新浪财经

外资持续流入A股,近三年被投企业净增1100家,ESG表现整体优于非外资持股企业

时代周报猛犸工作室

关注

来源|时代投研

作者|比克

编辑|郑少娜

今年年初,国家金融监督管理总局副局长肖远企对外表示,不再对银行外资股份的持股比例进行限制,外国资本可以持有银行保险机构100%的股权,实现完全控股。

那么,对于国际资本而言,A股资本市场的吸引力如何?

据Wind数据显示,如图表1所示,截至2024年5月31日,A股上市公司被外资持有的股票数量合计为1345.54亿股,与2021年同期相比增长近30%,三年间的年复合增长率约为9%,总体呈稳健增长趋势。

随着A股市场不断实施稳定政策并逐步加快市场化进程,中国庞大的经济体量和资本市场规模成为海外投资者无法忽视的重要因素。越来越多的外资对中国市场“情有独钟”,将加速进入市场,进一步配置中国资产。

时代商学院研究发现,外资对A股上市公司的持股数量变化,除了受A股市场走势、政策等多方面因素影响,上市企业的ESG表现也愈发成为其重要考量。

超六成A股企业涉外资持股,ESG表现整体优于非外资持股企业

据Wind数据显示,截至今年5月31日,A股共有3411家上市公司涉及外资持股,占同期A股全部上市公司数量的比例达63.46%。同花顺iFinD数据显示,2021年5月31日—2023年5月31日,含有外资持股的A股上市公司数量分别为2307家、2643家、3327家。

计算可知,2021年5月31日—2024年5月31日,外资持有的A股上市公司数量近三年增长超1100家,以13.92%的年复合增长率平稳增长。

从外资的持股市值来看,如图表2所示,有36家公司的外资持股市值超百亿元,外资持股市值最高的公司为贵州茅台(600519.SH),达1495.08亿元;不过,还有2181家公司的外资持股市值不足1亿元,占比达64%。

从外资的持股比例来看,截至5月31日,外资持股数量占总股本比例达10%以上的公司有41家,占比约为1%。其中,外资持股比例最高的公司为宏发股份(600885.SH),达24.53%;此外,还有2095家公司的外资持股比例不足1%,占比达61%。

综上可知,2021年以来,外资对A股上市公司的持股数量及市值均呈平稳增长趋势,但大部分公司的外资持股市值较小、比例较低,仍有较大提升空间。

从ESG表现来看,截至今年5月31日,上述3411家外资持股公司的Wind ESG平均得分为5.83分,2021年5月31日—2023年5月31日,该3411家公司的Wind ESG平均得分分别为4.83分、5.61分、5.81分,近三年的ESG整体表现逐年提升。

此外,截至今年5月31日,A股还有1952家上市公司未涉及外资持股,其中有13家未被纳入Wind ESG,剔除它们后,其余公司的Wind ESG平均得分为5.39分。

由此可见,与未涉及外资持股的上市公司相比,外资持股企业的ESG表现相对受到了更高评价。同时,从历史表现看,有外资持股的上市公司ESG表现也呈现出逐年提升的态势。

海外ESG评级机构加码A股,外资持股比例较高公司MSCI评级领先

近年来,A股上市公司逐步被纳入MSCI(明晟)、FTSE(富时罗素)等国际指数公司和评级机构的筛选范围内,且评级覆盖度不断扩大,这与A股整体ESG表现提升或有一定关系。

据Wind数据显示,截至今年5月31日,A股上市公司共计5363家,其中2118家公司披露了2023年度ESG报告,披露率为39.49%。而2021—2023年,A股披露年度ESG报告的公司分别为1156家、1473家、1847家,披露率分别为24.61%、29%、34.55%。

由此可知,2021年以来,A股披露ESG报告的上市公司不断增加,披露率呈连续提升态势。

在全球各大国际指数公司中,MSCI指数是全球投资组合中采用最多的投资标的。据MSCI官网显示,截至今年5月31日,MSCI的ESG评级体系已纳入超600家A股上市公司,对A股上市公司的覆盖率从2021年的10.4%上升至约12.66%。

值得注意的是,时代商学院统计发现,截至今年5月31日,在外资持有股份比例最高的前100A股上市公司中,MSCI评级体系的覆盖率达到62%,远超对A股上市公司的整体覆盖率。

从ESG评级情况来看,在MSCI纳入的667家A股上市公司中,截至今年5月31日,其ESG评级在“领先”(AAA级、AA级)、“一般”(A级、BBB级、BB级)、“落后”(B级、CCC级)水平的公司占比分别为2.4%、35.98%、61.62%。

而在上述外资持股比例较高,且被纳入MSCI评级体系的62家公司中,其ESG评级在“领先”(AAA级、AA级)、“一般”(A级、BBB级、BB级)、“落后”(B级、CCC级)水平的公司占比分别为4.84%、56.45%、38.71%。

由此可知,对于外资持股比例较高的A股上市公司,MSCI的覆盖率超过六成,且给出的ESG评级亦优于A股其他上市公司。

外资持股企业MSCI评级最高达AAA级,电子企业更受青睐

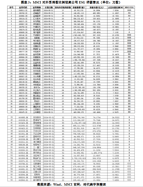
如图表3所示,截至今年5月31日,在外资持股比例较高,且被纳入MSCI评级体系的62家公司中,ESG评级为“领先”水平的公司有3,其中,丽珠集团(000513.SZ)的ESG评级为AAA级,且是A股唯一MSCIAAA级的企业,其外资持股比例为7.52%;迈瑞医疗(300760.SZ)、金域医学(603882.SH)的ESG评级均为AA级,其外资持股比例分别为11.6%、10.72%。

ESG评级在“一般”水平的公司有35,其中,汇川技术(300124.SZ)、东方雨虹(002271.SZ)的ESG评级为A级,其外资持股比例分别为21.89%、15.11%;宁波银行(002142.SZ)、珀莱雅(603605.SH)的ESG评级为BBB级,其外资持股比例分别为23.68%、22.16%;益丰药房(603939.SH)、宇通客车(600066.SH)的ESG评级为BB级,其外资持股比例分别为21.47%、18.77%。

此外,ESG评级在“落后”水平的公司有24,其中,宏发股份(600885.SH)、思源电气(002028.SZ)的ESG评级为B级,其外资持股比例分别为24.53%、14.61%;北新建材(000786.SZ)、恒力液压(601100.SH)的ESG评级为CCC级,其外资持股比例分别为14.39%、13.38%。

从行业分布来看,上述62家上市公司中,电子行业(申万一级,下同)公司最多,有9;其后依次为机械设备、家用电器行业公司,分别有7家、6家;电力设备、医药生物行业公司均有5家;银行、建筑材料、汽车行业公司均有4家;食品饮料、有色金属、基础化工行业公司均有3家;通信行业公司有2家;传媒、纺织服饰等7个行业公司均有1家。

从地域分布来看,上述62家上市公司中,来自浙江省的企业最多,有11家;其次为广东省,有10家;北京有8家;江苏省、山东省均有6家;上海、福建省均有5家;安徽省、湖南省分别有3家、2家;贵州省、河南省等6个省份均有1家。

总结来看,被纳入MSCI评级体系的62家外资持股公司主要分布在浙江、广东、北京等经济实力较强地区;从行业分布看,电子、机械设备、医药生物等高技术行业,以及银行、建筑材料等重资产行业更易受外资青睐。

(全文2522字)

免责声明:本报告仅供时代商学院客户使用。本公司不因接收人收到本报告而视其为客户。本报告基于本公司认为可靠的、已公开的信息编制,但本公司对该等信息的准确性及完整性不作任何保证。本报告所载的意见、评估及预测仅反映报告发布当日的观点和判断。本公司不保证本报告所含信息保持在最新状态。本公司对本报告所含信息可在不发出通知的情形下做出修改,投资者应当自行关注相应的更新或修改。本公司力求报告内容客观、公正,但本报告所载的观点、结论和建议仅供参考,不构成所述证券的买卖出价或征价。该等观点、建议并未考虑到个别投资者的具体投资目的、财务状况以及特定需求,在任何时候均不构成对客户私人投资建议。投资者应当充分考虑自身特定状况,并完整理解和使用本报告内容,不应视本报告为做出投资决策的唯一因素。对依据或者使用本报告所造成的一切后果,本公司及作者均不承担任何法律责任。本公司及作者在自身所知情的范围内,与本报告所指的证券或投资标的不存在法律禁止的利害关系。在法律许可的情况下,本公司及其所属关联机构可能会持有报告中提到的公司所发行的证券头寸并进行交易,也可能为之提供或者争取提供投资银行、财务顾问或者金融产品等相关服务。本报告版权仅为本公司所有。未经本公司书面许可,任何机构或个人不得以翻版、复制、发表、引用或再次分发他人等任何形式侵犯本公司版权。如征得本公司同意进行引用、刊发的,需在允许的范围内使用,并注明出处为“时代商学院”,且不得对本报告进行任何有悖原意的引用、删节和修改。本公司保留追究相关责任的权利。所有本报告中使用的商标、服务标记及标记均为本公司的商标、服务标记及标记。

加载中...