新浪财经

每天学点财务知识:你的投资决策做对了吗?浅析净现值法NPV

中国会计视野网

关注

企业财务目标是企业价值的最大化,在选择投资项目时,必须选择使净现金流值为正的项目。

如果你是一个儿童乐园的项目经理,在评估增加一个游乐设施时,你会考虑以下哪些因素(多选题):

A:因这个项目导致的未来现金流入

B:因这个项目导致的未来现金流出

C:折现率

D:  沉没成本

说说你的答案以及思考过程?

净现值法(NPV)是什么?

净现值,英文(Net Present Value),即未来的净现金流量(流入-流出)的现值。

意义:用金额衡量企业的价值

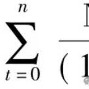
公式:净现金流 NCF (Net Cash Flow),每期的NCF折现到当下的时点,然后加总。i是收益率,t是期数。

用NPV进行投资项目决策时,判断步骤如下

1)预测各年净现金流量

2)将各年净现金流折现算为现值

3)求各年净现金流量现值之和

4)分析投资项目的可行性,一般而言,NPV为正,表示可以接受,为负,通常会拒绝

举个栗子 - 明珠公司买缝纫机的投资决策

随着明珠公司牛仔裤订单的不断增加,汪小姐和魏总商量,是否应该买一批缝纫机,生产牛仔裤。这批缝纫机的投资成本是100万元,根据现有的牛仔裤订单和未来的预测,这项投资将在未来9年,给明珠公司带来每年25万的现金流入,同时每年会产生维修质保相关的现金流出5万元。公司折现率定为15%,这是明珠公司在其他类似项目中可获得的平均投资回报率。假设未来每年现金流入和流出都在期末发生。

财务部小东,帮汪小姐和魏总算了这笔帐:

NPV=-100 (初始投资)+(25-5)/(1+15%)+(25-5)/(1+15%)^2+...+(25-5)/(1+15%)^9=-4.5万

投资建议NPV为负数,拒绝该项目

几个重要概念

现金流量

当考虑一个项目时,应该对项目的产生的增量现金进行折现。这里的增量,是指“做”和“不做”项目现金流量的差别。

现金流和会计收入也是完全不同的概念。今天以100万购买固定资产,100万是付出的现金流出,如果按照直线法计提折旧,按照10年折,每年入账的只有10万元(100/10)。

沉没成本

沉没成本,是指已经发生的成本,是当前决策不能改变的,它的存在对决策的“是”或“否”没有差别,沉没成本不属于增量现金流

关联效应

投资决策,另一个困难点在于所选的项目对企业其他部门的影响,这个在英文里叫做Cannibalization,即同公司产品冲突、手足残杀。这个项目增加的现金流,可能是从另外一个项目的部分现金流而来,那么我们在评估项目整体影响时,应把减少的现金流也一并考虑进去。比如,你在儿童乐园里计划放一个卖甜甜圈的小推车,10米开外的棉花糖小推车的生意可能会受到影响,在做甜甜圈小推车投资决策时,需要把棉花糖生意的减少同时考虑。

今天的分享就到这里了,希望这些点滴的财务金融知识能帮助到屏幕前的你,为你的工作和生活添砖加瓦。

#经常学习,就能庆功

加载中...