华山医院程忻团队揭示脑小血管病血脑屏障功能障碍潜在机制的异质性
转自:上观新闻
近日,复旦大学附属华山医院神经内科程忻课题组联合首都医科大学附属北京朝阳医院放射介入影像中心杨旗课题组、首都医科大学宣武医院神经内科王朝东课题组,利用美国南加州大学王炯炯团队研发的测量血脑屏障水交换率磁共振新技术,在神经科学领域权威杂志Alzheimer’s & Dementia(《阿尔茨海默病与痴呆》)(最新影响因子14分)在线发表了题为“Heterogeneous blood-brain barrier dysfunction in cerebral small vessel diseases”(《脑小血管病血脑屏障功能障碍的异质性》)的研究成果,对各脑小血管病亚型中血脑屏障功能障碍的潜在机制做出推测,为进一步理解其病理生理机制,未来开展精准治疗提供见解。复旦大学附属华山医院应云清博士生、首都医科大学附属北京朝阳医院李莹莹博士和首都医科大学宣武医院姚廷彦博士生为共同第一作者,研究得到华山医院放射科汤伟军大力支持。
脑小血管病(cerebral small vessel disease, cSVD)导致了25%的缺血性卒中,也是老年人脑出血、血管性认知障碍的主要病因。随着社会人口老龄化日益加剧,脑小血管病的疾病负担不断加重。然而,目前医学界未能充分理解此疾病的病理生理机制,缺乏早期诊断和有效的治疗方式,给疾病防治带来很大挑战。
大脑内存在一个高度选择性的过滤“层”,称为血脑屏障(blood-brain barrier, BBB),血脑屏障允许大脑需要的物质通过、将血液里的有害物质保持在血管内并不断清除大脑产生的代谢废物,以维持脑内环境的稳定。血脑屏障由几部分组成:先是内皮细胞和细胞之间的紧密连接,内皮细胞又被一层周细胞包裹,然后嵌入在基底膜中,最后由星形胶质细胞的外层足突覆盖。血脑屏障功能障碍被认为是脑小血管病的一大核心病理生理机制,包括血管内皮细胞损伤、紧密连接减少、基底膜损伤、周细胞功能障碍、AQP4水通道蛋白极化分布异常等。但是,既往研究大多关注血脑屏障结构破坏,利用动态对比增强磁共振技术(dynamic contrast-enhanced MRI, DCE-MRI)来评估患者的血脑屏障渗漏率(Ktrans)。然而现有的各项研究结论存在矛盾之处,阻碍厘清血脑屏障功能障碍和疾病发生发展的关系、影响潜在治疗靶点和药物的研发。
基于含有扩散准备模块的伪连续动脉自旋标记技术(Diffusion-prepared pseudo-continuous arterial spin labeling, DP-pCASL)是一种新型、无创影像学技术,可通过评估血脑屏障水交换率来反映血脑屏障结构及功能改变,能进一步精准探究脑小血管病相关机制。华山医院程忻团队前期在遗传性脑小血管病患者中,利用此技术发现了脑小血管病患者血脑屏障水交换率下降现象(Brain, 2023)。考虑到脑小血管病各亚型具有不同病因和血管病理特征,其血脑屏障功能障碍可能具有异质性,尚无研究深入探讨这一问题。
基于此,本次研究纳入了两种最常见的单基因遗传性脑小血管病——CADASIL、HTRA1突变相关脑小血管病,及散发型脑小血管病,应用DCE-MRI和DP-pCASL技术分别探索各脑小血管病亚型中血脑屏障渗漏率和水交换率的变化,以探索各脑小血管病血脑屏障功能障碍的异质性,为进一步理解血脑屏障相关的病理生理改变和未来的精准治疗提供见解。
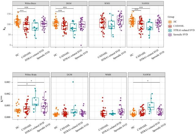
研究纳入40例CADASIL患者、13例HTRA1突变相关脑小血管病患者、30例散发型脑小血管病患者及40例健康对照。研究发现,与健康对照相比,CADASIL组全脑、深部灰质、正常外观白质的血脑屏障水交换率均降低,而血脑屏障渗漏率无显著差异;HTRA1相关组全脑、深部灰质、正常外观白质的血脑屏障水交换率降低,且全脑的血脑屏障渗漏率升高;散发型组全脑和正常外观白质的血脑屏障渗漏率升高,而血脑屏障水交换率无显著差异(图1、2)。
图1 三组cSVD的kw及Ktrans图示例
图2 三组cSVD患者和对照组kw及Ktrans的比较
此后,研究分析了各脑区血脑屏障渗漏率和水交换率的相关性。仅在CADASIL组的深部灰质、HTRA1突变相关脑小血管病组的全脑水平发现渗漏率与水交换率存在显著负相关,在白质高信号及正常外观白质中,各组均未发现相关性(图3)。这提示渗漏率和水交换率反映不同的血脑屏障功能障碍机制。
图3 各脑区kw和Ktrans的相关性分析
研究进一步探索了各组血脑屏障渗漏率、水交换率和脑小血管病疾病严重程度的相关性,包括经典影像标志物负荷和临床症状。矫正年龄和性别后,CADASIL组全脑、白质高信号和正常外观白质的血脑屏障水交换率与腔隙灶数量呈负相关;HTRA1突变相关脑小血管病组全脑、深部灰质、正常外观白质的血脑屏障水交换率与白质高信号体积呈负相关,正常外观白质的血脑屏障渗漏率和微出血数量呈正相关,深部灰质的血脑屏障渗漏率和扩大的血管周围间隙评分呈正相关(图4)。
图4 三组cSVD中kw和Ktrans与
影像标志物负荷的相关性
在此基础上,团队将mRS评分和蒙特利尔认知评估得分(Montreal cognitive assessment, MoCA)作为反映临床症状严重程度的指标。矫正年龄、性别后,CADASIL组全脑、白质高信号和正常外观白质的血脑屏障水交换率下降和mRS≥2风险增加显著相关。矫正年龄、性别、受教育程度后,CADASIL组全脑、深部灰质、白质高信号和正常外观白质的血脑屏障水交换率和认知功能呈显著正相关;HTRA1突变相关脑小血管病组深部灰质血脑屏障渗漏率和认知功能呈负相关;散发型脑小血管病组全脑血脑屏障渗漏率和认知功能呈负相关(图5)。
图5 三组cSVD中kw和Ktrans与认知功能的相关性
通过研究,课题组发现,CADASIL脑小血管病的血脑屏障功能障碍以水交换率下降为特征;散发型脑小血管病的血脑屏障功能障碍以渗漏率增加为特征;HTRA1突变相关脑小血管病血脑屏障功能障碍则共同表现为水交换率下降和渗漏率增加。团队根据既往病理研究和动物模型的证据,对各脑小血管病亚型中血脑屏障功能障碍潜在的病理生理机制做出推测(图6)。本研究揭示了脑小血管病中血脑屏障功能障碍的异质性,为进一步理解脑小血管病血脑屏障功能障碍的病理生理机制,及未来开展精准治疗提供见解。
图6 各cSVD亚型中BBB功能障碍相关机制的推测
通讯作者简介
程忻
神经内科
主任医师
主任医师,副教授,博导,复旦大学附属华山医院神经内科副主任,入选上海市青年科技启明星、青年拔尖人才、卫生健康学科带头人、东方英才计划、世界卒中组织(WSO)未来卒中领袖计划。担任中华医学会神经病学分会脑血管病学组委员、中国卒中学会脑小血管病分会副主委、中国卒中学会脑血流与代谢分会常委、国家卫生健康委百万减残工程专家委员会专业委员、上海市医学会科普专科分会青年委员会副主委。主攻脑卒中急性期影像和救治、脑小血管病临床和基础研究。主持国自然、教育部、上海市科委等省部级以上课题7项。受邀在Lancet Neurology发表评述,以第一或通讯作者在 Circulation Research, Science Bulletin, Brain, Annals of Neurology, Neurology等国内外期刊发表文章50余篇,主编专著1本,执笔撰写了本领域的行业学会共识6部。
原文链接:
https://doi.org/10.1002/alz.13874
文|应云清
审核|程忻