新浪财经

湖北省2024年艺术类一分一段统计表来了!

湖北发布

关注

湖北省2024年表(导)演类

(戏剧影视表演、戏剧影视导演、服装表演)

综合排序成绩一分一段统计表(本科)

湖北省2024年表(导)演类

(戏剧影视表演、戏剧影视导演、服装表演)

综合排序成绩一分一段统计表(专科)

湖北省2024年播音与主持类

综合排序成绩一分一段统计表

湖北省2024年美术类、设计类

综合排序成绩一分一段统计表

湖北省2024年书法类

综合排序成绩一分一段统计表

湖北省2024年舞蹈类

综合排序成绩一分一段统计表

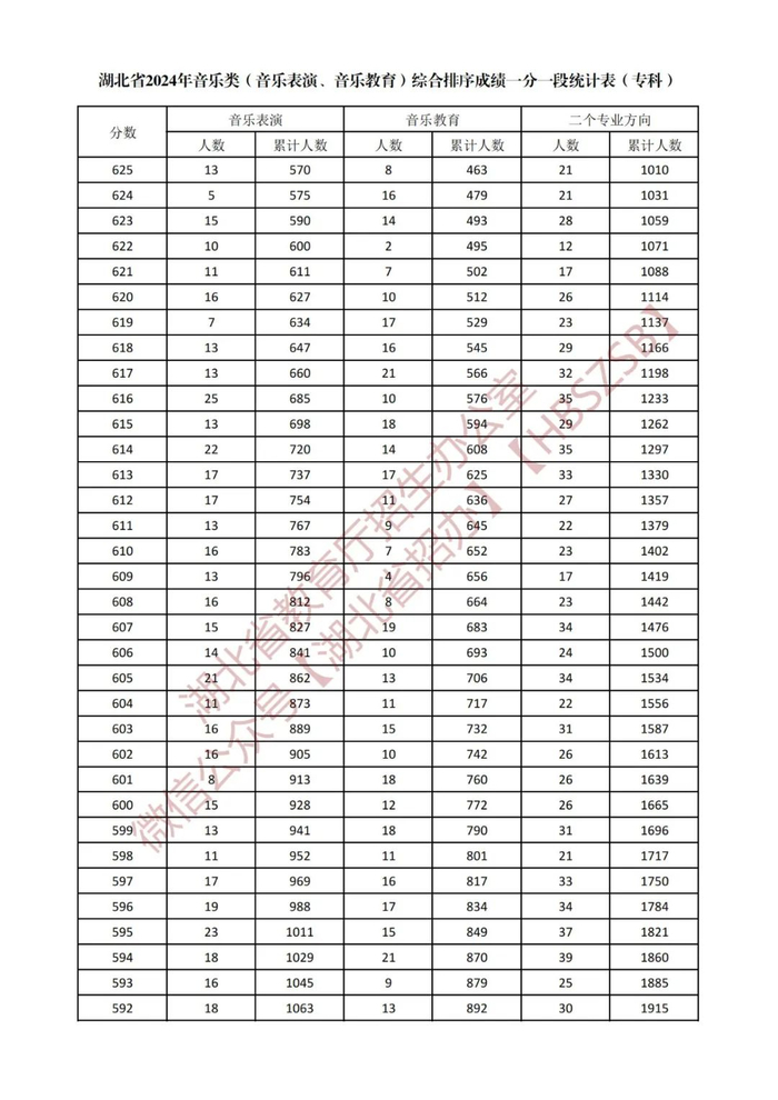
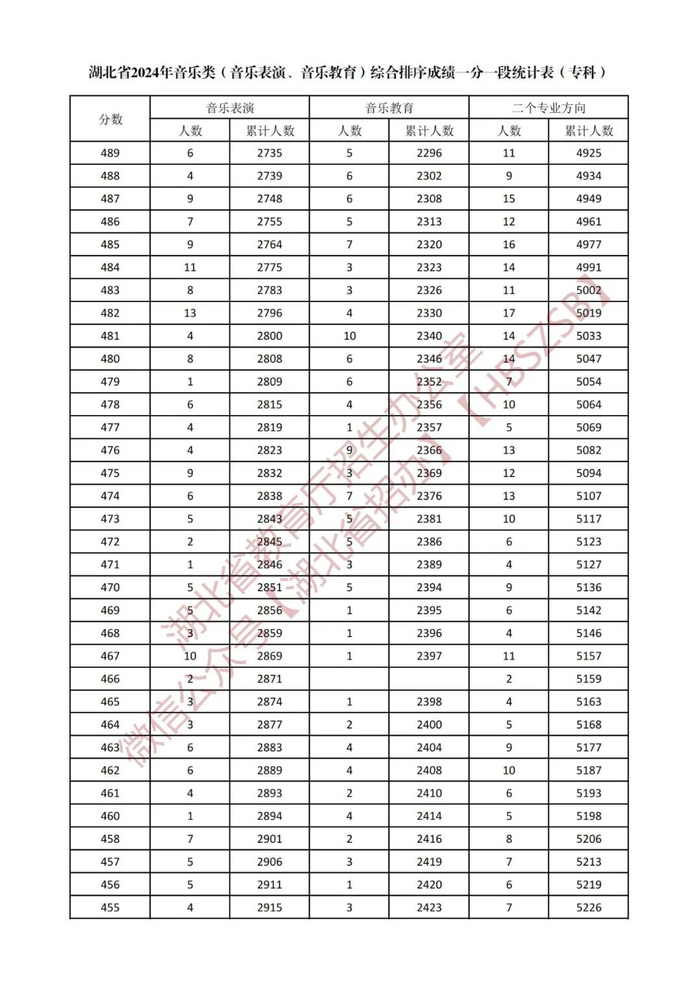
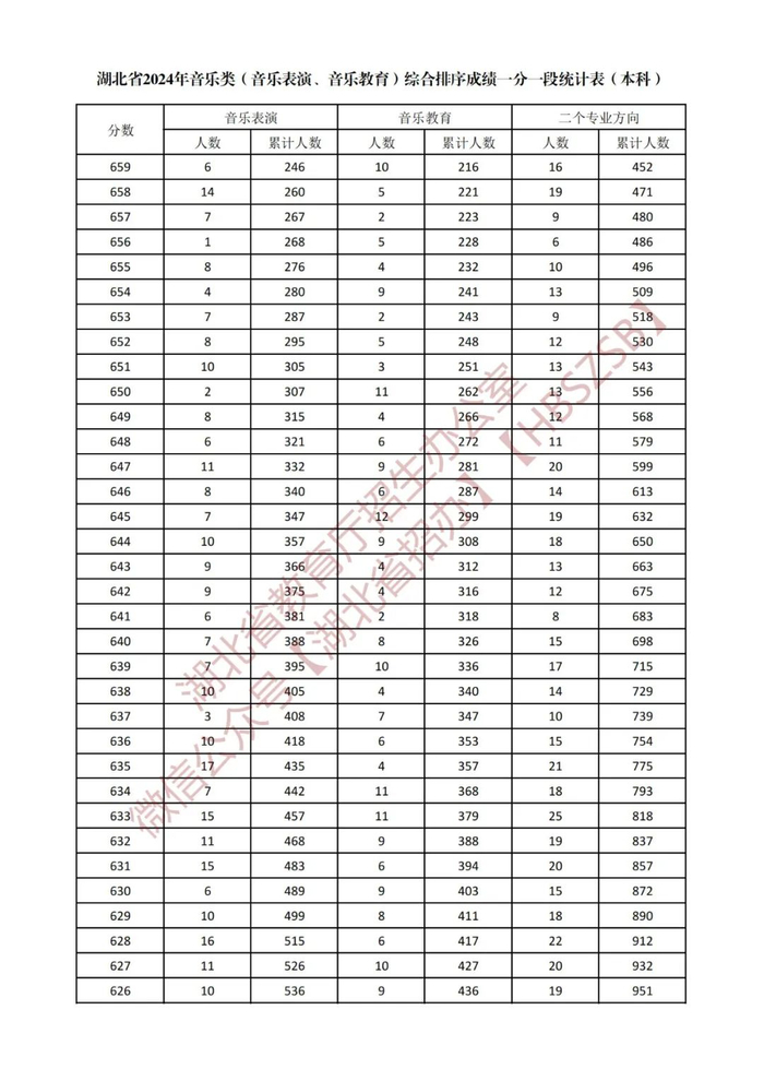
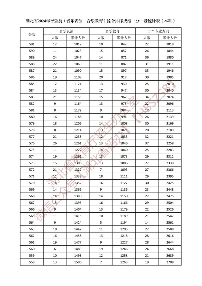
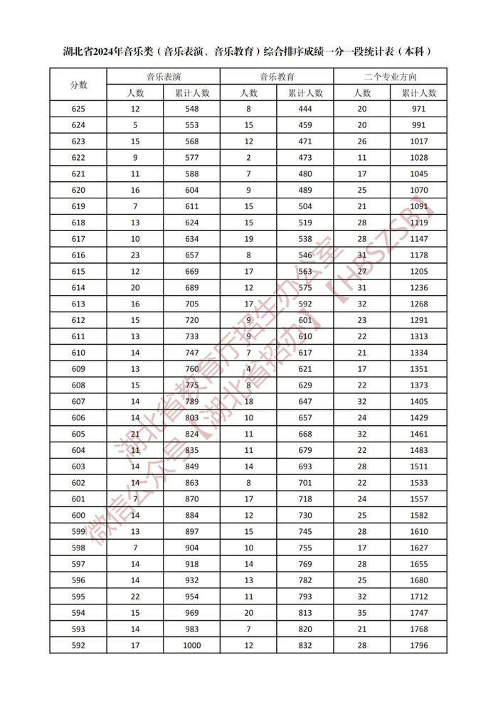
湖北省2024年音乐类

(音乐表演、音乐教育)

综合排序成绩一分一段统计表(本科)

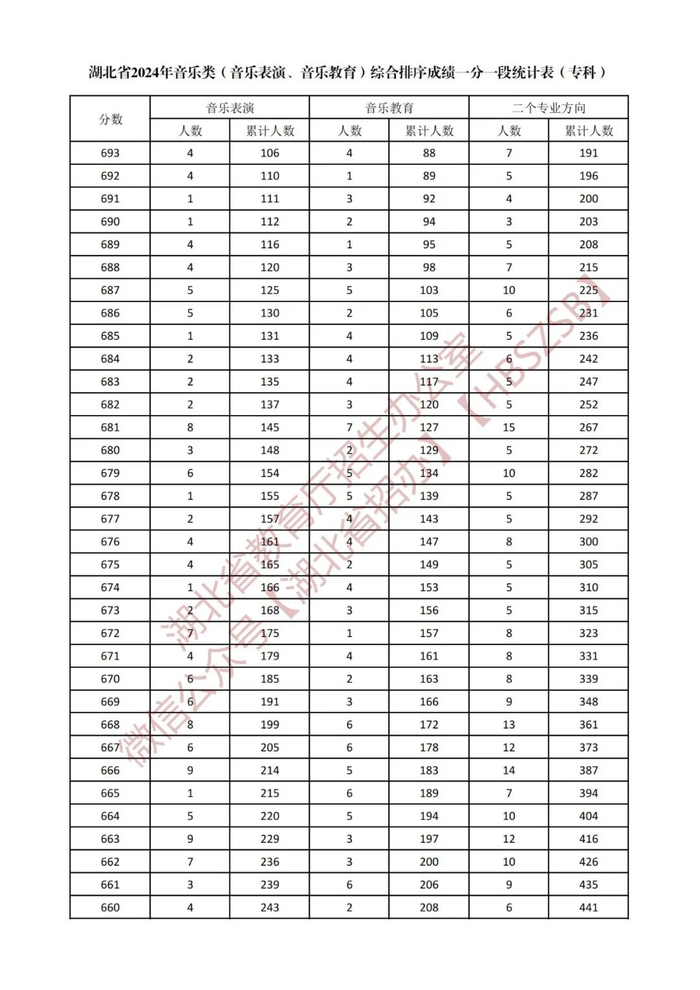
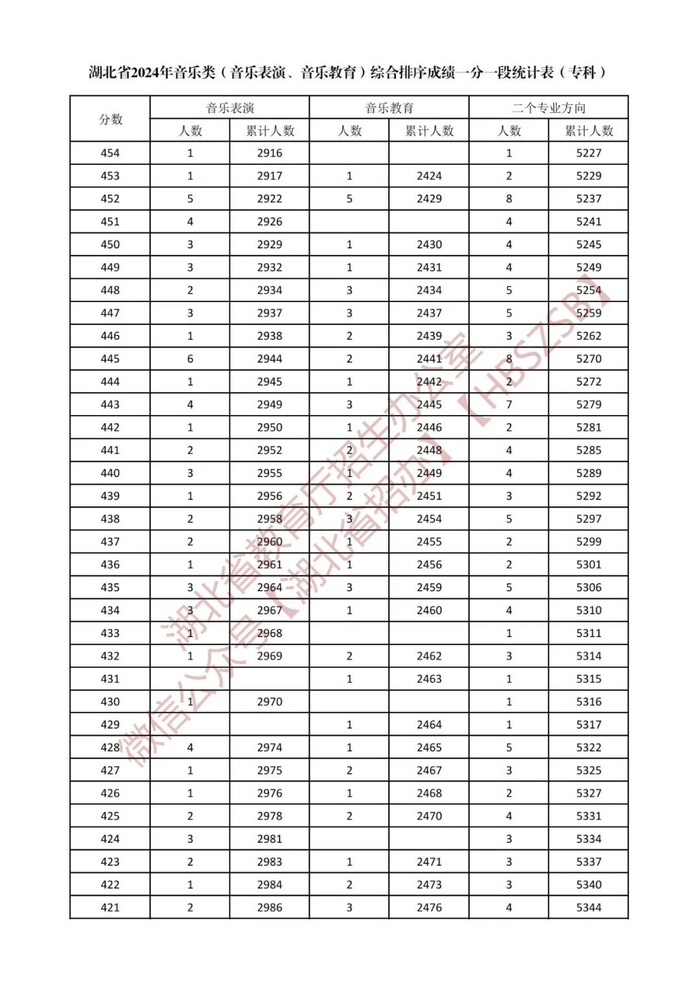
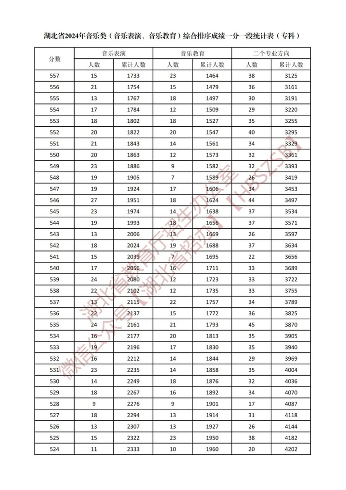
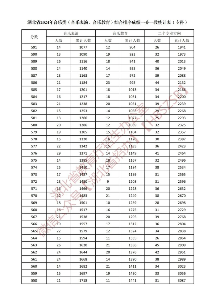
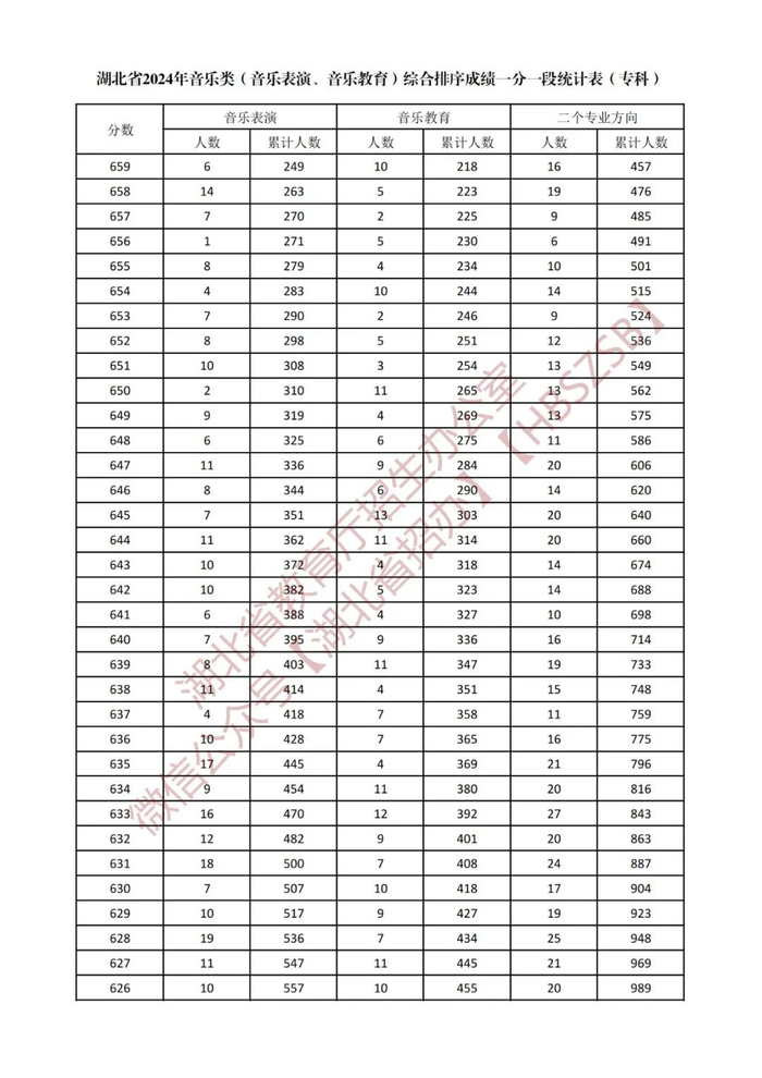
湖北省2024年音乐类

(音乐表演、音乐教育)

综合排序成绩一分一段统计表(专科)

1.复核申请时间:考生如对成绩有异议,可申请复核。复核申请时间:2024年6月25日8:30-6月27日17:00,6月27日后不再受理。

3.复核时间:2024年6月28日-29日。

4.复核科目:普通高考各科目、普通高中学业水平选择性考试各科目、技能高考文化综合科目。

5.复核内容:核查考生信息与答卷是否一致;答卷扫描图像是否清晰、完整;是否存在漏评;小题得分是否漏统;各小题得分合成后是否与提供给考生的成绩一致等。评卷教师对评分标准的执行情况不属复查范围,违规考生各科目不予复查。考生答卷及扫描图像、评卷信息等考试信息按国家秘密级事项管理,考生不得查阅本人答卷。

6.复核结果反馈:6月30日,考生可登录湖北省教育考试院网站(http://www.hbea.edu.cn)查询和打印本人复核结果。对复核发现的问题经相应学科专家复审组、成绩复核工作领导小组认定后予以更正。

加载中...