新浪财经

那个不断扩大的臭氧空洞,如今怎么样了?

虎嗅APP

关注

南极上空的臭氧层空洞(Ozone depletion)曾引起社会层面的广泛关注。但在近几年,关于臭氧层空洞的消息却很少提起。是人类在灾害面前已经麻木了吗?

当然不是,在今年1月9日,世界气象组织(WMO)及联合国环境署(UNEP)向我们生动地诠释了什么叫“闷声发大财”,他们发布了一则令人振奋的好消息:

预计南极的TCO(总臭氧柱)将在2066年左右恢复至1980年的水平,北极的TCO则将在2045左右年恢复至1980年的水平,全球平均水平(60°N~60°S)将在2040年左右恢复到1980年的水平。

这就仿佛是臭氧层空洞在说:“我要悄悄缩小,然后惊艳所有人。”

这是一个历史性的时刻,人类,即将通过全球性的努力,首次解决这一事关人类文明存续的重大气候危机。

臭氧层是什么?臭氧层空洞为什么如此重要?人类是如何修复臭氧层空洞的?这样以往我们仅仅是知道但不了解的问题,今天都一次性讲清楚。

一、臭氧层是什么?

地球的大气层厚度极大,共计几千千米,由下至上可以简单分为对流层(0~10/20km)、平流层(10/20~50km)、中间层(50~85km)、热成层(85~800km)及散逸层(800~3000km)

对流层是最接近地表的大气部分,几乎包含了整个生物圈,是我们人类、其他生物生存的环境;同时,它也是密度最大的大气圈层,其总质量约占大气总质量的75%。对流层的温度主要来自地表,呈现下热上冷的局面,上下对流运动非常活跃,因此得名对流层。

平流层从地球表面上方约10~15公里(km)开始,一直延伸到约50公里的高度。与对流层不一样的是,平流层下冷上热,因此这一层的空气流动十分稳定。平流层的平流特点使它十分适合飞机运行,因此大部分民航飞机的平飞阶段都在平流层底部。

造成平流层如此性质的原因,便和我们文章的主角——臭氧层有关。大多数臭氧(约90%)存在于平流层中,臭氧浓度最高的区域,海拔约15至35公里,通常被称为“臭氧层”。臭氧层能够吸收了大部分紫外线带来的热量,对平流层上部进行加热,因此造成了平流层的出现。

至于中间层、热成层以及散逸层,其距离我们人类太过遥远,在科学研究中已经成为空间科学的研究范畴,本文暂且不表。

臭氧层是指平流层中臭氧浓度较高的层次,其浓度峰值出现在20~25km左右的高度。臭氧层虽然称之为层,但是其丰度仍然比较低,即使在臭氧层浓度最高的区域,每十亿个空气分子也只有几千个臭氧分子。如果我们把大气中所有臭氧分子带到地球表面,并形成一层覆盖整个地球的纯臭氧层,所得层的平均厚度约为3毫米。

但就是这薄薄的3毫米,却在保护地球上的生命方面起着至关重要的作用。

二、臭氧层的作用

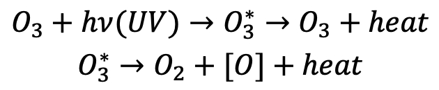
臭氧分子的结构使它对紫外线有极强的吸收能力,可以将绝大多数紫外线光子的能量转化为热能耗散:

这个特性,使得大多数对生物有害的紫外线被臭氧层拦下,巨大的能量转化为同温层以上加热的基础热能,使得平流层能稳定地承载飞机飞行,更为地表生物和天气系统的正常运转打下了根基。

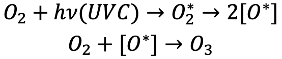
同时,紫外线也是臭氧层产生的主要原因;在平流层顶的氧气会在短波紫外线(UVC)的作用下形成臭氧:

另外,某些自然活动又会消耗臭氧;如火山活动等。2022年1月爆发的汤加火山就在一周之内造成了西南太平洋和印度洋上空的平流层臭氧总量减少了5%;今年9月16日,欧洲空间局的监测数据显示,南极臭氧空洞的面积达到了2600万平方千米,接近历史最大记录。

长此以往,不同的自然活动及大气化学作用使得大气中的臭氧浓度始终维持在一个相对稳定的区间内,但最近的几十年里,情况似乎发生了变化……

三、臭氧层的危机

20世纪初期,借助于卡诺循环原理,人们发现了一种有效的制冷方法,即通过压缩和液化气体,然后依靠气体的蒸发吸收热量。

然而,在早期的制冷设备中,多数采用了廉价且容易液化的气体,如二氧化硫(SO2或氨气(NH3。举例来说,SO2可以在-10℃或2.5个大气压下液化,而NH3则在-33℃或9个大气压下液化。

制冷设备为人们的生活带来了舒适与便利,但也埋下了灾难的种子……

SO2和NH3都是刺激性极强且有一定毒性的气体。1929年,美国俄亥俄州的一家医院所使用的大型冰箱发生了严重的氨气泄漏事故,造成100余人死亡。

惨痛的教训迫使人们积极寻找这些有毒气体的替代品。很快,人们发现了一种非常“出色”的替代品。

经过对元素的研究,美国发明家托马斯·米利奇找到了一种物质:二氟二氯甲烷(CF2Cl2,这是一种沸点-29.8℃的无色、无毒、无腐蚀且无刺激性气味的气体,且该气体不含H元素,无法燃烧,被认为是一种几乎“完美”的制冷剂。

1931年,美国杜邦公司开始大规模工业生产这种化合物,商品名为“氟利昂(Freon)(在如今的编号体系内,该化合物为R12),而氟利昂以其稳定、安全、高效的优势在问世后的短短十余年间几乎取代了之前所有的制冷剂,风靡于千家万户。然而也正是这种被认为几近“完美”给地球划出了巨大的疤痕……

1924年,臭氧光谱仪问世,人类开始了对大气中臭氧含量的定期观测,在这段时间内,在英国气象学家戈登·多布森的领导下,美国、埃及、印度、苏联、新西兰、斯匹次卑尔根群岛(北极)相继建立了臭氧浓度的观测点,拉开了人类对臭氧层研究的序幕。

二战后不久的1957年,英国皇家学会的科考队在南极的布伦特冰架上建设了哈雷科考站,对南极地区的大气进行了长期观测。

1974年,美国科学家马里奥·莫利纳与舍伍德·罗兰提出:氯氟烃在环境中的含量正在稳步提升,其在平流层中光解产生的大量氯原子可破坏大气臭氧层;这一过程的原理如下:

显然,这个反应过程中的氯自由基是催化剂,它可以以极高的效率破坏大气臭氧层并在大气层中持续作用数十年的时间,总反应大致如下:

溴代烃也有类似的反应,大致如下:

虽然与氯催化过程长得基本一样,但是其总反应为:

可见溴和氯虽然长得差不多,但还是有一定的区别的,二者的催化反应本质上有区别。

他们提到,若氯氟烃按当时10%的年增长率继续生产,大气中的臭氧含量将在20年的时间内减少5%~7%,于75年的时间内将减少30~50%。

上面所说的“二氟二氯甲烷”正是氟氯烃的一种;需要注意的是,对臭氧层有破坏的物质不止氟氯烃,还包括哈龙类物质如二氟二氯一溴甲烷、三氟一溴甲烷等及一些其他物质。

70年代,全美的氯氟烃产业价值超过80亿美元,直接或间接地供给了140万的劳动岗位,因此,政府与化工巨头并不在意这一研究成果。减少或禁用氯氟烃的计划受到巨大阻挠,无法推行……

十年后的1985年,英国南极调查局的科学家搞出了一个令人惊叹的大发现。

他们分析了1956年以来哈雷科考站的大量臭氧观测资料发现:1977至1984年间,南极洲哈雷湾大气中的春季(9~11月)臭氧含量减少了40%以上。这项研究很快得到了科学界的证实,经过研究后人们发现:高空大气的臭氧消耗更为恐怖,南极大陆的上空存在着一个巨大的“臭氧层空洞”……

这一远超十年前研究的实测数据震撼了世界,证实了氯氟烃对臭氧层具有巨大的杀伤力;一时间,大气臭氧化学和动力学成为了研究热潮,无数的理论与观测证明了这一恐怖的现状,社会对氯氟烃等物质的态度骤然转变。

四、救赎:“女娲补天”行动

随着国际社会认识到臭氧层危机迫在眉睫,这场灾难终于迎来了转机。1985年的3月22日,国际社会共同签署了《保护臭氧层维也纳公约》,宣告了一场挽救地球的壮丽计划。两年后,1987年的9月16日,位于蒙特利尔的会议上,《关于消耗臭氧层物质的蒙特利尔议定书》面世,全球掀起了一场伟大的“补天行动”。

这两份历史性文件,宣誓要强化对消耗臭氧层物质(ODS)的管控。缔约国名单上汇聚了世界主要工业国,如美国、苏联、德国等。中国也于1989年和1991年分别加入这两个公约,站在了这一保卫战的前线。

这些协议的推动下,不仅工业化国家改革了其制冷系统,还促使发展中国家采用更环保的技术。曾经在制冷、灭火和清洗领域广泛使用的有害物质逐渐退出市场。

现在,我们可以欣慰地说,过去那些曾经危害臭氧层的物质,如R12等制冷剂,1211、1301等灭火剂,甚至高中时期熟悉的四氯化碳(CCl4,都已经不再制造和使用,它们被替代为更环保的制冷剂和灭火剂,如R134a(CH2FCF3、R32(CH2F2、HFC-227ea(C3F7H)以及Novec 1230(C6F12O)等。这些新材料基本上没有对臭氧层造成破坏。

这段历史告诉我们,当人们团结一致,为了共同的目标而努力,我们有能力克服环境挑战,保护我们的星球,并创造更可持续的未来。它也提醒我们,我们每个人都有责任继续致力于保护我们的环境,以确保我们的星球得以永续发展。

五、臭氧层空洞对气候的影响

众所周知臭氧层的功能主要在于阻挡来自太阳和宇宙的高能紫外辐射,为地球生命提供低紫外的良好环境,这些大家多多少少都有所了解, 但…难道臭氧层的作用仅限于此吗?

随着大气科学的逐步发展,人类逐渐认识到臭氧层更深层次的影响,更准确地说,是平流层化学组成对气候产生的影响。

尽管全球变暖不断加剧,但实际上不是地球上的任何一处都在升温。正如前文所提臭氧层主要存在于20~50km高度的平流层中。然而,令人瞩目的是;1960至2020年间,这里的温度在以每十年约0.6℃的速度缓慢下降。

臭氧在大气中的作用是帮助维持大气的温度平衡,但如果它减少了,就会影响大气的运动方式,尤其是在南极地区,可能对地球的气候和气候模式产生重要的影响。

当太阳放出的紫外线辐射进入大气层时,臭氧将这些高能量的辐射转化为热量。这有助于保护大气层,防止过多的紫外线照射到地球表面,以防过多的紫外线对生物和环境有害。故而,如果臭氧减少,就会导致大气中的平流层(一部分大气)无法吸收足够的热量,从而导致大气温度会下降。这个情况在南极地区尤为显著,也就是地球的南极地区。

同时,地球的南极和赤道地区之间存在显著的温度差异。赤道地区通常较热,而南极则较冷。这导致高空的空气流向南极地区,由于地球自转和科里奥利力的作用,这些气流形成了围绕地球的西风带,也就是高空的气流以西向东方向流动的地区。

西风带不光存在于对流层,更存在于平流层。它的存在,使得南极平流层与其他地区间的空气流动被大幅度削弱;随着ODS通过各种途径不断进入南极,消耗的臭氧得不到补充,南极上空就形成了“臭氧空洞”。

随着南极上空臭氧空洞的不断扩大,这一区域平流层的温度逐渐下降,使得南极高空与赤道高空的温差加大,环南极西风带和极地漩涡就会被加强,这种变化会通过极为复杂的气象学原理在约半个月的时间内影响到对流层,使对流层的环南极西风带随之加强;那么这会产生什么影响呢?

风的能量是会影响海水的流动的。强大的西风带会加速南极绕极流的流动速度,同时通过更强的埃克曼输送,使得大量的极地表层海水向北方输送,使得极地下层的温暖海水向上运动,对南冰洋表层加温,使南极海冰减少。

同时我们需要知道,平流层拦不住的紫外辐射的能量并非凭空消失,它们冲向地表、加热了对流层,进一步地影响着我们的天气系统和大气流动。

但是,臭氧层空洞只是影响大气系统及海洋系统诸多因素中的一个,且局限于理论而难以证明。比如,2010至2015年间,南极地区的海冰反而从约250万平方公里增长到了约360万平方公里,在去年还暴跌到了192万平方公里。

目前,我们还无法对天气系统进行精准的模拟,所以还无法对臭氧层空洞产生的影响进行证实,但是这场战争,我们终于看到了胜利的曙光。

根据美国气象学家安塔拉·班纳吉等人的研究,可以确认,上面的两个公约的有效落实,让南极臭氧空洞引发的大气环流变化至今已基本停止,因臭氧层损耗而引起的大气变化也将逐步恢复。

团结,延续着文明的火种,可以这么说,臭氧层问题的解决并不是神明、救世主所为,而是我们每一个人都成为了补天的“女娲”,是为了以前的失误而赎罪,为了与自然和谐共生而改变。望人类在遥远的将来能战胜危险,与自然友好相处,团结一致,永续文明。

本文来自微信公众号:石头科普工作室 (ID:Dr__Stone),作者:天音

加载中...