新浪财经

凭什么大学生和年货不能呆在一个屋子?年货就一点错没有吗?

媒体滚动 2024.02.13 15:30

转自:科普中国

有人说:大学生碰上年货正好比干柴遇上烈火。

近日,不少大学生在过年期间晒出自己偷吃奶奶放在自己房间的年货,一个晚上就炫光了奶奶备的猪皮冻......

大学生固然能吃,但是退一万步来讲,年货就一点错都没有吗!你看看这些年货有多么诱人?

香气奥秘一

油脂

提到年货自然少不了很多卤菜。相比大家一定体验过自己在家卤菜时开锅的那一瞬间沁人的香气,让人食欲大动。在经过卤菜店的时候,也常常能闻到飘香的卤水。

不难想象这种卤菜之所以香,主要是卤水在起作用。卤水可以分成两大成分,卤汤和卤油

卤汤的成分主要是水,决定了卤菜的味道和色泽,也就是你吃的时候主要感受到的味道;而卤油部分是卤制过程中食物油脂溢出形成的部分,这部分呈现脂溶性并与各种香料混合,比如八角所含的茴香脑;桂皮所含的桂皮醛;丁香所含的丁香油酚。

除此之外,很多动物油脂也是有着独特的香味的,比如卤菜中往往会加入鸡肉来提升卤油的香气。鸡油中含有的脂肪酸是影响其风味和营养价值的最重要的成分之一,其在烹饪过程中发生美拉德反应会生成己醛、辛醛等香气物质。

人们常说,一缸卤水传三代,也是因为老卤水中有更多的卤油,吸收了更多的复合香味,所以在卤制的过程中更香。

香气奥秘二

美拉德反应

年货中常常见到烤制和炸制的食物,无论是哪种烹调方式,都与世界上最美味的化学反应——美拉德反应相关

美拉德反应是法国科学家L.C.Maillard 于1912年提出的。这个反应主要描绘了氨基酸或蛋白质与糖类物质混合加热时形成褐色的物质的过程,所以这个反应叫做非酶褐变反应。生活中,我们看到酱油的棕黑色、红烧肉的褐色、面包外皮的金黄色,以及食物飘来的浓郁香气都离不开美拉德反应

美拉德的糖化实验 来源[2]

美拉德反应有三个阶段,第一阶段由还原糖羰基和蛋白质或氨基酸氨基发生缩合反应形成席夫碱,然后经过环化、重排形成中间产物;第二阶段形成各种分子量的呈色聚合物,开始呈现出明显颜色变化并形成挥发性化合物,并根据 pH 值不同而产生不同产物;第三阶段最终形成非挥发性的类黑素。

美拉德反应过程 来源[2]

我们在烹饪的时候控制好还原糖和氨基酸的剂量和反应温度,我们就可以通过反应产生不同风味的香精,例如木糖和酵母水解蛋白分别在90℃和160℃时产生饼干香味和酱肉香味。缬氨酸和葡萄糖在加热100℃至150℃时产生黑面包香味,而当温度升至180℃时则可闻到巧克力香味。

虽然美拉德反应能带来美味,但是我们也经常听说油炸食品不健康,这也来源于美拉德反应。还原糖和天冬酰胺的氨基酸发生美拉德反应时,会产生一种叫丙烯酰胺的副产物,对人体有损害

另外美拉德反应产生一些风味物质的同时,也会消耗食物中的氨基酸和还原糖,造成这些营养物质的减少。氨基酸是重要的营养物质,也是美拉德反应必需的原料,经过美拉德反应,氨基酸变成了色素复合物或者风味复合物,且很难被消耗分解,降低了蛋白质的效价。其次是矿物质的损失,矿物质比如铁、镁参与了美拉德反应,形成了络合物,造成矿物质有效性下降。

美拉德反应给面包上色,增加香气 来源:[6]

香气奥秘三

气体扩散

食物的香气能够被我们感受到,背后也正是气体扩散这一现象在起作用也是我们被美食诱惑的另一大原因。

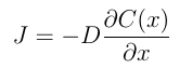
在物理上我们常常使用菲克定律来描述气体在空气中扩散的速度。菲克第一定律描述了食物的香气飘散的速度有多快,需要多久能让香气飘进你的鼻子里。它在一维下形式也很简单:

其中 J 代表了某处气体的通过某一横截面积的流量,而 D 是扩散系数,常常与流体的温度、粘度和分子大小有关。扩散系数由爱因斯坦-斯托克关系来决定,其经典情况的一般形式为:

μ 代表了迁移率,按照定义来讲是流体漂移速度与施加力的比值。kB 是玻尔茨曼常数,T 则是代表了流体温度。

菲克第二定律则描述了在某些特定位点的物质的浓度随时间变化关系,一般形式为:

其中 C 表示了流体在t时刻x位点的流体浓度。

菲克方程解释了高浓度与低浓度之间存在分子流动的原因。当系统内各处浓度相等,分子虽持续运动,但由于浓度梯度已不复存在,扩散现象停止,改由自扩散主导分子的随机运动。扩散的结局是相互接触的流体逐渐混合,分子分布达成均匀。由于分子依然持续运动,但平衡也已经建立,因此分子扩散的最终状态被称为“动态平衡”

由微观及宏观的角度观察扩散。起始时,障碍(紫色线条)左侧含有溶质分子,而左侧则无。当障碍移除,溶质将以扩散的形式充满整个容器。来源:wiki

那我们是不是也可以把大学生回乡看作是一种人口的扩散过程呢?

将人口密度类比成流体密度,交通运输能力类比流体迁移率,我们就可以用扩散模型来描述人口迁移过程,这样的想法实际上是很有价值的。

将人口迁移看作一种矢量场,通俗来讲,就是每个人的迁移可以看作一个有速度和方向的矢量 Tij,如此一来描述人群的迁徙过程我们可以用单个矢量集合在一起构成的场来表示。

以伦敦和巴黎为例,人口流动矢量场表示 来源[5]

在数学上我们可以用矢量场的面积分来计算某个区域内现有人数,这样的计算不难理解,将流入某区域的人数减去流出的人数就是现有人数。而且由于这个场是无旋的,我们可以定义一个标量势,通过研究这个标量势并对照交通能力和人口密度,我们就能更好地优化交通结构

根据大数据推算通勤流量等势图 来源[5]

除此之外,人口迁移问题还在很多方面借鉴了物理学的过程。

例如2012年美国学者 Simini 借鉴固体物理学中物质运动的发散和吸收过程提出的了辐射模型(Radiation Model)。该模型假设了出行者将会根据出行距离和目的地吸引力来决定流向,这里的个人选择某个目的地的概率是按正比于地点人口数随机抽样的,所以辐射模型仅需要各地人口的分布情况就能一定程度上预测城市间人口迁移量

原来大学生返乡和我们被年货香气所诱惑在一定程度上竟然殊途同归,看来大学生们踏上回家的那一刻就与年货的命运绑定在了一起。大学生返乡也如同气体分子一样飘进了父母的视线里,对于爸妈来讲,咱们回家,就是年货到位了。

总而言之,年货固然很香,偷吃能带来一时的欢愉,但是与过年与亲戚朋友一同分享美食的快乐才是永恒的,也祝愿新的一年大家能龙年迎大运,并将好运扩散到一整年!

参与方式二:

参与方式三:

参考文献

[1]内德 · 梅尔沃德. 现代主义烹调[M]. 北京美术摄影出版社,2016.

[2]李玉美,刘玉花,魏冰等. 美拉德反应及其对饼干烘烤过程的影响[J]. 食品工业, 2023,44(08):5-8.[3]Alis, C., Legara, E.F. & Monterola, C. Generalized radiation model for human migration. Sci Rep 11, 22707 (2021). https://doi.org/10.1038/s41598-021-02109-1[4]Maton, Anthea; Jean Hopkins; Susan Johnson; David LaHart; Maryanna Quon Warner; Jill D. Wright. Upper Saddle River, New Jersey: Prentice Hall. 1997: 66-67[5]Mazzoli, M., Molas, A., Bassolas, A. et al. Field theory for recurrent mobility. Nat Commun 10, 3895 (2019). https://doi.org/10.1038/s41467-019-11841-2[6]https://zhuanlan.zhihu.com/p/411740297

[7]https://swarma.org/?p=17123

加载中...