新浪财经

AI经济学 | 第三章:元任务与AI经济影响分析

中金点睛

关注

人类的工作按不同生产环节,可以拆分为一系列匹配特定场景的任务。而这些看似繁复多样的任务,按功能又可以划分为若干具有场景通用性的任务元素,我们把这些任务元素称为元任务。人类的总工作时间,即完成各场景任务的时间,也就等同于完成各类元任务的时间。以大语言模型为代表,当前AI的能力开始呈现通用化的特点,这为AI执行元任务奠定了基础,或将对经济产生重要影响。

那么,AI又会对中国经济带来怎样的变化?自动化时代的任务分析框架可以为我们提供一些思路。在自动化时代,机器通过预编程方式完成旧任务,人类则通过创造和参与新的任务深化分工。任务替代机制提供了一个观察机器如何参与生产并促进增长的视角。然而,这一机制在AI时代也面临挑战。与机器自动化不同,当前AI不再完全依赖预编程,开始体现出跨任务场景的通用化特征,根据新旧任务来区分AI与人类的分工已变得不合时宜。

为了反映AI的新发展趋势,基于任务替代模型,我们构建了元任务框架,并以此来分析AI对经济的影响。我们将人类的元任务划分为16类,并认为随着技术进步,AI完成元任务的种类由易到难逐步扩大,成本持续下降。企业部门基于成本收益考量,决定何时与AI元任务进行融合。我们绘制了AI元任务在研发端和应用端的成本预期曲线,并统计了覆盖中国92.5%GDP行业的工资及元任务构成,这为我们估算AI产品的市场价值、行业冲击和经济影响提供了基础。

相较于基准情形,我们估计2035年AI有望使我国GDP增加12.4万亿人民币,相当于9.8%的额外增幅,对应每年年化增速额外提升约0.8个百分点[1]。未来十年,AI对采矿、医疗、资源加工、信息、租赁和商务服务等行业的生产率提升较大,对批发零售、住宿餐饮、轻工制造等行业的生产率提升较小。受AI影响,我国就业短期可能向轻工制造、住宿和餐饮等行业转移,但长期看则可能向金融、信息服务、地产、租赁和商务服务、医疗等行业转移。

一、从自动化到通用化,AI如何影响经济

直到今天,人类对AI的探索已经超过了80个年头,这一过程并非坦途,甚至布满艰辛与争议。1961年,现代人工智能先驱Marvin Minsky提出,他对人工智能的未来非常乐观,并且认为人工智能在他有生之年将超越人类[2]。然而,直到Marvin Minsky去世(2016年),他的判断也没有成真。但不可否认的是,过去几十年人工智能还是取得了长足进步。最近的技术突破,更掀起了新一波的人工智能热潮。这也促使人们重新关注人工智能对经济的影响。针对人工智能影响经济的讨论,大致可以归为两类:一类关注的是总量问题,即人工智能可以拉动多少经济增长?另一类关注的是经济结构问题,包括产业结构、劳动与资本的分配结构等等。

就第一类问题,一个重要的讨论在于人工智能是否会带来爆炸性的经济增长。在这个问题上,存在正反两派的观点,虽然双方都能找到有利自己的论据,但又难以完全证伪对方。在20世纪60年代[3]、20世纪90年代[4]以及21世纪初[5],不断有学者提出人工智能的发展会带来爆炸性的经济增长。这些学者认为人工智能的自我强化和自我学习会促使新知识数量不断增加。按照内生增长理论,由于知识具有正外部性,知识存量越多新知识的生产也就越快,导致生产效率提升不断加快,从而带来爆炸性的经济增长。然而,也有学者对这一观点提出质疑,认为知识不仅存在正外部性,也存在负外部性,创造新知识需要先学习旧知识,随着旧知识的增长,学习成本也在提高[6]。他们将此称为“知识负担机制”,并认为知识存量的提升最终使得知识的生产效率下降。此外,还有学者认为,人工智能前期的高速发展状态可能难以持续,因为容易攻克的技术问题往往最先被解决,而剩下的未攻克技术难度将越来越大,这将减缓后期人工智能的发展速度[7]。

而针对第二类问题,更多的探讨则是围绕互补或替代关系展开。在产业结构方面,部分学者认为[8],AI相关产业会大幅增加供给,甚至取代部分原有产业,导致AI相关产业占总产出份额增大;也有部分学者认为,从长期来看,人们一直对非AI相关产品有需求,非AI相关产品与AI相关产品是互补关系,相较于发展较快的AI相关产业,效率提升较慢的非AI相关产业所提供的产品或服务将更稀缺,而人们更愿意为稀缺的产品或服务支付更高价格,导致非AI相关产业份额增加,即“鲍莫尔病”的现象[9]。关于资本与劳动分配结构的看法,同样有两方面观点,一方面,易被AI代替的劳动者工资及就业率随着AI成本下降而降低,导致劳动在分配中所占份额下降,另一方面,AI与未被替代的劳动者之间是互补关系,随着AI产业发展,与AI互补的劳动者会获得更高报酬和更多就业机会。从这个角度看,AI对与其互补的劳动者的收入份额影响是积极的[10]。实际情况中,AI在经济结构中究竟是替代效应占主导还是互补效应占主导,则取决于AI的技术特征和发展路径,这也为后续研究留下讨论空间。

如果说过去几十年受限于技术及算力约束,AI大范围的产业融合迟迟没有发生,许多针对AI影响的讨论也仅停留在理论层面,但近两年以大语言模型为代表的人工智能新突破,却让这一情形发生了改变。定量评估AI的经济影响已经具备了现实意义。不过新一轮AI浪潮毕竟刚刚起步,评估AI对未来经济的影响是一件困难且不确定性较高的事情。幸运的是,机器自动化时代的任务替代机制为我们提供了一些启发。回顾过去150年的经济增长史,贯穿着一条重要的主线就是机器自动化(Automation)。工业革命使用化石能源拉开了工业自动化的序幕,机器不断地参与到人类的工作环节中。为了分析机器自动化对经济活动的影响,Acemoglu和Restrepo等学者提出了任务替代模型(task-based model)[11]。该模型假定人类的工作由一系列的任务环节组成,随着技术的进步,资本品价格下行,机器可以替代人类工作中部分环节的任务。随着旧任务被机器替代,人类还可以创造出新的具有比较优势的任务,这样人类与机器就会产生新的分工。Acemoglu等人认为自动化和新任务创造共同推动了经济增长,同时新任务的创造还增加了新的劳动力需求,从而缓解机器自动化带来的就业压力。任务替代机制比较好地解释了工业革命以来,大量旧岗位被机器替代但新岗位又不断产生的历史事实,同时也解释了,为什么无论是20世纪60年代[12]还是2016年的研究[13],都发现自动化没有导致资本份额的持续上升或者劳动份额的持续下降。

在机器自动化时代,按任务环节来分析自动化对传统经济的影响具有合理性,但在AI时代套用这一模型却会面临巨大挑战。首先,在自动化时代,机器自动化完成特定场景的任务需要通过预编程的方式进行,因此新旧任务可以较好的体现机器与人的分工,但这一核心假设在AI时代却不再适用。当前诸如大语言模型的出现,标志着AI的能力已经开始具备通用化的特征,即AI不需要预编程,就可以跨任务、跨场景的使用。比如,随着AI的自然语言交互能力的通用化程度提高,其语言交互能力不仅可以完成传统的文字生成任务,也可以参与到新出现的图像生成任务中,甚至还可以无缝参与到新出现的教学培训任务中,而这在机器自动化时代是难以实现的。其次,在任务替代模型的假定中,随着人与机器分工的深化,会涌现出大量新的任务场景。但是新任务的形态和种类难以提前知晓,这无疑会增大评估AI对未来经济影响的难度。所以任务替代模型对于解释人与机器的分工的历史演进具有重要意义,但要预估未来的冲击则面临较大困难。

基于任务替代模型,为了更好地体现AI发展的新特点,我们构建了元任务框架,并以此来分析AI对经济的影响。我们改变了任务替代模型中按照任务环节或场景对任务进行分类的方式,转而按照基础功能对人类的任务进行分类。这样做可以更贴切地刻画AI如何在功能实现层面上与人类进行分工,同时还可以简化任务分类,让估算AI对经济增长的影响变得更有可操作性。

二、元任务分析框架

本轮AI在通用化方面取得了突破,能够在不同场景中使用相同的功能。这与人类在执行不同任务时,其功能不因任务变化而改变相类似。比如,人类在阅读书籍或撰写报告时,大多会使用文字处理功能和手指移动功能,人类具备的这些功能并不会因为上述两个任务场景的不同而新增或消失。而当前AI在两个场景中实现文字处理或翻动纸张的功能已经接近人类[14]。这为我们提供了一个全新的视角,即我们可以通过考察AI对人类在执行这些任务功能上的替代关系,而不是一个完整的任务,来评估AI对经济的影响。

按功能划分的元任务

自泰勒提出“科学管理原理”以来,一些社会学家们就意识到任何工作中的复杂任务都可以由一些更基本的任务所组成[15],即便是新的任务也无外乎是这些基本任务在不同情境下的组合。事实上,虽然人类的工作按生产环节可以拆分为一系列针对特定的场景任务,但这些看似繁复多样的任务,可以按功能划分为若干具有场景通用性的任务元素,我们把这些任务元素称为元任务。

那么人类的元任务究竟应该如何划分?借鉴Fernández-Macías和Bisello(2022)[16]的方法,我们首先根据任务是否涉及人际互动,将人类任务划分为个体型任务和社会型任务两大类。个体型任务指的是无需与他人互动、可以独立完成的任务,而社会型任务指的是必须与他人互动的任务。我们接着将个体型任务进一步细分为体力型任务和脑力型任务。其中体力型任务又根据位置关系进一步细分为力量型任务、灵巧型任务和空间移动导航任务。脑力型任务则根据工作内容所需创造性的不同,分为信息处理任务和问题解决任务。信息处理任务根据处理的信息是否为编码信息,分为视觉信息处理、听觉信息处理、语言信息处理以及数字信息处理四类任务。而问题解决任务分为问题探索和评估以及问题解决思路的生成与执行两类,可进一步细分为信息收集检索任务、概念化与抽象任务、生成解决思路、计划与执行思路等四类任务。而在社会型任务中,我们根据任务的性质,分为支配型任务和支持型任务,将其进一步细分为销售/劝说/诱导、管理/监督、服务/接待、教学/培训/辅导、关怀五类任务。这样,我们总共得到了16类既具有场景通用属性,又相互独立、无法替代的任务类别,我们将之定义为人类工作中使用的元任务,并列于图表3.1中。

图表3.1:按功能划分的相互独立的16个元任务

资料来源:Fernández-Macías & Bisello(2022),中金研究院

按照功能拆分元任务的方式并不唯一,但不难看出,我们这样拆分的好处在于可以确保每个元任务相互独立,功能上不会重叠。从经济学角度上讲,我们剔除了这16个元任务之间的替代关系,只保留它们的互补关系,使得它们构成了一组基向量,可以张成人类整个任务空间。这对于我们后续理解AI如何进入人类的生产活动,以及如何影响人类的就业和分配关系,具有重要的意义。

元任务分析框架

我们知道,人类的总工作时间,就等同于人类完成各类元任务的时间。当前AI通用化能力的提升意味着AI可以实现越来越多跨场景的功能,那么我们只要知道AI究竟可以完成多少元任务,就能估算出在AI的冲击下,人类的劳动和生产结构将会发生哪些变化,以及对经济将产生何种影响。这就是我们希望通过构建元任务框架来分析AI对经济影响的原因。

类似于其它通用目的技术,AI技术也是通过研发、融合、增长三个步骤来影响经济。元任务视角下,这三个步骤可以描述为: 首先,AI研发部门通过技术进步,不断扩大AI可执行元任务的类别,同时降低AI元任务的执行成本;其次,当AI执行某类元任务的成本显著低于人工成本时,就会有产业愿意在生产活动中融入AI元任务,以节省开支;最后,随着AI成本的继续下降,生产活动中融入AI元任务的数量不断增加,最终推动实体经济的增长。这就构成了我们评估AI经济影响的元任务分析框架(图表3.2)。

图表3.2:AI影响经济的元任务分析框架

资料来源:中金研究院

使用元任务分析框架去评估AI对经济的影响时,有几个微观问题值得注意。首先,在研发阶段,人工智能的进步主要体现在两个方面,一是AI元任务的范围扩大、性能上升;二是AI元任务的成本不断下降。这里面就牵扯到一个AI元任务等效成本的问题。Grace等人(2024)[17]认为,如果人工智能研发的进程不受干扰,到2027年,未经辅助的机器在各种任务中胜过人类的机会被估计为10%,到2047年为50%。AI执行的元任务效率与人类并不相同,可能出现同等时间下,AI执行元任务所完成的任务量远大于人类完成类似元任务的任务量,这就需要我们计算AI元任务成本时,考虑到AI与人类执行元任务效率上的差异。其次,在产业融合阶段,企业考虑是否采用AI来完成元任务,还需通盘考虑部署AI的成本,由此很可能会减缓AI产业融合的速度,这在后文将会详述。最后,当企业开始融合AI元任务时,AI元任务的成本降低将产生替代效应和收入效应,这会同时影响企业投入AI元任务以及人工元任务的数量及结构。

元任务视角下的一些问题回应

在本文的开头,我们提到随着AI最近取得的一系列突破,AI如何影响经济的问题又再次得到大家的关注,而元任务框架为我们提供了一个新的视角去回应这些问题。

首先,经济会不会出现爆炸性增长?短期内这个答案很可能是否定的。在元任务框架中,人类所从事的工作可以被划分为16个互补的元任务类别。在合理的假设下,AI在较长时间内难以具备执行所有元任务的能力。因此,即便随着算力成本的下降,AI执行特定元任务的成本可以快速下降,但此时整体经济的增速只会越来越取决于那些无法由AI完成的元任务增速,这天然限制了经济出现爆炸性增长的可能。

其次,AI究竟是替代还是赋能人?从元任务的视角来看,AI的角色并非单向的赋能或替代人类劳动。如果AI执行某种元任务的成本低于人工成本,对于主要从事该元任务的劳动者而言,AI就是在替代他们。不过,由于不同元任务之间存在互补关系,对于主要从事其他元任务的劳动者来说,生产效率会因为AI元任务的引入而得到提升。因此,产业融合AI天然具备赋能和替代的双重效果。短期来看,如果劳动者擅长的元任务类型恰好与AI元任务重叠,由于能力转换需要时间,这部分劳动者很可能流入工资更低但工作内容相似的岗位,这一情况利好擅长的元任务类型与AI元任务不重叠的劳动者。然而,从长期来看,人类可以调整自己的能力结构,那些AI无法执行的元任务将吸引更多劳动者,从而导致AI与劳动者之间形成更强的互补关系。

最后,人类未来就业究竟将会是一个什么形态?由于不同元任务之间的关系是互补的,因此只要AI没有办法完全执行所有的元任务,那么人类从事未被AI化的元任务的价值就会增加,人类的就业就会往那些任务类型聚集。后文会谈到,根据AI发展趋势判断,当前较难被AI执行的元任务包括社会型的元任务以及解决思路生成与执行类的元任务。短期由于职业转换存在较高成本,如果人们擅长的工作任务中,AI可执行的元任务比重较大,那么这部分人的就业就会面临压力,但未来可能会有新的工作被创造出来,解决人们的就业问题。根据元任务框架,这些新创造的工作中AI无法执行的元任务比重将会非常高。这在一定程度上与Acemoglu的新任务创造过程类似,但不同之处在于通过元任务视角,我们可以对新工作的属性做出大致的判断。

三、AI元任务的成本曲线

AI能否影响经济运行,取决AI执行元任务的能力以及成本,估计AI在各类元任务上的可行性和成本变化对我们评估AI的经济影响至关重要。本节将从AI的研发和应用部署两个角度来估算AI元任务的预期成本曲线。

从研发端看AI元任务的成本

人工智能的研发端主要解决AI元任务两个方面的问题:首先,要让AI执行元任务的能力可以达到人类相近甚至更高水平,从而具备替代部分人类劳动力的潜力;其次,不断降低AI执行元任务的成本,使其变得技术可行。人工智能的能力提升涉及算法、模型、数据、硬件等多个元素,这也为我们判断未来AI元任务的成本随时间变化的曲线提供了基础,但也需注意,如果技术在现有发展趋势上超预期或不达预期,则可能导致成本的高估或低估风险。

AI元任务难易有别

如同人类执行不同元任务的难易程度不一样,AI执行不同元任务的难易程度同样有区别。根据人工智能技术发展趋势的判断,我们参考了斯坦福大学[18]、世界经济论坛[19]等机构发布的AI预测研究,以及Grace等人(2024)[20]对数千名AI专家关于AI技术未来发展的问卷调查结果,将16个元任务按照难易程度进行了排序(图表3.3)。其中体力型任务,以及脑力型任务中的数字信息处理、视觉信息处理任务的实现相对容易,目前AI基本上可以完成。脑力型任务中的计划与执行思路、生成解决思路,以及社会任务中的管理/监督、关怀等任务则相对较难实现;从具体的年份来看,未来十年内AI具有完成体力型任务和信息处理类任务的潜力,而多数问题解决类和社交类任务直至2050年仍不能被AI完成。

图表3.3:人工智能完成不同任务的相对难度

注:图表中各类元任务从上至下由易到难进行排序,预计技术可行的年份为AI完成元任务成本降至较低水平的年份。

资料来源:Stanford(2023),WEF(2023),Grace等(2024),中金研究院

AI元任务的成本预期曲线

通过持续的算法优化、模型迭代、大量的数据训练以及实践验证,人工智能在特定元任务上的性能得以逐步提升,在元任务上展现出更高的效率和准确性。依据已有的可参考的AI成本以及算力和能耗价格的变化趋势,我们对2050年前,所有存在技术可行性的元任务成本进行了估算。考虑到体力型任务需要与实体进行接触和互动,只有具身智能才能做到这一点,而脑力型任务和社会型任务则可通过线上提供,因此人工智能的成本估算分为两个部分,其中体力型任务成本主要参考人形机器人,而脑力型任务和社会型任务成本主要参考人工智能软件服务。人形机器人的成本下降曲线主要参考工业机器人成本的历史变化趋势,其中力量型任务、灵巧型任务、空间移动导航任务等三类元任务的初始成本,主要参考当前对应领域性能最优的人形机器人。人工智能软件服务方面,由于不同难度元任务对应不同参数的人工智能模型,我们主要依据过往人工智能模型参数、单位算力成本以及模型推理的价格趋势,推断出不同难度元任务对应的成本及变化趋势。需要注意的是,由于目前人工智能与人类执行元任务的速度存在较大的差异,单位时间内可以形成更多产出,因此以单位时间的成本作为衡量基准可能导致偏差。更为合适的标准是衡量AI执行任务的等效成本,考虑人类一小时能完成的工作量,AI完成同样工作量的成本即为等效成本,从而使得AI的成本可与人类劳动的小时工资率进行直接比较。

基于上述对人工智能成本的估计方式,我们推算出研发端AI元任务的成本预期曲线。如图表3.4所示,在2024年,力量型任务、数字信息处理、视觉信息处理等任务的实验室成本已降至较低水平,在2035年前,灵巧型任务、空间移动导航任务、听觉信息处理、语言信息处理、信息搜集检索、教学/培训/辅导等任务的实验室成本将低于200人民币/小时,这些任务的成本也将在2040年前逐步降至较低水平。在2040-2050年左右,难度较高的脑力型任务(包括计划与执行思路)以及社交型任务(包括服务与接待)或开始变得可行,并将在此期间迅速降低成本。对于管理/监督、关怀等难度更高的元任务,我们推测其在2050年时还无法全面达到人类的基准水平,因此并未体现在成本下降的趋势图中。

图表3.4:人工智能执行各类元任务在研发端的成本预期曲线

注:图中左侧坐标轴为等效成本,单位为人民币/小时,即考虑人类一小时工作量,并换算为人工智能执行该工作量的成本。

资料来源:Epoch AI[21],Artificial Analysis[22],Ark-invest[23],中金研究院

产业融合并非一蹴而就:“索洛生产率悖论”

罗伯特·索洛发现20世纪70年代和80年代美国信息技术领域发展迅速,但同期美国生产力增长却出现放缓[24],这一现象又被称为“索洛生产率悖论”。与此前的通用目的技术革命相似,人工智能从研发到融合应用可能存在明显的时间滞后性,并不会立即带来经济和生产率的快速增长,导致“索洛生产率悖论”的现象。以电力技术和IT技术为例,在这两项技术发明问世后,在扩散的初期,其对劳动生产率的提升都是非常缓慢的。随着时间的推移,劳动生产率才发生显著提升(图表3.5)。

图表3.5:电力和IT时代的美国劳动生产率变化

注:纵轴为相对劳动生产率,以初始年份起的第25年(电力对应1915年,IT对应1995年)为100。

资料来源:Brynjolfsson等(2017)[25],中金研究院

“索洛生产率悖论”的来源大致可以分为四类[26]。其一是“虚假的希望”,技术的影响实际上没有人们想象的那么大;其二是“核算偏差”,经济统计时可能存在偏差,没有正确衡量技术带来的生产率提升;其三是“零和游戏”,技术收益被少数人垄断,无法发挥应有的经济作用;最后为“技术融合和结构调整的滞后”,充分获取新技术的收益需要相当长的时间,对于通用目的技术尤为明显,这可能代表技术进步短期对生产率几乎没有影响,只有互补性的资产和商业过程得以建立后,技术进步对经济的影响才得以显现。建立新技术的积累以及互补性的创新需要时间,因此会存在新技术能力较强,但生产效率提升缓慢的情况。在人工智能的实际应用中可能也没有办法回避“索洛生产率悖论”的现象,即使人工智能完成元任务的实验室成本与人类成本已经非常接近,可能仍然无法反映在生产部门的经济增长上,而产业层面的部署成本或是其中的关键。

考虑部署成本后的AI元任务成本预期曲线

考虑建立新技术的库存以及互补性的创新投资都需要时间,相较研发端情况,AI与产业的融合的时间点可能存在滞后。参考此前通用目的技术的融合应用经验,我们推算从人工智能技术的研发成功到实际融合可能存在约2-4年的时滞。另外,AI的部署可能还涉及一些互补性支出,例如利用新的人工智能技术可能需要前期投入一系列机器人或服务器等专用设备,以及后期用于维护、人员培训、数据处理和应用适配等方面的支出。这些互补性支出的成本变化速度可能与研发端AI元任务成本下降速度存在差异。我们在估算研发端AI元任务的成本曲线中加入了部署成本和时滞,估算了实际应用时不同元任务的成本下降曲线(图表3.6)。其中力量型任务、灵巧型任务和空间移动导航任务可能主要由具身机器人执行,部署时所涉及的互补性支出相对较高,因此部署成本降低速度稍慢。而脑力型任务和社会型任务可能更多通过软件服务等形式提供,数据服务的边际成本较低,因此部署成本降低速度更快。整体而言,考虑部署成本后的AI元任务成本明显高于之前,并且AI元任务与产业融合的时间,相较研发端突破技术可行性的时间存在一定的滞后性。

图表3.6:人工智能执行各类元任务在部署端的成本预期曲线

注:图中成本为等效成本,单位为人民币/小时,即考虑人类一小时工作量,并换算为人工智能执行该工作量的成本。

资料来源:Epoch AI[27],Artificial Analysis[28],Ark-invest[29],Mckinsey[30],Mecademic[31],Change Discussion[32],中金研究院

四、中国AI经济影响估算

人工智能通过降低执行各类元任务的成本,不断与各行业融合,进而促进经济增长。为了考察人工智能对中国经济增长的影响,我们将首先估算各行业中不同元任务的时间分配比例,以及经济中各行业的人工成本,据此可以估计人工智能在各行业中的融合路径,以及需求市场规模。其次,基于各行业中AI投入量的变化,我们可以估算出AI带来的总体经济增长和效率提升幅度,以及各行业生产效率和份额的变化[33]。

元任务的行业分布与AI融合时间表

各行业的元任务分布与生产结构

在元任务框架的基础上,我们联合中金公司研究部,对各行业劳动者在不同元任务上的时间分配进行了估计。图表3.7展示了各行业的元任务时间分布,其中横轴按照元任务的难易程度进行排序。不难发现,虽然元任务在不同行业中的分布各不相同,但每种元任务在各个行业的工作中都不可或缺,而元任务在各行业的时间分配,一定程度上也刻画了各行业的生产特征。

图表3.7中偏红色部分为时间占比较大的元任务,可以发现部分行业的元任务时间分配有较为突出的特征。例如交通运输及物流业在空间移动导航任务上分配了六成左右的时间,批发和零售业在销售/劝说/诱导任务上分配了四成左右的时间,居民服务业、住宿和餐饮业在服务/接待任务上分配的时间占比也较多,教育业侧重教学/培训/辅导任务。从体力型任务、脑力型任务和社会型任务三种元任务类别来看,涉及体力型任务最多的是农林牧渔行业,该行业时间分配超过八成集中在力量型任务、灵巧型任务、空间移动导航任务等三类体力型元任务中。采矿、制造和建筑等行业中,三类体力型元任务也占据较大比例,其中采矿、资源加工和建筑等行业侧重力量型任务,水电热气供应、装备制造和轻工制造等行业则更偏重灵巧型任务。服务业,特别对于一些白领行业,体力型元任务分配的时间较少,而脑力型元任务及社交型元任务分配的时间较多,例如金融、信息服务、租赁和商务服务等行业。

图表3.7:各行业[34]生产活动中元任务的时间占比

注:图表上方元任务按照由易至难的顺序排列。图表中数据单位为百分比,基于2024年的实际情况估计。

资料来源:中金研究院,中金公司研究部,国家统计局,《中国投入产出表(2020)》,《中国人口普查年鉴(2020)》

将各行业中元任务的时间分配比例,按照各行业占总就业人数比重加权后,可以得到我国劳动者在元任务上的时间分配比例(图表3.8)。总体而言,我国劳动者最多的工作时间配置在体力型任务上,其次为社会型任务,虽然脑力任务划分的元任务类别最多,但合计时间占比仅约22%。按照元任务的执行难易度来划分,力量型任务、数字信息处理、视觉信息处理、灵巧型任务、空间移动导航任务等较容易的元任务,合计占将近一半时间比例,而听觉信息处理、语言信息处理、信息搜集检索任务、教学/培训/辅导等元任务合计占比较小,其余元任务则在2050年之前可能较难与实体经济融合。这表明,未来AI与产业的融合,可能会出现初期融合速度快,对劳动力市场冲击大,但中期融合速度变慢,对劳动力市场冲击力度减弱的特征。

图表3.8:中国劳动者的元任务时间分布

资料来源:中金研究院,中金公司研究部,国家统计局,《中国投入产出表(2020)》,《中国人口普查年鉴(2020)》

AI的行业融合时间表

人工智能与行业融合时间的快慢取决于两方面的因素:一是行业工资水平的高低,其它条件不变的情况下,工资水平越高的行业,越容易与AI元任务融合;二是行业元任务时间分布中,可以被低成本AI元任务代替的占比越高,越容易与AI元任务融合。比较各行业工资水平与考虑部署成本后的AI元任务成本,我们可以估算出AI在各行业不同时间的融合程度[35],结果列于图表3.9。

图表3.9:各行业与AI融合的时间表

注:图表中数据为各年度AI执行元任务时间占总时间百分比数值,具体计算方法为,在分析师对各行业不同元任务时间占比估计的基础上,逐年比较元任务AI部署成本和各行业劳动者工资水平,若某类元任务中AI部署成本低于劳动者工资水平,则该类元任务由AI执行。

资料来源:中金研究院,中金公司研究部,国家统计局,《中国投入产出表(2020)》,《中国人口普查年鉴(2020)》

如图表3.9所示,金融、信息服务、采矿、房地产、租赁和商务服务等行业工资水平相对较高,我们预计AI将首先进入这些行业;而批发和零售、居民服务、轻工制造、水利和环保、住宿和餐饮等行业工资水平相对较低,我们预计短期内AI与这些行业融合速度较慢。而例如采矿、资源加工、建筑、农林牧渔等行业,这类行业可能普遍存在需要力量型元任务的工作,这一任务使用AI执行的部署成本较低,因此当AI开始与这些行业融合时,可能发生较为明显的劳动替代现象。当然,AI技术的发展尚存在很多不确定性,图表3.9中的融合路径仅为基于假设条件的估计,可以作为对各行业融合快慢的大致参考,具体的融合程度和AI融合时间点可能受到AI技术和行业特点的影响而有所波动。

AI的市场空间有多大

AI的市场空间有多大,一直是AI从业者非常关注的问题,而元任务框架提供了一个相当直观的估算方式。在前文的讨论中,我们不仅估算了AI的成本下降曲线,也估算了各行业的融合时间表。利用AI元任务价格(成本)[36],我们就可以从产业端对AI的需求规模进行估算。在估算过程中,我们根据各行业生产结构的差异以及AI元任务间的互补关系,来判断不同时间点产业端对AI元任务需求量的变化。

我们预计2050年之前,力量型任务、数字信息处理、视觉信息处理、灵巧型任务、空间移动导航任务、听觉信息处理、语言信息处理、信息搜集和检索任务、教学/培训/辅导等九个AI元任务会依次与产业进行融合。图表3.10展示了我们对这九个AI元任务的市场需求估算。由于互补效应的存在,当某一AI元任务与经济融合度较高之后,随着AI元任务效率的提升(相对价格下降),该元任务的AI市场规模将下降。而这一特征在AI执行的力量型任务中,体现的较为明显。总的来看,我们预计产业端AI的需求市场规模在2030年将达到9.4万亿人民币,2035年为10.5万亿人民币,2050年为23.9万亿人民币。

虽然图表3.10只是从产业端按照元任务对AI的市场需求进行了估计,但事实上这种方法同样可以比较方便地从总需求侧对具体的AI产品进行市场规模进行预测。比如,我们知道人类所有的元任务时间分布(并不仅限于产业端),那么我们就可以根据AI产品能完成多少元任务,根据这部分AI元任务的市场价值进行加总,就可以获得该AI产品的市场预测。以人形机器人为例,假设人形机器人主要完成力量型、灵巧型以及空间移动导航的元任务,那么根据这几个AI元任务的市场规模进行加总,就可以粗略地得到人形机器人的市场需求规模。

当然,要想AI执行不同的元任务,离不开算力和模型的支持,根据中金公司分析师的预测,2030年我国AI算力硬件层(包括训练和推理侧)总体市场规模约在3.4万亿人民币,AI模型层市场规模约在1.8万亿人民币。这些投资对于拉动我国的需求,可以扮演重要的角色。

图表3.10:不同元任务在各年度的需求市场规模估计

注:图表中仅展示在2050年前已开始与经济融合的元任务,各年度数值为当年需求值而非累计需求值,采用2024年的不变价衡量。

资料来源:中金研究院,中金公司研究部,国家统计局,《中国投入产出表(2020)》,《中国人口普查年鉴(2020)》

AI对我国经济总量及生产效率的影响

加速经济总量提升

基于各行业的生产结构以及与AI元任务的融合时间表,我们可以估算AI对我国GDP和全要素生产率(TFP)的影响(图表3.11)。我们预计,以2024年为基准,AI的引入将为我国带来的GDP额外提升,在2030年约4.8万亿人民币,2035年约12.4万亿人民币,2050年约50.4万亿人民币,对应额外提升幅度分别为3.6%,9.8%和39.9%,对应额外年化增长率分别约为0.5%,0.8%和1.3%。

图表3.11还展示了AI对我国TFP增速的可能影响。由于早期AI与行业的融合度相对较低,AI对我国经济总量和生产效率的提升作用不大,但随着AI与行业的融合程度上升,AI元任务成本下降带来的效率提升将逐渐体现为全要素生产率的提升上。这也是为什么图表3.11中,AI带来的TFP增速变动,从当前0%左右一直增加到2030年以后的1.2%左右,趋势上随时间呈现先低后高的形态。

当然AI对经济总量的影响,还可能因为政策变化、统计测量、要素的重组、经济结构转变的粘性、技术不达预期或超预期等因素发生波动,从而带来高估或低估的风险。

图表3.11:AI带来的GDP额外提升及TFP变化

注:图表所示数据采用2024年的不变价衡量。

资料来源:中金研究院,中金公司研究部,国家统计局,《中国投入产出表(2020)》,《中国人口普查年鉴(2020)》

行业差异以及“鲍莫尔病”

利用行业层面的数据,我们估计了从2024年开始,分别到2030年、2035年和2050年,各行业因为AI带来的平均每年生产效率提升幅度,以反映短期到长期各行业效率提升的程度(图表3.12)。短期来看,2030年AI对采矿、医疗卫生、资源加工、信息服务、租赁和商务服务等行业的效率提升幅度较高。背后的原因在于这些行业短期更容易与AI元任务融合。

图表3.12:AI带来的各行业效率提升比较

注:图表所示为从2024年开始,分别到2030年、2035年和2050年,各行业因为AI带来的平均每年生产效率提升幅度。图表左侧行业名称按照2030年的数值由高至低排列。

资料来源:中金研究院,中金公司研究部,国家统计局,《中国投入产出表(2020)》,《中国人口普查年鉴(2020)》

但从较远的时间点看,各行业的融合程度变得较为稳定,这时各行业的生产结构将扮演更重要的角色。生产要素结构中,对于AI元任务占比高的行业,将更能体现AI成本下降带来的效率提升。如医疗卫生、租赁和商务服务[37]、教育、农林牧渔等,我们预计2050年AI对这些行业效率提升幅度最大。而住宿和餐饮、轻工制造等行业由于工资水平较低,生产要素结构中AI元任务占比低,效率提升相对较低。

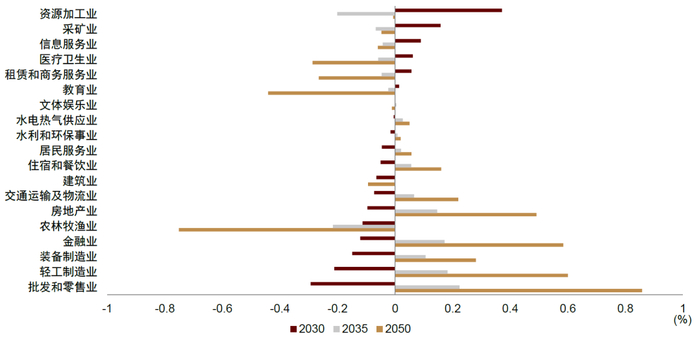
短期效率提升快的行业对经济增长贡献更大,长期经济结构变动或呈现“鲍莫尔病”现象。AI影响下,各行业对GDP额外增长的贡献可以通过观察行业在GDP中的份额变化来判断,若行业份额增加,则对GDP增长的贡献也较大,若行业份额减少,则对GDP增长的贡献也较小。短期来看,各行业产品的相对价格变化不大,AI带来效率提升较快的行业产出增长也较快,因此效率提升快的行业对GDP额外增长的贡献也相对较大,如资源加工、采矿、信息服务、医疗卫生、租赁和商务服务等行业。效率提升较慢的行业,对GDP的贡献也较小,如批发和零售、轻工制造等行业(图表3.13)。但长期来看,行业在经济结构中的重要性可能发生调整,效率提升较快的行业可能遇到“鲍莫尔病”现象,随着产量大幅提升,该行业的产品或服务可能越来越难以满足消费者,不同行业产品之间的互补效应可能导致这些行业对经济增长的作用降低,从而导致行业份额的下降。如2050年效率提升较快的医疗卫生、租赁和商务服务、教育、农林牧渔等行业,对GDP额外增长的贡献反而较低;轻工制造、批发和零售、金融、房地产等行业,受AI带来的效率提升较少,其产品或服务的供给量增长也有限,可能反而导致行业份额的增加,对GDP额外增长的贡献也较高(图表3.13)。

图表3.13:各行业在GDP中的份额相对2024年的变化

注:图表所示为预计到2030,2035和2050年,各行业在GDP中的份额百分比相对于2024年的变化。图表左侧行业名称按照2030年的数值由高至低排列。其中2030年的估计基于结构短期难以调整的假设,2035年和2050年的估计基于结构长期可以调整的假设。

资料来源:中金研究院,中金公司研究部,国家统计局,《中国投入产出表(2020)》,《中国人口普查年鉴(2020)》

AI对我国劳动力市场的影响

好的更好差的更差:劳动市场分化

从元任务视角来看,AI对人类的劳动冲击可以根据相关的元任务是否可以由AI完成来区分。对于较易被AI执行的元任务而言,只要AI的成本降低至人类劳动成本以下,AI在这类任务上相对于人类就具有比较优势,这类任务也将越来越多地被AI所执行。对于那些难以被AI执行,或者AI执行成本较高的元任务而言,人类劳动具有比较优势,AI对这类任务起到赋能作用,并且这些任务也将吸纳更多的人类劳动者。随着AI的不断进步,以及与经济不断融合,人类和AI将会根据不同的元任务进行分工。我们根据各行业的融合要求,对人工完成元任务的需求量进行了估计,并列于图表3.14。

图表3.14左图,包含2050年前已开始与实体经济融合的元任务,包括力量型任务、灵巧型任务、空间移动导航任务、视觉信息处理、听觉信息处理、语言信息处理、数字信息处理、信息搜集检索任务、教学/培训/辅导等;图表3.14右图,则包含2050年前还尚未开始融合的元任务。与AI融合的任务将会替代人类劳动,这部分任务对人类的劳动需求,将随着AI成本下降而逐步趋于零;未与AI融合的任务则赋能人类劳动,这部分任务对人类的劳动需求持续增加,未来人类或将更多地执行较难由AI执行的任务,如多数问题解决类任务和社交型任务。对人工元任务需求量的差异,最终将表现为人工元任务价格的差异,从而分化劳动力市场。

图表3.14:不同类型元任务对人类劳动可能的冲击

注:图表所示为全社会对各类元任务劳动需求总量的变化,纵坐标为各类元任务的劳动需求量,每个工作年为劳动者按照49小时每周,每年52周的等效劳动量。

资料来源:中金研究院,中金公司研究部,国家统计局,《中国投入产出表(2020)》,《中国人口普查年鉴(2020)》

AI短期对劳动替代效应较强,长期赋能效应更强

短期内劳动者的技能可能难以转换,面临AI的冲击,更可能在工资更低的行业寻找相近工作,但长期劳动者可以进行人力资本的转换,向高工资行业转移。当AI在某些元任务上低于人类劳动成本时,这部分劳动者可能较快地被替代,而且人类可能难以在短时间内学习到大量新的知识或能力,因此只能去其他行业寻找类似的工作。然而对于具体的某类元任务,AI将先替代高工资行业的工作,这部分被替代的劳动者只能向低工资行业聚集,低工资行业劳动供给的增加又可能导致这部分行业工资进一步降低,从而导致收入差距扩大。但从长期来看,情况可能发生变化,AI可以帮助人类节省时间,从而有更多的时间学习新的知识和能力,提高人类的学习效率,并且人类可以有意识地从小就培养AI无法替代的能力。

基于上述的判断,我们假设劳动者短期跨行业就业成本高,长期可以在不同行业的不同类型工作中转移,以考察AI对不同行业就业份额的影响,并将结果列于图表3.15。基于中国的数据,我们发现短期内劳动者可能更多地向轻工制造和住宿餐饮等低工资行业的同类工作转移;但长期来看,劳动者也可能向金融、信息服务、房地产、租赁和商务服务、医疗卫生等行业转移。为了让劳动者顺利完成技能和行业的过渡,减少AI带来的就业摩擦对劳动者的冲击,职业教育或再就业保障等措施,将在这一过程中扮演重要角色。

图表3.15:不同行业短期和长期面临的就业份额变化

注:图表所示为各年度不同行业占总体就业人数百分比。2030年的估算基于各行业的短期劳动供需情况,假设被AI替代的劳动者只能到其他行业从事同类元任务的工作。2035/2050年的估算基于各行业的长期劳动供需情况,并假设被AI替代的劳动者可以在任意行业从事任意元任务类型的工作。短期和长期估算均基于充分就业情形。

资料来源:中金研究院,中金公司研究部,国家统计局,《中国投入产出表(2020)》,《中国人口普查年鉴(2020)》

在前文估计AI对中国经济影响的结果中,我们基于当前客观事实做出的前提假设可能在未来发生改变,从而导致结果偏离估计值的风险,对估算结果的解释需要考虑前提条件的适用与否。经济中的其他因素,如人口结构、人力资本结构、产业结构、经济主体的偏好和预期、与AI无关的潜在增速等均可能随时间发生变化,为了区分人工智能和其他因素的影响,我们仅考虑未来各年度AI成本变化对当前经济结构[38]的冲击,以考察AI对经济的净影响。需注意的是,现实情况可能并不一定会完全遵循这些设定与假设,未来如出现其他新技术突破,AI技术进展不达预期,或是出台各类经济政策等,均有可能导致估计结果发生一定偏离。我们提供的估计结果仅为基于当前已有客观事实的合理预测,将其应用于解释未来人工智能的经济影响时,须考虑前提条件的适用性。

五、思考与启示

从上世纪中叶开始兴起的人工智能研究,在过去几十年的发展似乎并不及人们的预期。然而,近两年随着以大语言模型为代表的人工智能的突破,尤其是通用化能力的提升,让我们相信AI的发展已经到了一个重要的转折时刻,并将对产业结构、经济增长、工资水平以及社会发展等方面产生重要影响。在自动化时代,Acemoglu提出了基于任务类型分析自动化对经济影响的任务替代模型,但进入AI时代,这一模型也面临新的挑战,需要针对AI通用化的特点做出调整。为了反映AI的新发展特点,我们将人类的任务按功能区分为独立且完备的16个元任务,并构建了元任务框架。

基于元任务框架,我们估算了各年度AI对中国的经济影响。相比基准情况,我们预计AI的引入将在2030年为中国额外提升约4.8万亿人民币GDP,2035年约12.4万亿人民币,2050年约50.4万亿人民币,提升幅度分别为3.6%,9.8%和39.9%,对应额外年化增长率分别约为0.5%,0.8%和1.3%。行业端AI的需求市场规模在2030年将达到9.4万亿人民币,2035年为10.5万亿人民币,2050年为23.9万亿人民币。未来十年,AI对采矿、医疗、资源加工、信息、租赁和商务服务等行业的生产率提升较大,对批发零售、住宿餐饮、轻工制造等行业的生产率提升较慢。受AI影响,我国就业短期可能向轻工制造、住宿和餐饮等行业转移,但长期看则可能向金融、信息服务、地产、租赁和商务服务、医疗等行业转移。

AI元任务框架,不仅可以帮助我们估算AI对经济的影响,同时也为我们分析AI可能带来的社会影响提供了新的角度。首先,大国规模在AI的产业应用中扮演着重要的角色。从经济增长的角度看,AI元任务成本的下降,尽管在较长的时间范围内不会带来“爆炸性”增长,但却会推升经济增长率,不过产业与AI的融合摩擦,可能放缓这一过程,并可能带来“索洛生产率悖论”的现象。也正是由于这些摩擦的存在,使得产业融合AI的模式创新和流程创新变得非常重要。在这一过程中,大国依靠内部规模效应,可以更快地降低AI元任务的研发成本;借助外部规模效应,可更快地降低AI的部署成本,从而缩短AI与产业融合的时间。并且由于大国行业与市场的多样性,还可以平滑AI对就业的短期冲击。因此,同等条件下,大国更容易获得AI发展的领导地位,行业结构也可能更加平衡;而小国则可能为了获得更快的增长潜力,内部产业出现向人工元任务密集行业聚集的情况。

此外,从元任务视角来看,AI并非只是单向地赋能或者替代人类劳动,其通用化的特点已经勾勒出未来人与AI如何分工共存的模式。如果AI部署某种元任务的成本低于人工,AI将替代这部分人工元任务,从事这部分元任务的劳动力将会减少。但由于不同元任务之间关系是互补的,对于从事那些AI无法替代的元任务的劳动力而言,随着AI的引入,其边际产出将提升,因此AI对他们是赋能的。所以AI元任务天然具备赋能和替代两个效果。短期来看,这显然会对那些擅长的元任务类型与AI元任务重合的人不利,这部分劳动力将流入到工资更低的岗位中去。但从长期来看,由于AI无法完成的元任务需求提升,将吸引更多劳动力的投入,这将导致AI与劳动力之间形成更强的互补关系。根据我们对AI完成不同类型元任务的时间路径判断,未来30年,人类将越来越多地聚集在从事研发与社会活动密集的行业中,而那些体力类型或缺乏复杂推理创新或社会属性的工作可能会被AI所替代。

另外,元任务框架也让我们多了一个角度去理解AI对收入分配的影响。在元任务分析框架下,由于元任务之间的关系是互补的,因此元任务AI替代占比最高的行业,剩余劳动者工资水平可能增加更快。但从行业角度来看,这个结论并不必然。在各行业AI替代元任务放缓的时间段,由于“鲍莫尔病”,那些元任务AI替代占比低的行业(往往是低收入的行业),其工资增速可能更快,直到该行业有更多元任务被AI替代。这为我们理解劳动收入占比(labor share)的变化提供了新的视角。从宏观角度来看,AI对劳动收入占比的影响也不是单向的。当某一新的元任务刚开始被AI大规模替代时,劳动者的工资议价能力受到抑制,从而导致全社会的劳动收入占比降低。但在AI元任务替代人工元任务的不那么密集的时期,随着AI元任务成本的快速下降,由于互补效应,人工完成AI无法替代的元任务的价格上升,将带来全社会的劳动收入占比上升。因此AI对全社会劳动收入占比的影响,很可能会出现随着时间反复变动的情形。

最后,由于AI的发展对不同人群的影响是多方面的,这也让福利社会的建立具备了合理性。一方面,AI元任务成本的下降最终会推动社会总产出的增加,这为福利社会的建立奠定了物质基础。另一方面,如果缺少福利社会的建设,AI元任务的大规模部署导致收入差距扩大,劳动收入占比下降,从而最终减弱社会总需求,拉低社会的潜在增速,并降低全社会的福利水平。随着AI替代元任务比例的上升,全社会能否共同享受生产效率提升带来的好处,并随着闲暇的价值提升,享受更多的休闲时光,而不是因为工资收入减少而增加劳动时间,或将成为判断AI时代一个社会好与坏的重要标准。

[1]预测数据以2024年为基准年,其他机构如Goldman Sachs等也采用类似口径预测AI经济影响,以便于比较,见:Goldman Sachs. (2023). The Potentially Large Effects of Artificial Intelligence on Economic Growth (Briggs/Kodnani). Global Economics Analyst.

[2]Greenberger, M. (1962). COMPUTERS AND THE WORLD OF THE FUTURE.

[3]Good, I. J. (1966). Speculations concerning the first ultra intelligent machine. In Advances in computers (Vol. 6, pp. 31-88). Elsevier.

[4]Vinge, V. (1993). The coming technological singularity: How to survive in the post-human era. Science fiction criticism: An anthology of essential writings, 81, 352-363.

[5]Kurzweil, R. (2005). The singularity is near. In Ethics and emerging technologies (pp. 393-406). London: Palgrave Macmillan UK.

[6]Trammell, P., & Korinek, A. (2023). Economic growth under transformative AI (No. w31815). National Bureau of Economic Research.

[7]Aghion, P., Jones, B. F., & Jones, C. I. (2017). Artificial intelligence and economic growth (Vol. 23928). Cambridge, MA: National Bureau of Economic Research.

[8]Nordhaus, W. D. (2021). Are we approaching an economic singularity? information technology and the future of economic growth. American Economic Journal: Macroeconomics, 13(1), 299-332.

[9]Baumol, W. J. (1967). Macroeconomics of unbalanced growth: the anatomy of urban crisis. The American economic review, 415-426.

[10]Trammell, P., & Korinek, A. (2023). Economic growth under transformative AI (No. w31815). National Bureau of Economic Research.

[11]Acemoglu, D., & Restrepo, P. (2018). The race between man and machine: Implications of technology for growth, factor shares, and employment. American economic review, 108(6), 1488-1542.

[12]Kaldor, N. (1961). Capital accumulation and economic growth. In The Theory of capital: proceedings of a conference held by the International Economic Association (pp. 177-222). London: Palgrave Macmillan UK.

[13]Jones, C. I. (2016). The facts of economic growth. In Handbook of macroeconomics (Vol. 2, pp. 3-69). Elsevier.

[14]https://aiindex.stanford.edu/wp-content/uploads/2024/04/HAI_AI-Index-Report-2024_Chapter2.pdf

[15]Taylor, F. W. (1919). The principles of scientific management. Harper & brothers.

[16]Fernández-Macías, E., & Bisello, M. (2022). A comprehensive taxonomy of tasks for assessing the impact of new technologies on work. Social Indicators Research, 159(2), 821-841.

[17]Grace, K., Stewart, H., Sandkühler, J. F., Thomas, S., Weinstein-Raun, B., & Brauner, J. (2024). Thousands of AI authors on the future of AI. arXiv preprint arXiv:2401.02843.

[18]https://aiindex.stanford.edu/wp-content/uploads/2024/04/HAI_AI-Index-Report-2024_Chapter2.pdf

[19]https://www3.weforum.org/docs/WEF_Jobs_of_Tomorrow_Generative_AI_2023.pdf

[20]Grace, K., Stewart, H., Sandkühler, J. F., Thomas, S., Weinstein-Raun, B., & Brauner, J. (2024). Thousands of AI authors on the future of AI. arXiv preprint arXiv:2401.02843.

[21]https://epochai.org/research

[22]https://artificialanalysis.ai/models

[23]https://www.ark-invest.com/articles/analyst-research/industrial-robot-cost-declines

[24]Solow, R. (1987). We'd better watch out. New York Times Book Review, 36.

[25]Brynjolfsson et.al. (2017), Artificial Intelligence and the Modern Productivity Paradox: A Clash of Expectations and Statistics, working paper.

[26]Brynjolfsson et.al. (2017), Artificial Intelligence and the Modern Productivity Paradox: A Clash of Expectations and Statistics, working paper.

[27]https://epochai.org/research

[28]https://artificialanalysis.ai/models

[29]https://www.ark-invest.com/articles/analyst-research/industrial-robot-cost-declines

[30]https://www.mckinsey.com/capabilities/mckinsey-digital/our-insights/technologys-generational-moment-with-generative-ai-a-cio-and-cto-guide

[31]https://www.mecademic.com/knowledge_base/robots-total-cost-of-ownership-tco/

[32]https://changediscussion.com/value-of-humanoid-robots/

[33]具体估计方法为基于供给侧厂商均衡条件下,使用各类元任务的AI成本变化冲击,估算各年度AI的经济影响。其中各类元任务以互补形式构成劳动要素,劳动和资本组合形成行业产出,各行业产出形成GDP。在具体行业的具体元任务中,如果AI的(部署)成本低于人工成本,则该任务由AI执行,否则由人类执行,对每个行业,我们采用CES函数估计元任务和总的劳动要素投入之间的关系,其中元任务之间的替代弹性系数设定为0.5,参考:Acemoglu, D. (2024). The Simple Macroeconomics of AI (No. w32487). National Bureau of Economic Research。对于资本和劳动要素,我们采用Cobb-Douglas函数估计劳动要素、资本要素和行业产出之间的关系。对于行业产出到GDP的长期估算,我们从总需求函数的视角,采用CES函数估计行业产出和国内生产总值之间的长期关系,其中行业之间的替代弹性系数设为0.7,参考:Nordhaus, W. D. (2008). Baumol's diseases: a macroeconomic perspective. The BE Journal of Macroeconomics, 8(1)。

[34]本文中的行业分类采用《国民经济行业分类(GB/T 4754-2017)》中行业大类,为便于呈现和理解,部分行业名称进行了调整或精简。另外制造业包含较多子行业,因此拆分为三类,其中轻工制造业包含:农副食品加工业,食品制造业,酒、饮料和精制茶制造业,烟草制品业,纺织业,纺织服装、服饰业,皮革、毛皮、羽毛及其制品和制鞋业,木材加工和木、竹、藤、棕、草制品业,家具制造业,造纸和纸制品业,印刷和记录媒介复制业,文教、工美、体育和娱乐用品制造业,其他制造业;资源加工业包含:石油、煤炭及其他燃料加工业,化学原料和化学制品制造业,医药制造业,化学纤维制造业,橡胶和塑料制品业,非金属矿物制品业,黑色金属冶炼和压延加工业,有色金属冶炼和压延加工业,金属制品业,废弃资源综合利用业;装备制造业包含:通用设备制造业,专用设备制造业,汽车制造业,铁路、船舶、航空航天和其他运输设备制造业,电气机械和器材制造业,计算机、通信和其他电子设备制造业,仪器仪表制造业,金属制品、机械和设备修理业。

[35]即AI元任务可以替代总工作时间中的比例。

[36]本文使用考虑部署成本的AI元任务成本来估算AI市场空间。根据市场的定义不同,也可以选择被AI元任务替代的人工价格、或者研发端AI元任务成本来进行估算。

[37]租赁与商务服务早期即更受益于AI融合度高带来的好处,同时中长期也会享受AI元任务在生产要素结构中占比高带来的好处。

[38]各行业的劳动份额,以及增加值占GDP比例按照《中国投入产出表(2020)》计算,各行业就业人数占比按照《中国人口普查年鉴(2020)》计算,全国就业总人数、GDP总量、平均每周工作小时数按照2023年数据计算。

本文摘自:2024年6月28日已经发布的《第三章 元任务与AI经济影响分析》

周子彭 分析员 SAC 执证编号:S0080520070004 SFC CE Ref:BRW302

熊督闻 联系人 SAC 执证编号:S0080123070069

周彭 分析员 SAC 执证编号:S0080521070001 SFC CE Ref:BSI036

蔡志刚 联系人 SAC 执证编号:S0080123040058

彭文生 分析员 SAC 执证编号:S0080520060001 SFC CE Ref:ARI892

加载中...