新浪财经

东鹏饮料董事长林木勤20岁参加工作 其“硕士学历”说法不准确?

运营商财经网

关注

运营商财经网 易鑫/文

说到林木勤,无人不知其带领东鹏饮料从濒临破产到如今营收破几十亿的光辉事迹,这样一位响当当的人物,其职业过往会是如何呢?运营商财经接下来就试图梳理。

据百度百科显示,林木勤1964年出生,今年59岁,距离法定退休年龄还有一年,但具体其何时退休,目前还未有相关消息。

在学历方面,资料显示其毕业于中山大学工商管理专业,硕士学历,但这一说法还有待商榷。

学位和学历是两码事,如果林木勤是硕士学历,那必须有研究生毕业证,如果只有硕士学位证书、没有研究生毕业证书的话,那之前是什么学历,读完工商管理硕士之后,还是什么学历,变化的是学位。而在2017年以前入学的工商管理硕士都只有学位,而没有毕业证书。

而在工作方面,他20岁就开始参加工作了,其第一学历不明。

在他20岁到24岁这段时间里,他在深圳市建材工业集团做技术员的工作。

而在接下来的9年,他去了深圳奥林天然饮料有限公司担任部门经理。

1997年,他进入了东鹏实业,也就是东鹏饮料的前身,他在该公司担任副总经理。

转折发生在2003年,那年林木勤接手了濒临倒闭的国有饮料小工厂,并且从此之后就开始了他带领东鹏饮料实现飞跃的道路。

2017年到2022年,公司的年营收分别达到了28.44亿、30.38亿、42.09亿、49.59亿、69.78亿和85.05亿,其对应的净利润也达到了12.962亿、2.158亿、5.706亿、8.121亿、11.93亿和14.41亿。

不仅如此,在今年的前三个季度,公司实现营收达到86.41亿元,净利润达到16.56亿,均超过了去年全年,其成绩可谓是耀眼。

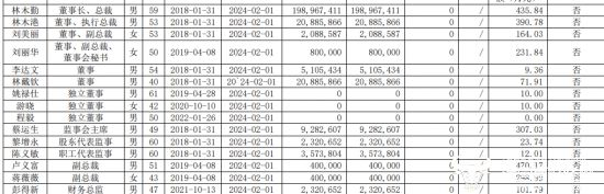
据去年年报显示,林木勤去年从公司获得的报酬为435.84万元,很不错,但不如副总裁卢义富,他的薪酬为470.17万元。不过在今年2023年10月,林木勤、林煜鹏以435亿元人民币财富位列《2023年·胡润百富榜》第108位,其身价依然很高。

有关林木勤和东鹏饮料的后续动态,运营商财经将持续关注。

加载中...