远期的增速。但在实际投资中经常发现相同增速但是估值不同的个股,因此需要寻找一个更加合理和逻辑自洽的估值模型。

➤ 收益并非价值流量的完美度量,AEG模型的核心在于其综合考量了包括股利再投资在内的全收益和机会成本。

AEG模型不仅捕捉了公司当前的盈利能力,还要求还原公司股利再投资下的全收益,尤其是那些超出股东要求回报率的收益增长部分。与DCF模型相比,更全面的考察了收益的来源和机会成本,如果忽略了某一部分就会导致相应的定价偏误,产生难以理解的估值异象。对比表明,AEG估值模型较DCF模型定价更加准确。

➤ 基于全收益估值下的红利择时表现更加稳定。

从理论估值来看,实际交易的PE中枢基本围绕理论PE中枢进行波动,结果表明中证红利指数的PE仍有上行的空间。红利类资产由于股息发放较多,因此存在更多的定价偏误,因而构建全收益下的估值:P/全收益。P/全收益下的值为5.8,低于传统的7.2市盈率。通过计算P/全收益,AEG模型能够更准确地反映红利资产的估值,从而优化择时策略年化收益达到8.8%,夏普比率为0.77,最大回撤-11%,周度胜率为55%,相较于传统方法有显著提升。

➤ 带息收益下的估值因子表现较传统EP得到显著提升。

通过优化传统的EP因子,报告提出了AEG_EP因子,不仅考虑了公司的盈利,还通过分析师一致预期的EPS和历史派息计算股利再投资部分的价值,从而还原了带息收益。AEG_EP因子的IC从原始因子的0.051提升至0.06,因子多头端分层效果好。在组合构建方面,基于AEG_EP因子的TOP100组合,在月度调仓下实现了年化收益22.7%,夏普比率达到0.94,相比原始EP因子的组合,风险调整后的收益得到了显著提升。

➤ 两步筛选法得到“AEG估值潜力组合”,近十年年化收益接近30%。

首先用AEG_EP因子选取TOP100,然后选择股利再投资/P比率高的TOP50股票,这意味着我们投资于那些市场尚未充分认识到其增长潜力的公司。该组合在近十年内实现了近30%的年化收益,相对于wind全A的年化超额收益达到了22.93%,信息比率达到1.82。组合的风格归因结果显示,它偏好中盘偏大的价值型股票,具有较低的市场波动性和风险敞口,同时对高盈利收益率和价值因子有显著正向暴露,显示出其专注于寻找市场上被低估的股票。

01

估值的原理:超额收益增长模型

CHAPTER

1.1 DCF难以解释相同增速下的不同估值

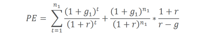
PE估值可以视为DCF模型的简化。我们以简化的二阶段DCF模型为例,说明如何得到PE估值:二阶段DCF模型通过预测企业在两个不同增长阶段的现金流并将其折现到现值,来估算企业的价值。第一阶段通常假设企业有较高的增长率,而第二阶段则假设企业进入稳定增长期

,增长率降至

高PE的公司,估值的贡献主要源自于远期的增速假设。上表展示了不同增速、持续时间以及要求回报率下的理论估值,可以发现,高市盈率(PE)很大程度上来自远期的永续增速假设,此时估值的重点在远期的增速。

但实际投资中我们经常遇到这样的情况:增速近似的公司,市场给出的估值却相差甚远。这背后的原因在于:一方面是受到公司产业周期、预期增速、护城河等级以及未来市场空间等众多因素的影响,另一方面是由于我们在计算收益时忽略了一部分价值。第一方面的原因较为复杂多元,我们暂且按下不表,这里我们着重讨论一下第二个方面。

为了尽量避免产业生命周期不同造成的预期增速等影响,我们这里选取了同处于成熟期行业的几个例子以说明问题:下图列举的6家公司分别属于环保、传媒、基础化工、食品饮料、公用事业和家用电器等成熟行业,因此长期预期增速和市场空间相对差距并不大,也并不是传统的“估值陷阱”行业。

DCF定价模型难以解释相同增速下的估值差异。这些公司的归母净利润增速从2015年以来相关性较高,平均的市场增速也均在8%-10%之间,因此其理论PE约在13-15附近。但是我们观察其实际的历史PE,可以发现,从最低的11.7到最高的25.2不等,跨度较大。

账面价值是价值存量的不完美度量,而收益是价值变化的不完美度量。资产负债表中的净资产没有体现资产的全部价值,这些没有在账面价值上体现出来的价值,最终会在将来创造出收益的时候被确认。类似地,当期收益度量了当期的价值增量,但股票价格的变化包括预期的未来价值变化。因此,市盈率使用预期的未来价值(分子)除以当期收益(分母)。接下来,我们将研究基于市盈率的估值模型,以及如何正确应用这一模型,以避免错误地为收益付出太高的价格。

1.2 股利再投资带来的估值溢价

下表展示了一个例子。有两家公司,期初的账面净资产和收益(EPS)都是相等的,区别在于:一家公司股利是全部发放的,因此没有任何的留存收益进行再投资,使得每一期的EPS都没有增长;另外一家公司股利是完全不发的,因此每期能按照5%的无风险利率进行增长。

我们运用DCF去对两家公司定价PE可以发现,由于不发股利的公司有一个5%的稳定增长,其定价出来的PE将高于零增长的股利全发公司的PE。

这说明市场更加愿意交易第二种公司,但是这并不合理。一家公司能否投资的核心在于是否为股东创造价值,也即剩余收益:股东投资的价值——净资产的价值——取决于投资在未来能获得多少预期收益,只有预期收益大于股东的要求回报时,投资才能增加价值。

我们去计算两个公司的剩余收益可以发现,两个公司的剩余收益都是零,也就是说其实并没有为股东创造额外的价值。我们不需要为这5%的增长率付费,这5%的增长率源于再投资,但是再投资收益率仅仅等于要求回报率(此处简单认为是无风险利率)。当投资的收益率仅仅等于要求回报率时,并不能增加公司价值。

那么我们该如何避免这种收益计算的局限性呢?应该将股利的影响考虑进去,计算带息收益或全收益。在上面的例子中,两种情境下的收益增长率看起来是不同的,但本质上是一样的:利息全付的情景中收益被低估了,因为利息可以再投资到相似的项目从而赚得5%的收益率。因此2016年支付的股息还可以再投资,在2017年赚得5%的收益,即0.25,那么2017年的期望收益便变为5.25,与不符股息的情况是一样的,也就避免了高估不付息公司单纯的股利再投资所产生的收益。将其原理一般化,我们可以得到这样的启示:

收益的来源实质上分为两个方面:

一是资产本身生成的收益;二是通过将利息再投资于其他资产所产生的收益。

二者的加总被称为带息收益或全收益,这包括了股息在内的所有收益。与之相对,不包括股息再投资的收益则被称为除息收益或净收益投资的价值是基于预期带息收益来确定的,同样,市盈率(P/E)比率通常也应当基于带息收益的增长来计算,这是因为我们需要考虑投资收益的所有来源。

对于任何给定的时期t,带息收益

其中,

,可以被理解为对投资的期望增值,即投资者希望在考虑了时间价值和公司风险之后,其投资在下一个时期至少能够增长到的金额,因此,

元,对于任何给定的时期t,机会成本

是公司的正常要求回报率,以上例中2017年为例:

带息收益增长超过机会成本的部分,被称为超额收益增长(AEG,Abnormal Earnings Growth),其含义是公司的总体收益超过机会成本部分的价值

我们计算两个公司的AEG,可以发现两个公司均没有贡献超额收益增长。

经过理论推导(具体请参见附录),我们会得到这样的一个理论公式:

其中E1是第一期的盈利,V0是当下的市值。所以,远期市盈率可以通过1/要求回报率,再加上超额收益增长除以下一期收益的数值来计算。如果预测没有超额收益增长,则正常市盈率为:

所以,远期市盈率就是正常市盈率加上增长溢价。

这个模型被称为超额收益增长(AEG)模型,或者Ohlson-Juettner模型,由JAMES A. OHLSON和JUETTNER-NAUROTH在2005年《Expected EPS and EPS Growth as Determinants of Value》中提出。

超额收益增长模型(AEG模型)采用了“购买收益”的理念,认为公司价值的根本在于其创造的收益规模。收益作为公司通过市场销售产品或服务所实现的价值增量,该模型通过预测公司与顾客交易所创造的净价值——即收入扣除相应成本后的收益——来评估公司价值。

因此,超额收益增长估值不受股利支付或股票回购导致的公司价值变化影响。因为它主要衡量的是公司超出股东要求回报率的收益增长部分。无论公司是否支付股利或进行股票回购,只要股利再投资能够产生至少等同于股东要求回报率的收益,公司的总价值就不会改变。

1.3 AEG模型对于估值异象的解释

AEG模型本身由两个部分所构成:一是带息收益,二是机会成本。如果忽略了某一部分就会导致相应的定价偏误,产生难以理解的估值异象。

股利派发力度越大,股利再投资越高,则PE也越高。对比前文提到的例子中的公司,虽然仅仅依靠增速难以准备解释公司之间的PE差别,但是我们可以发现:各个公司的股利发放程度是不一样的,因而股利再投资的水平也是不同的,股利派发越多的公司,其带息收益被忽略的部分就越大。

按照AEG下的PE估值,相比于简单的DCF估值更加靠近真实水平。

同样的,我们可以依据二阶段AEG定价公式对不同情况下的公司给出理论的PE估值:

AEG(异常盈利增长)模型和DCF(贴现现金流)模型在相同增长率、持续时间、永续增长率、要求回报率和股息支付率的假设下,对公司的理论市盈率(PE)估值存在显著差异,尤其是在第二阶段:

AEG模型在第二阶段可能会出现负的异常收益,这在实际情况中是不可持续的,因为随着增速的下降,要求回报率也会相应降低,从而减少了机会成本。另一方面,DCF模型在第二阶段可能会高估公司的估值,因为它假设了一个稳定的永续增长率和要求回报率,可能导致对公司长期价值的过度乐观估计。

由于在预测期之外的收益变化我们难以预测,市场也一般不会过多地交易5年或10年预测期之外的预期,因此我们这里主要对第一阶段展开研究和测算。第二阶段认为超额收益AEG永续为0。后文所指的AEG估值均为第一阶段下的估值。

当股息发放的程度越高时,AEG下的理论估值与DCF下的理论估值差距越大。背后的原因在于派息率越高,则忽略掉的股利再投资部分越大,导致了收益的有偏估计。

02

红利风格择时

CHAPTER

2.1 红利的理论PE中枢

按照前文的理论定价公式,我们可以基于分析师一致预期对红利指数的成分股的理论估值中枢做出合理估计。具体来说,对于每一只成分股,按照FY1-FY3采用分析师一致预测数据,FY3之后永续零增长假设(如没有FY3,用所在中信一级行业中位数填充),派息率按照过去三年平均派息率去计算。我们以中证红利指数作为红利指数的代表进行研究。

从理论测算结果和实际交易结果看,主要有以下特点:

首先,实际交易的PE中枢基本围绕理论PE中枢进行波动。在2019年以前,红利指数的PE中枢高于理论值,趋势上有向下的压力。而从2019年之后,红利指数的PE指数低于理论值,趋势上有向上的动力。从最新的数值看,中证红利指数的PE仍有上行的空间。

其次,理论PE中枢从2014年至今总体稳定,但有向下的趋势。2014年初的理论PE中位数为12.9,到2024年7月,PE中位数为10.2,有所下降。

2.2 PE重构:基于全收益下的估值

红利资产由于其较高的分红比例,其传统市盈率(P/EPS)实际上可能存在一定的偏差。这种偏差的原因在于,传统的市盈率计算并没有充分考虑股息再投资的潜在价值。具体来说,当一家公司发放较高比例的股息时,其除息后的收益增长率可能会低于公司实际的带息收益增长率,因为股息的再投资可以为公司带来额外的收益增长。

在考虑全收益后,中证红利指数的PE为5.8。相较于传统PE,考虑股息再投资的PE整体更低。

带息收益=EPS+股利再投资,中证红利指数的股利再投资占带息收益的权重近些年有所降低,其背后的原因在于再投资效率的降低。在2021年之前,中证红利指数的股利再投资占比大致在50%附近,在2021年之后,开始出现下降的趋势。这种趋势的下降究其原因在于分析师一致预测增速下滑传递出再投资效率的降低。

相比之下,派息水平较低的创业板指则在传统PE和全收益下的PE未出现较大的差别。

2.3 红利资产的择时

衡量红利类权益资产的关键指标之一是股息率,其直接反映了投资者持有资产的现金回报率。其计算公式为:

这意味着PE较低的个股,其股息率往往较高,买入并持有后有更大概率获得正向超额收益。

我们用整体法计算中证红利指数的PE和中证800指数内(排除中证红利指数成分股)的PE之间的比值,以及对应的中证红利指数收益与中证800 指数收益之间的相对走势。可以发现:当相对估值达到阶段性上界时,红利指数相对于大盘有向下的趋势;当相对估值达到阶段性下界时,红利指数相对于大盘有向上的趋势。

在量化上,一般使用通道表示上界与下界:当相对估值大于上界(过去15周移动均值+1.5倍标准差),发出卖出信号,模型仅持有中证800指数挂钩产品;当相对估值小于下界时(过去15周移动均值-1.5倍标准差),发出买入信号,模型仅持有中证红利指数挂钩产品。

择时策略整体实现年化收益7.2%,最大回撤-14.6%,夏普比率0.61,周度胜率为53%,中证红利指数年化收益5%,最大回撤-27%,夏普比率0.32。择时模型1.0能在一定程度上规避下跌市场带来的收益损失,如2019-2020年、2022-2023年以及2023年下半年等。

我们进一步计算带息收益下的P/带息收益,并按照同样的方式构建择时模型2.0。

择时策略2.0整体实现年化收益8.8%,最大回撤-11.69%,夏普比率0.77,周度胜率为55%,在45%的时间内满仓,在55%的时间内空仓,较择时策略1.0得到明显提升。

由此我们从带息收益的角度实现了对于红利资产择时判断,下面将从因子和组合构建的角度进一步研究AEG估值模型的运用。

03

基于AEG的EP因子优化与组合构建

CHAPTER

3.1 构建过程

传统的EP因子的计算是基于除息收益得出,忽视了股利再投资的价值,因此关键在于还原带息收益

首先,按照如下方式计算第t期股利再投资部分的价值:

对于给定的时期t,股利再投资是通过将公司下一期的预期同比增长率乘以预测每股分红DPS实现。其中DPS由历史平均的股利支付率,再乘以该时期内的一致预测EPS来计算的。

加总的股利再投资公式可以拓展为:

进一步将

与当前期的每股收益(EPS)相加,以得到考虑了盈利增长和股利支付后的调整后收益,即带息收益。

最后除以股价,便可得到基于AEG模型的EP因子。

3.2 因子表现

从因子IC看,因子IC表现相较原始EP因子有所增强,由原始因子的0.051提升至0.06。从因子五分组表现看,因子单调性较好。

全A内剔除ST/PT/次新股后,按照因子方向选取前100的股票等权配置,月度调仓下,组合年化收益达22.7%,夏普比率0.94,较原始的16.9%年化收益和0.73的夏普得到明显提升。这种提升并不能由简单的因子等权合成所体现,因为从因子构造上来说,再投资效率是由相乘的非线性方式加以体现。

从行业分布上看,AEG_EP下的TOP100组合与原始EP因子下的TOP100组合较为接近,但在银行、机械、电力设备及新能源等行业配置相对更多,在房地产、交运等行业配置相对较少,这与预期增速变化和行业派息程度有一定关系。 

从风格暴露上看,组合整体风格呈现市值偏小、估值低和盈利能力强的特点。

3.3 AEG估值潜力组合

为了进一步优化投资组合并提高其表现,我们决定专注于选择股利再投资/P比率最高的50个股票进行投资,这一策略将更直接地反映公司超出股东要求回报率的收益增长潜力。

具体来说,虽然先前的策略已经通过选取AEG_EP最大的100个股票取得了良好的效果,但为了更精准地捕捉那些具有显著超额收益增长潜力的投资机会,我们将调整策略,专注于股利再投资/P比率。选择股利再投资/P比率高的股票意味着我们投资于那些市场尚未充分认识到其增长潜力的公司。

为什么不直接用股利再投资/P在域内选股呢?核心原因在于,我们的目标是先筛选出那些市场估值相对较低的股票,然后在此基础上识别出那些存在错误定价的股票。使用AEG_EP指标作为初步筛选工具,可以帮助我们快速识别那些估值较低,同时具有较高股利再投资潜力的股票。这样做的原因是,低估值可能表明市场对这些股票的定价存在偏差,而高股利再投资/P比率则进一步表明这些股票具有超出市场预期的收益增长潜力,从而增加了它们被错误定价的可能性。通过这种两步筛选法,我们能够在一个更广泛的低估值股票池中,精准定位那些最有可能被市场低估的股票,以期实现更优的投资回报。

AEG估值潜力组合在近十年内实现近30%的年化收益,相对于wind全A年化超额收益达22.93%。在过去的十年中,除“抱团股”强势的2022年跑输基准外,其余年份均稳定跑赢基准。

AEG估值潜力组合的风格归因结果显示,该组合偏好中盘偏大的价值型股票(由于等权持有,较市值加权的中证800市值暴露更低),具有较低的市场波动性和风险敞口。组合表现出对高盈利收益率和价值因子的显著正向暴露,显示出其专注于寻找市场上被低估的股票。同时,组合在成长性上也有适度的暴露,这主要是由于在计算AEG是用到了分析师一致预测的净利润同比数据。

下表展示了AEG估值潜力组合的最新持仓。

3.4 宽基内的表现

我们在之前的报告《寻觅无人之境:基于研报覆盖度调整的指数增强》中,我们提出来通过研报覆盖度分域增强的思想,构建了沪深300、中证500和中证1000指数增强三个组合。这三个组合中,均用到了EP因子。具体选用因子如下:

这三个组合中均有EP因子(单季度市盈率),这侧面说明了EP因子选股有效性。这里我们将其替换为AEG_EP因子,观察其表现。

在其余指数增强组合中,均可以发现因子替换后超额收益和稳定性的提升。

04

总结与展望

CHAPTER

PE估值是基于简化的DCF模型,通过净利润增速来估算公司的理论价值。但这种方法存在局限,不能解决所有估值问题,例如市场对某些公司的盈利风险担忧,以及在相同增速下不同公司估值差异的问题。

AEG模型提供了更全面的视角,它不仅考虑了当前盈利能力,还预测了未来盈利增长,特别是那些超出股东回报要求的部分。比DCF模型更全面地考虑了收益来源和机会成本,从而提高了估值的准确性。

全收益估值法(P/全收益)比传统的市盈率(P/E)更稳定,能更准确地反映红利资产的估值。通过P/全收益,AEG模型优化了择时策略,提高了年化收益和夏普比率。

AEG模型改进了传统的EP因子,提出了AEG_EP因子,它考虑了公司的盈利和股利再投资部分的价值,提高了因子的有效性。基于AEG_EP因子的组合,在月度调仓下实现了更高的年化收益和夏普比率。

通过两步筛选法,构建的"AEG估值潜力组合"专注于市场尚未充分认识到其增长潜力的公司。该组合在过去十年实现了近30%的年化收益,表现出色,且具有较低的市场波动性和风险敞口,对高盈利收益率和价值因子有显著正向暴露。

未来我们将进一步研究估值的定价原理和适用场景。

05

附录

CHAPTER

5.1 AEG模型的推导

根据DDM模型:

其中,

表示当前的市值,

表示贴现率加一。

表示每一期的股息,

根据跨期折现条件(transversality condition):

该式确保在无限时间序列的折现过程中,最终的折现值趋向于零,从而避免估值过程中的无限大或无限小问题。这个条件是理性投资者或企业在进行长期投资决策时必须满足的,确保了估值模型的合理性和可行性。

我们简单证明一下该条件:

假设我们有一个无穷序列的现金流

,其中可以在经济上代表任何形式的现金流或者资产价值。于是:

等式成立。

加总DDM和跨期贴现模型两个恒等式:

不妨令:

其中,

表示第期的EPS,本质上是一种资本化过程,即将预期的未来收益转换为当前价值。

得到:

其中,

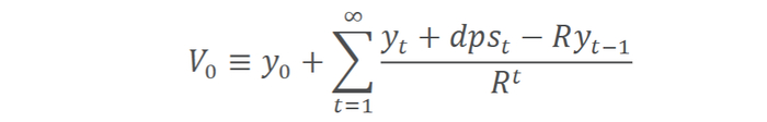
AEG等于带息收益与正常收益的差额。第一年的预测收益与以后各年度超额收益增长的现值相加,得到的总额资本化后就是权益价值。

也即,权益价值 = 预期收益资本化的价值 + 超额带息收益增长的价值

DCF经常被视为企业定价的“黄金准则”,那么这种定价原理与我们的AEG定价模型存在什么样的关系呢?AEG模型是否可以构造成类似于二阶段DCF的形式呢?下面我们针对这个问题继续展开探讨。

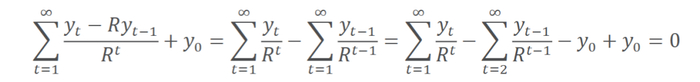
因为是恒等式,所以对于任意的

等式都是成立的(本质上是无穷序列的现金流)。我们令:

于是,

等式两边同时除以

,因为不同预期增速下的企业所处的生命周期和风险不同,因此我们记:

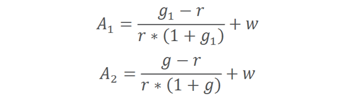
于是,可得:

其中,

5.2 与剩余收益模型的关系

剩余收益模型RIM与超额收益AEG估值模型的提出者均为Ohlson,其二者存在什么样的关系?其实二者的底层逻辑是类似的,下面我们先介绍一下RIM。

5.2.1 剩余收益模型

根据哥伦比亚商学院教授Stephen H. Penman的观点,基本面分析是以财务报表为估值的基础,账面价值是定价的出发点,然后再估算资产负债表上没有的价值——账面价值的溢价:

价值增加的度量指标是剩余收益(residual earnings)。

其中r表示要求回报率。

表示t-1期的账面净资产。

表示t期下的净资产收益率,

表示t期下的净利润,

根据剩余收益预测来度量价值增加的模型,称为剩余收益模型:

由此可以看出,RE由两个部分构成:ROE和净资产,这两个部分被称为价值动因。公司增加其ROE,使之超过资本成本,才能使其价值大于账面价值。同时,公司在ROE高于资本成本的基础上增加净资产投资也可增加其价值。给定ROE(超过资本成本),公司的投资越多,其增加的价值越多。

将价值公式两边同时除以账面价值,可以发现PB是由价值动因所决定,即ROE和账面净资产增速是定价PB的核心变量

5.2.2 AEG与RIM一脉相承

相较于市净率(P/B比率),投资者更频繁地运用市盈率(P/E比率)。分析师在讨论公司价值时,倾向于关注收益及其增长率,而非剩余收益及其增长。因此,与剩余收益模型RIM相比,AEG模型更便于将分析师的预测直接转化为公司估值。那么,超额收益增长模型与剩余收益模型有什么区别呢?

AEG模型和RIM模型看起来不同,但实际较为相似:

RE模型起始于账面价值,然后再加上预测收益超过账面价值乘以要求回报率部分带来的价值。AEG模型起始于收益资本化,然后再加上预测带息收益超过前期收益(而非账面价值)乘以要求回报率部分的价值。这种结构上的差异仅仅是对输入变量的不同安排,下面的推导证明了这一点:

使用存量和流量的关系计算权益的账面价值:

因此:

以前文表3的例子为例,我们也可以运用剩余收益模型对其进行估值。根据RIM模型,由于预期剩余收益均为0,所以2015年公司的定价即为账面价值100。也可以根据未来2016年5单位的收益资本化而定价:公司价值=未来收益/要求回报率=5/0.05=100。

所以,预测有无超额收益增长与预测剩余收益有无变化时没有差别的。或者说,超额收益增长为零意味着带息收益以要求回报率增长。AEG估值模型强调,只有收益的增长率高于要求回报率时公司的价值才会增长,在这种情况下,公司的预期PE也会变大,这与公司必须增加剩余收益(资本回报率高于要求回报率)才能增加其PB的含义是相同的。

剩余收益模型可以解释价值创造过程。公司投资于资产,然后通过使用资产的累积来增加公司价值。剩余收益模型确认这一过程,同时要求只有当收益大于要求收益时公司的价值才能增加。因此剩余收益模型更能揭示商业活动如何创造价值。

AEG模型基于权责发生制从收益的角度研究公司价值问题,因此更容易理解和使用。

06

风险提示

CHAPTER

1)再投资效率风险:AEG模型假设股利再投资能够产生至少等同于股东要求回报率的收益,如果再投资效率低于预期,实际收益可能无法达到模型预测的水平。

2)股利政策变动风险:公司股利支付率的变动可能会影响带息收益的计算,如果公司调整其股利政策,可能不会及时反映在模型中,影响估值结果。

3)模型假设风险:AEG模型依赖于对未来收益增长的预测,如果这些预测基于错误的假设或不准确的数据,可能会导致估值结果偏差。

4)量化结论基于历史统计,如若未来市场环境发生变化不排除失效可能

报告信息:

叶尔乐  S0100522110002  yeerle@mszq.com

吴自强  S0100122120016  wuziqiang@mszq.com

本文来自民生证券研究院于2024年7月25日发布的报告《超额收益增长模型AEG:PE估值的内涵逻辑》,详细内容请阅读报告原文。

重要提示

《证券期货投资者适当性管理办法》于2017年7月1日起正式实施,通过本微信订阅号/本账号发布的观点和信息仅供民生证券的专业投资者参考,完整的投资观点应以民生证券研究院发布的完整报告为准。若您并非民生证券客户中的专业投资者,为控制投资风险,请取消订阅、接收或使用本订阅号/本账号中的任何信息。本订阅号/本账号难以设置访问权限,若给您造成不便,敬请谅解。我司不会因为关注、收到或阅读本订阅号/本账号推送内容而视相关人员为客户;市场有风险,投资需谨慎。

免责声明

民生证券股份有限公司(以下简称“本公司”)具有中国证监会许可的证券投资咨询业务资格。本报告仅供本公司境内客户使用。本公司不会因接收人收到本报告而视其为客户。本报告仅为参考之用,并不构成对客户的投资建议,不应被视为买卖任何证券、金融工具的要约或要约邀请。本报告所包含的观点及建议并未考虑个别客户的特殊状况、目标或需要,客户应当充分考虑自身特定状况,不应单纯依靠本报告所载的内容而取代个人的独立判断。在任何情况下,本公司不对任何人因使用本报告中的任何内容而导致的任何可能的损失负任何责任。

本报告是基于已公开信息撰写,但本公司不保证该等信息的准确性或完整性。本报告所载的资料、意见及预测仅反映本公司于发布本报告当日的判断,且预测方法及结果存在一定程度局限性。在不同时期,本公司可发出与本报告所刊载的意见、预测不一致的报告,但本公司没有义务和责任及时更新本报告所涉及的内容并通知客户。

在法律允许的情况下,本公司及其附属机构可能持有报告中提及的公司所发行证券的头寸并进行交易,也可能为这些公司提供或正在争取提供投资银行、财务顾问、咨询服务等相关服务,本公司的员工可能担任本报告所提及的公司的董事。客户应充分考虑可能存在的利益冲突,勿将本报告作为投资决策的唯一参考依据。

若本公司以外的金融机构发送本报告,则由该金融机构独自为此发送行为负责。该机构的客户应联系该机构以交易本报告提及的证券或要求获悉更详细的信息。本报告不构成本公司向发送本报告金融机构之客户提供的投资建议。本公司不会因任何机构或个人从其他机构获得本报告而将其视为本公司客户。

本报告的版权仅归本公司所有,未经书面许可,任何机构或个人不得以任何形式、任何目的进行翻版、转载、发表、篡改或引用。所有在本报告中使用的商标、服务标识及标记,除非另有说明,均为本公司的商标、服务标识及标记。本公司版权所有并保留一切权利。

加载中...