新浪财经

同花顺出海50概念大涨,哪些公司被大资金盯上了?

市场资讯 2024.05.16 18:11

来源:市值风云

“出海”上市公司显韧性。

作者 | 市值风云基金研究部

编辑 | 小白

涨幅居前的出海概念股,公募基金已早早下手

四月份以来,除低空经济、合成生物等题材概念股的炒作外,市场上还有三大“悄咪咪”一直涨的主线,其一是制造业出海,例如海尔智家、三一重工等,二是资源周期,比如紫金矿业、中国铝业等,其三就是高股息,例如长江电力、中国神华等。

而二季度以来,公募调研家数居前的多家上市公司调研记录中,“出海进展”均是重点,天孚通信、中际旭创、德赛西威等公司均被问到“海外市场的扩展”“海外收入的占比”等问题,涉及行业分布在通信、电子、汽车零配件、家电、医疗保健等。

(来源:数据宝)

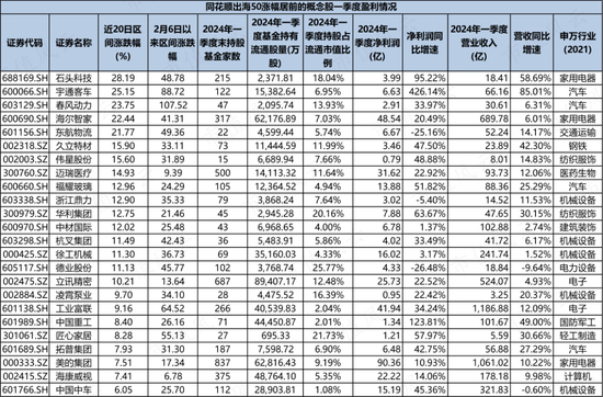
同花顺出海50概念板块自2月6日起持续稳步上行,截至目前61个交易日涨超27%,4月份以来整个板块也涨逾8.5%,走势强劲。板块下概念股近20日也是涨多跌少,其中有16只个股涨逾10%,有11只涨超5%。

(来源:Choice数据,市值风云APP制表,数据截至5月15日)

而近期涨幅居前的24家个股中,有16家公募基金去年下半年就已开始早早加仓布局,其中石头科技去年末有688家基金持股,较去年中报增加了366家,立讯精密同期增加了519家基金持股,迈瑞医疗、福耀玻璃去年下半年也新增超百家基金买入持股。

由于一季报仅披露前十大持仓股,因此上述数据用去年年报与中报做对比。而今年一季报显示,被公募基金持有流通股市值占流通总市值的比例超15%的有5家,包括石头科技、华利集团、德业股份、凌霄泵业、匠心家居等。

(来源:Choice数据,市值风云APP制表)

另外,这些出海公司景气度较高,业绩整体表现不错。今年一季度净利润上述公司无一亏损,同比增速出现下滑的也仅有三家。其中宇通客车净利润同比大增426%,中国重工净利润同比也增长超120%。

营收方面,24家公司中仅有两家同比出现下滑,分别是德业股份和中国中车。另外,上述这些公司主要分布于家用电器、汽车、机械设备和纺织服务等行业。

不得不说,散户在消息面上还是与机构有着巨大的差距,当你还在看业绩炒股的时候,人家早在半年前就已经进去了,所以对因业绩发布而被爆炒的票应该更加当心。

(来源:Choice数据,市值风云APP制表)

涨过之后一季度各路资金就已态度不同

上述24家公司中,有4家来自于汽车行业,分别为宇通客车、春风动力、福耀玻璃和拓普集团。一季报显示,对于业绩大涨的宇通客车(600066.SH)各路资金的态度还是积极看好后市,北向资金、社保、公募基金均在加仓,外资阿布达比投资局减仓106万股。

(来源:Choice数据)

而对于春风动力(603129.SH)北向从去年末开始持续减仓,但富国基金一季度在增持,拓普集团(601689.SH)北向资金一季度也在减仓,但社保基金却在加仓,资金态度有分歧。

机械设备概念股上述公司中有五家,分别是浙江鼎力、杭叉集团、徐工机械、凌霄泵业、中国中车。浙江鼎力(600900.SH)一季度被北向资金与谢治宇分别减仓了669万股和100万股,减持动作不小。

而徐工机械(000425.SZ)与中国中车(601766.SH)一季度前十大股东显示,基金变动不大,主要是北向资金动作较大,对前者做出了减仓,而同时加仓了前者。

因此,即使出海概念仍然火热,出口相关行业景气度不减,同时上市公司也有业绩支撑,但也要时刻保持警惕,紧密跟随大资金动向。

加载中...