新浪财经

碳中和愿景下的中国能源转型之路丨Engineering

媒体滚动 2023.10.23 12:05

本文选自中国工程院院刊《Engineering》2022年第7期

作者:张枢,陈文颖

来源:China’s Energy Transition Pathway in a Carbon Neutral Vision [J]. Engineering,2022,14(7):64-76.

中国实现碳中和的能源转型路径备受世界的关注。由于中国碳排放大部分来自于能源系统,因此能源系统脱碳路径很大程度上决定了中国的脱碳路径。

中国工程院院刊《Engineering》2022年第7期刊发清华大学陈文颖教授研究团队的《碳中和愿景下的中国能源转型之路》一文。文章使用了涵盖能源系统所有部门的能源-环境-经济模型China TIMES,评估了碳达峰时间和碳中和时间的不确定性对于转型的影响,详细阐述并比较了实现碳中和的不同情景下能源系统脱碳过程中的技术选择、转型成本和对于局地空气污染物治理的协同效应。文章指出不同碳达峰时间和碳中和时间对于中国能源转型的影响,并识别了中国能源转型的可能路径,可以为决策者制定面向碳中和的近期和长期减排战略提供参考。

一、引言

近几十年来,由温室气体排放增加引起的气候变化问题日益突出,世界各国正在合作应对这一全球挑战。《巴黎协定》要求各国将全球平均气温升幅限制在低于工业化前水平2 ℃以内,并努力限制在1.5 ℃以内。此外,各国还承诺尽快实现全球温室气体排放达峰,并在21世纪下半叶实现温室气体人为排放和移除之间的平衡。目前,130多个国家已经宣布了他们的净零排放或者碳中和目标。目前,大部分的二氧化碳排放来自于能源系统。因此,能源系统脱碳路径很大程度上决定了中国的脱碳路径。中国目前是世界上最大的碳排放国和能源消费国,实现碳中和的能源转型路径备受世界的关注。

碳中和涉及能源系统的很多方面,关于各个部门如何减排以支持碳中和目标已有大量研究。在所有部门中,电力部门目前碳排放最高,由于可再生能源成本的迅速下降,电力部门有了更乐观的脱碳预期。火力发电厂的运行势必受到可再生能源推广的影响,由此学界已有一些关于煤和生物质混燃机组改造和煤电有序退役的讨论。由于负排放在未来不可或缺,能够产生负排放的生物质能-碳捕集与封存(BECCS)技术正逐步受到关注。关于BECCS的技术发展、资源潜力和环境影响,现在已有很多研究。除了能源供应部门以外,需求部门的脱碳也值得关注,需求部门的脱碳主要由燃料替代和能源终端使用模式的变化来驱动。排除产业升级因素导致的工业部门转型,钢铁和水泥行业已经提出了相应的脱碳策略。通过技术进步和政策激励,工业部门可以在2070年实现温室气体净零排放,而二氧化碳净零排放能够更早到来。对于建筑部门,目前已经有了零排放和近零能耗建筑的设计构想,大力推广可再生能源和下一代生物质是建筑部门脱碳的另一条重要途径。由于目前航空、海运和公路重型货运缺乏低成本的减排技术,因此交通部门实现碳中和极具挑战。总体而言,虽然部门层面的研究更加精细,但由于忽略了不同部门之间的合作,因此有可能高估减排的难度。

为了更加全面地评估能源转型的影响,一些研究将研究边界扩大到整个能源系统。已有研究通过整合国家政策和技术发展预期,建立了自上而下的减排目标,并预测了不同政策下二氧化碳的排放量。目前也有一些研究评估了碳减排对空气质量、能源安全和水资源节约方面的协同效益。然而,这些研究都按照以往的2 ℃或1.5 ℃温升控制目标设计情景,并没有以碳中和目标为导向。

近期,出现了一些以碳中和为导向的能源转型研究。一项研究使用了具有详细技术描述的MESSAGE模型来评估中国实现碳达峰和碳中和的能源转型路径。也有研究使用多模型比较的方法来识别可能的脱碳路径。尽管如此,这些研究并没有充分考虑时间不确定性对于路径的影响。由于目前中国的二氧化碳排放处于高位,碳排放提前达峰然后开始下降,将有助于中国在后续气候变化国际合作中处于主动位置。

碳达峰的时间、碳中和的时间和脱碳路径对于转型技术选择和气候变化减缓都至关重要。近期关于各国碳中和目标的评估显示低碳技术发展的不确定性,BECCS的潜力和公众意识都可能对实现碳中和所需的时间产生重大影响。即使是相同的碳中和时间,由于不同的脱碳路径产生的累计排放不同,对全球温升控制的影响也不同。对中国而言,碳达峰时间的不确定性也深刻影响了能源系统转型的进程。

为了弥合知识空白,文章使用了涵盖能源系统所有部门的能源-环境-经济模型China TIMES,评估了碳达峰时间和碳中和时间的不确定性对于转型的影响。文章详细阐述并比较了实现碳中和的不同情景下能源系统脱碳过程中的技术选择、转型成本和对于局地空气污染物治理的协同效应。着重指出不同碳达峰时间和碳中和时间对于中国能源转型的影响,并识别了中国能源转型的可能路径,可以为决策者制定面向碳中和的近期和长期减排战略提供参考。希望本研究能够对其他国家的气候行动有所启发。

二、方法学

(一)China TIMES模型

China TIMES模型是一个自底向上的能源系统优化模型,在过去的10年里被广泛地应用在中国能源转型和气候变化减缓的研究中。模型模拟期为2015—2050年,时间步长为5年。模型详细刻画了包括开采、转换、传输、分配和最终使用在内的整个能源系统过程。模型刻画了电力、工业、农业、建筑和交通等部门的大量技术和燃料类型(图1)。

图1.  China TIMES模型结构图。

具体而言,模型对40余种采用不同技术类型和冷却方法的火力发电进行建模,并根据最新的成本和资源潜力考虑了各类新能源,如风能、太阳能、水能、核能、海洋能、地热能和生物质能。因此,China TIMES模型能够对可再生能源扩容和火电退役相关问题提供技术丰富的政策见解。

模型覆盖了所有工业行业的能源消费和排放,并对钢铁、水泥、化工、造纸、有色金属等高耗能行业进行了工序级别的刻画,能够评估产业转型、燃料转换、节能减排措施在工业部门脱碳中的贡献。文章对建筑运行过程中的供热、制冷、炊事和热水、照明以及电器的能源消耗和碳排放独立建模,并且考虑了公共建筑、城市居民建筑、农村居民建筑用能模式的异质性。对于交通部门,模型考虑了重型卡车、中型卡车、轻型卡车、微型卡车、空运、水运、铁路运输和管道运输等货运交通方式,按需求细分到城市、农村和城际交通的重型客车、中型客车、私家车、铁路运输、空运、摩托车和地铁等客运交通方式;此外,模型还考虑了多种动力来源,包括化石燃料、生物燃料、电力和氢能,为交通部门提供了非常详细的能源转型结果。以国际货币基金组织和世界银行对国内生产总值、人口、城市化率、产业结构的预测为基础,本研究得到了模型所需要的社会经济驱动因子。随后,利用离散选择法、物质流法、饱和增长模型和德尔菲法估计了40余个子部门未来的能源服务需求。

China TIMES模型的基年为2015年,2015年和2020年的数据已利用官方发布的统计数据进行校准。模型使用政府间气候变化专门委员会(IPCC)推荐的二氧化碳排放因子来测算各部门的直接排放。

在研究中,根据最新的统计数据和研究结果,更新了可再生能源、储能和碳捕集与封存(CCS)技术的成本,使得模型能够反映这些核心技术发展现状和趋势。中国的国家自主贡献目标和2020年以前发布的能源和气候政策均已在模型中体现。同时,也考虑了新冠肺炎疫情对经济和能源系统的冲击。模型包含对二氧化硫(SO2)、氮氧化物(NOx)、可吸入颗粒物(PM10)、细颗粒物(PM2.5)的统计,因此能模拟二氧化碳减排对主要局地空气污染物治理的协同作用。

China TIMES模型预测得到的各个子部门能源服务需求不是恒定不变的,而是根据供求关系和价格弹性而波动的,能够反映出为实现碳中和目标生产和消费模式的转变。考虑到可能出现的碳锁定风险,为了实现能源系统深度减排,China TIMES模型允许燃煤发电及供热机组和高碳排放行业产能提前退役,即当淘汰这些高碳技术比它们继续服役系统总成本更小时,它们将在技术寿命结束前被淘汰,为其他先进技术让路。

(二)情景设计和假设

为了探讨碳达峰时间和碳中和时间差异对能源系统转型的影响,设计了以下4个转型情景(表1)。

表1 情景设计汇总 

碳达峰以后,能源系统转型进入以实现碳中和为目标的道路。中国的碳中和目标涵盖所有经济部门的温室气体排放,而China TIMES模型主要关注能源相关的二氧化碳排放。文献显示,到2050年,中国的森林碳汇将达到约6亿吨二氧化碳,随后还将缓慢减少。而非二氧化碳温室气体排放在2050年仍将有12亿吨二氧化碳当量,并且很难继续减少。由于碳汇无法完全抵消非二氧化碳温室气体排放,碳移除技术必须得到推广。考虑到残留的二氧化碳和非二氧化碳温室气体排放到本世纪中叶已很难减少,在2050年实现二氧化碳的深度减排(净零或者近零排放)对于实现2060年温室气体净零排放势在必行。对于在2060年(以H结尾)和2055年(以L结尾)实现温室气体净零排放的情景,假设2050年的碳排放量分别为10亿吨和5亿吨。在假设未来将逐步通过碳移除技术来抵消剩余的温室气体排放的条件下,本研究设定的2050年的二氧化碳排放量能够满足中国的碳中和目标。通过设置2050年不同的碳排放量,能够充分体现出碳中和时间不同对于转型路径的影响。

此外,在固定了达峰时间点、碳排放峰值和2050年排放量的情况下,对每个情景2011—2050年的累计排放做了上浮和下浮5%的灵敏性分析,进一步说明了碳达峰时间和碳中和时间的不确定性对于中国能源转型的重大影响。

三、结果和讨论

(一)中国能源系统脱碳路径

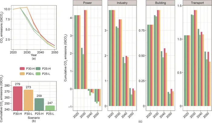
为了使整个模型期内能源系统总折现成本最小(或总福利最大),能源系统需要快速减排才能实现碳中和。如图2所示,中国的二氧化碳排放目前处于高位,峰值水平为103亿~104亿吨。2005—2020年,中国年均碳强度下降率约为4.4%;要实现碳中和,在未来15年,这一速度将提高近一倍,达到8.2%;在2035—2050年,再提高一倍至约16%。换言之,为实现2050年的长期减排目标需要在近期和中期采取行动。以P25情景为例,观察到P25-L情景在2035年以前的年均碳强度下降率比P25-H情景高1%。而对比P25和P30情景,尽管这两组情景的排放峰值和2050年的相似,但累计排放却有巨大的差别,P30情景比P25情景累计排放增加约200亿吨。由此可以看出,及时的气候行动能够为面向碳中和的转型赢得时间,否则,不但转型成本可能更高,后期也会面临更多挑战。

图2. (a)能源系统减排路径;(b)2011—2050年累计碳排放;(c)分部门碳排放情况。

电力部门脱碳是中国能源转型的核心,电力部门碳排放预期会在未来10年明显下降。电力部门碳排放量是所有部门中最大的,峰值水平将低于45亿吨。随后电力部门将用大约10年的时间快速实现脱碳,并且在2040年左右开始产生负排放。2040年以后,随着电力部门清洁转型的完成,进一步的减排将依赖负排放技术和需求侧的深度脱碳。到2050年,在P30-L情景下,将需要近10亿吨负排放,而由于2050年的碳预算相对较高(P25-H和P30-H)或者更早采取减排措施(P25-H和P25-L),其他情景的负排放需求量不超过8亿吨。

需求部门的快速减排要迟于电力部门,2050年的排放约束对转型路径的影响要比达峰时间更大。目前工业部门排放约40亿吨,预计已经达峰,并开始稳步下降。到2050年,工业部门排放不足7亿吨,减排80%。交通部门和建筑部门,峰值分别在14亿吨和10亿吨以内。更早采取减排行动,能够明显降低建筑部门和交通部门的碳排放峰值水平。到2050年,建筑部门排放仅有1亿~2亿吨,交通部门则仍有7亿~8亿吨。对于2050年碳排放约束更严格的情景(P25-L和P30-L),需求部门,尤其是交通部门需要做出更大幅度的减排。

(二)中国能源系统转型

以碳中和为导向的中国能源系统转型主要包括三个方面:(1)在能源供应侧大幅推广可再生能源;(2)在能源需求侧提高能源效率和实现燃料转换;(3)大规模使用负排放技术。

1. 能源供应清洁化

中国能源转型的当务之急是能源供应部门的脱碳。如图3所示,对于P30情景,中国一次能源消费目前仍在上升。尽早采取行动(P25情景),将大大减少煤炭消费,促使更低和更早的碳达峰。2050年,P25-H和P25-L情景下煤炭消费较峰值下降超过81%;而对于P30-L和P30-H情景,煤炭退出时间更短,而所需的下降幅度却更大(超过83%)。对于能源强度而言,2005—2020年,能源强度的年均下降率为3.8%。能源强度下降是碳强度下降最主要的因素。随着能源供应部门的快速清洁化,能源强度的下降率在2035年达到峰值(近8%),随后到2050年回落到约3.7%。

图3.  一次能源消费以及煤炭和可再生能源在一次能源消费中的占比。本研究采用电热当量法统计一次能源消费。

对于能源结构而言,最明显的特征就是可再生能源的普及和煤炭的退出。目前,煤炭消费的比重正缓慢下降。在2025年以后,煤炭占比将以更快速度降低,这有助于能源消费总量和二氧化碳排放达峰。到2040年,煤炭在一次能源消费中的占比将下降至30%(P30)和25%(P25),而2050年,所有情景的煤炭比重都将继续下滑至15%左右。从碳达峰到2040年这一时期,对于P25情景而言,煤炭消费的年均下降率为7.5%,而对于P30情景,则为10%。对于2050年碳预算较少的情景(P30-L和P25-L),长期的减排压力能够传导到近期和中期,导致煤炭消费更大幅度和更快地减少。

相比之下,可再生能源目前占一次能源消费的10%,同时增长缓慢,主要是为了满足增量能源需求。未来,可再生能源将最有希望填补由煤炭消费下降造成的缺口,从而逐步取代化石燃料。据测算,在2035—2040年,可再生能源将超越化石燃料,成为中国最主要的能源。到2050年,中国一次能源消费中可再生能源比重将达到约60%。同样,对于2050年碳预算较低或者开始减排较早的情景(P25-L、P25-H和P30-L),可再生能源的占比将更高。

电力部门对于能源脱碳至关重要,其未来的发展也可分为两个阶段。第一阶段的特点是发电结构的变化,而第二阶段的特点是发电量的快速增长(图4)。

图4.  不同机组类型发电量以及可再生能源和可变可再生能源(风能和光伏)占比。

发电结构的变化主要是因为煤电厂的退役和风能及光伏发电的增加。可以预计,煤电厂将很快进入转型最关键的10年。在此期间,煤电厂要么需要提前退役,要么将进行灵活性改造以进入辅助服务市场,或者转变为生物质-煤混燃电厂甚至纯BECCS电厂,从而能够产生负排放。研究表明,碳达峰的时间在很大程度上取决于燃煤电厂退出发电序列的速度。比较P25和P30情景,发现近期需要尽快停止新建煤电厂并在合理范围内让落后煤电厂有序退役。到燃煤电厂基本退出后,可再生能源发电量将占总发电量的81%,而以风能和光伏为代表的可变可再生能源的比例将达到56%。对于P25情景,风能和光伏的总装机容量在2035年将达到3.1 TW,而对于P30情景,风能和光伏在2040年的总装机容量为3.4 TW。核能将成为电力系统的重要组成部分,未来可再生能源的渗透率会很高,其装机容量将在未来20年增长3倍以上。

随后,由于需求侧电能的快速替代,发电量将快速增加。到2050年,发电量将攀升至15~16 PW·h,较2020年增长超过一倍。风能和太阳能仍然是发展的主力,BECCS也将加入能源系统,提供一定电量。2050年,风能和光伏的总装机容量将增加至6.3 TW(P30)和7.1 TW(P25)。虽然2050年更加严格的碳约束能够激励可再生能源的建设,但是近期的行动才是影响电力部门脱碳路线最重要的因素。值得注意的是,假设未来接近200 GW的核能不参与调频调峰,主要用于满足基荷需求,则大规模的电网级储能将成为保障电力系统供需平衡的关键技术。模型显示,2035年以后,电力系统对储能的需求逐渐增加,2035年储能削峰填谷电量占总电量的10%,到2050年,年储能量将达到2.2 PW·h。

2. 能源消费清洁化

产业结构调整、能源效率提高和清洁燃料替代是能源需求部门能耗和排放下降的三大支柱。据估计,第二产业在国民经济中的比重逐年下降,到2050年,这一比重将比2020年减少约9%,而第三产业比重将增加10%。两组情景都显示,2050年中国终端能源消费将稳定在90 EJ左右。未来的30年,电气化率将持续上升,从目前的23%增加到2035年的30%,然后加速达到2050年的近60%。技术进步和终端能源的电气化推动能源效率的快速提高。在图6中,部分能源服务需求的规模以及技术占比变化以图表的形式展示。

图5.  分部门终端能源消费及电气化率。

图6.  2020—2050年能源服务需求的规模和技术占比变化。黑点表示了与2020年相比,能源服务需求增加(减少)的百分比。

工业部门作为最大的能源消费部门,在能源转型中受到的影响最大。工业部门终端能源消费将在2025年达峰,并迅速下降,但在2050年仍然占据中国终端能源消费的50%。能源消费的减少主要是由于能源效率的提高。到2035年,单位工业增加值能耗将比2020年水平降低一半,到2050年,将比2035年的数值进一步减少一半。电力在工业部门的渗透率逐年增加,到2050年将达到约56%(P25)和51%(P30)。水泥和钢铁行业因高能耗和高碳排放而备受关注。与2020年相比,2050年水泥和钢铁产量将分别下降60%和70%以上。CCS技术和氢气直接还原铁(氢能炼钢)技术被用于减少钢铁行业剩余的碳排放,而水泥行业也将通过CCS技术实现80%以上的碳减排。当对比不同的情景时发现,对于提前达峰和2050年有更充足的碳预算的情景(P25-H、P25-L、P30-H),氢能和CCS技术的普及率较低,工业产出的下降量也较少。

2019年,中国的建筑总面积约644亿平方米,到2050年还将继续增加20%,这无疑会导致能源服务需求的增加。提前达峰能够降低峰值水平,2050年的碳排放目标对建筑部门2040年以后的转型有较大影响。建筑部门在所有需求部门中电气化率最高。目前,建筑部门消耗了大量的化石燃料(特别是中国并不充裕的天然气)来满足采暖、炊事和热水相关的能源服务。在未来,许多能源需求将由电力来满足,到2050年化石燃料的份额将下降到20%以下。

中国交通部门目前仍在快速扩张,2019年中国私人汽车千人保有量为174辆,预计到2050年千人汽车保有量将上升至400辆。此外,到2050年,卡车数量也会较当前增长超过20%,航空需求将增加150%,这将给交通部门的减排带来更严峻的挑战。在周转量大幅增长的情况下,能源消费的最终下降主要源于电动汽车和氢燃料电池汽车效率远高于当前的内燃机汽车。到2050年,超过70%的轻型车辆和90%的大型客车将采用电力驱动,在达到碳中和时,剩余的大部分内燃机汽车也将被逐渐淘汰。电力在重型卡车领域的普及存在现实障碍,因而货运交通的脱碳将寄希望于氢能。然而由于氢能生产的成本过高,只有在强大的脱碳压力下,氢能才会迅速取代化石燃料。例如,在P30-L和P25-L情景下,氢能在卡车中的消费占比将达到50%以上,而在其他两个情景下,则仅有约33%。

3. 生物能源和CCS技术蓬勃发展

生物能源是一种可持续的零碳能源,而CCS技术可以捕获电力、工业和上游部门产生的二氧化碳并实现长期储存。然而由于整体投资成本高昂和公众认知度不足,这些技术难以得到充分发展。由于负排放技术是实现碳中和的关键,融合了零碳特性的生物能源和CCS的BECCS技术,因此是一种具有广阔前景的负排放来源。2035年以后,低成本的脱碳手段已经基本耗尽,为了实现碳中和,预计将开始快速部署BECCS技术以抵消剩余的难以解决的排放。

如图7所示,从2035年起开始大规模建设BECCS技术,并在当年产生2.3亿~2.9亿吨负排放。到2040年,由BECCS产生的负排放预计将翻倍至4.3亿~5.7亿吨,并在2050年达到大约8亿吨。对于P30-L和 P25-L,由于2050年的碳预算更紧张,2050年将分别捕获10亿吨和8.7亿吨二氧化碳。对于生物质使用量而言,在大规模部署BECCS之前,由于农村地区传统生物质资源直接燃烧的数量快速减少,生物质使用量将下降,随后因为BECCS的部署,生物质使用量将快速上升。在所有生物质资源中,农林剩余、动物粪便和城市垃圾将首先得到利用。在2040年后,边际性土地将被用于种植能源作物,以提供生物质。到2050年,70%的生物质被用于BECCS,而农村地区直接生物质燃烧将几乎完全消失。

图7.  不同CCS技术的二氧化碳捕集量(a)和生物质使用量(b)。

除了BECCS外,2035年后,部分现存的燃煤发电和供热机组将进行CCS改造以减少碳锁定,避免转型带来的资产搁置风险。在P30情景下,未来10年仍会新建煤电厂,到2050年带CCS的燃煤电厂的二氧化碳捕集量将达到4亿吨,比P25情景多1亿吨。在工业部门,CCS也被用于解决钢铁、水泥和制氨环节产生的排放,在2050年将捕获3亿~4亿吨二氧化碳。

(三)能源转型成本效益分析

1. 边际减排成本和福利损失

碳中和目标对国家的发展带来了前所未有的压力。边际减排成本(MAC),即优化模型中二氧化碳的影子价格,可以用于综合反映碳减排的成本和对社会的影响(图8)。由于不同的减排行动时间部署,P25和P30情景有较大的不同。所有情景的MAC都平稳上升,反映了随着减排率的上升,减排压力也越来越大。2050年的排放量会对整个模拟期的MAC产生全局的影响,P30-L和P25-L情景下的MAC明显高于P30-H和P25-H情景。而更早达峰能够降低MAC更多,这表明更早采取行动能够获得长期收益。

图8.  边际减排成本(a)和累计福利损失(b)。

在P30情景下,实现国家自主贡献目标需要较小的努力[每吨二氧化碳(t CO2)花费5 USD],然而远远未达到实现碳中和所需的努力。在P30-H情景下,2040年的MAC将增加到100 USD·t CO2-1以上;而对于P30-L,2035年的MAC就已经超过100 USD·t CO2-1,到2050年将进一步突破200 USD·t CO2-1。与P30-L情景类似,P25-L情景也将在2035年达到100 USD·t CO2-1的MAC,但是后续的增长将放缓,2050年的MAC为184 USD·t CO2-1。由于P25-H转型压力最小,2045年以前该情景的MAC都不会超过100 USD·t CO2-1,到2050年MAC也仅131 USD·t CO2-1

福利损失是另一个用于衡量转型成本的指标。MAC关注的是减排的难度,而福利损失衡量了减排对于消费者和生产者产生的影响。图8(b)显示,相较于仅实现国家自主贡献目标的基准情景,在2020—2050年,碳中和情景的累计福利损失为0.947万亿~1.173万亿美元。2050年碳预算较低的情景(P25-L和P30-L)的福利损失将比另外两个情景高17%~24%,而达峰时间对于福利损失和能源服务需求的变化影响较小。

2. 能源供应部门投资

中国持续的清洁能源投资为低碳转型提供了坚实的基础。为了实现中国的碳中和目标,需要大幅扩大低碳投资规模,并不断提高绿色投资比重。如图9所示,从现在到2050年,大约需要6万亿美元的电力投资来支持电力系统的低碳转型,其中可再生能源投资约占90%。总的来说,不同的碳中和时间对于电力行业的投资额影响不大,但不同的碳达峰时间对其投资有较大影响。未来10年是能源转型和升级的重要窗口期,P25情景下,电力部门年均投资额超过1700亿美元,而P30情景下投资额则不足1200亿美元。最大的投资缺口在于风能和太阳能发电技术,预期P25情景(超过1.2万亿美元)近十年的风能和太阳能投资是P30情景的两倍。

图9.  电力部门不同技术投资(a)和2020—2050年电力部门总投资(b)。USD2015表示采用2015年美元不变价,并且按照2015年官方公布的汇率将人民币转换为美元进行统计。

从电力类型来看,风能和太阳能投资始终占未来电力投资的绝大部分,而且它们的占比逐年扩大。2040年以前,核能的投资都将保持在年均100亿美元以上的规模,而水力发电由于受到资源禀赋的限制,未来的投资将非常稀少。为了消纳高比例的可再生能源,电化学储能、抽水蓄能和压缩空气储能将得到迅速发展。根据模型的结果,到2050年,电力系统需要近8000亿美元的储能投资,而其中30%需要在未来10年内兑现。

3. 能源转型的协同效应

虽然能源转型需要大量的基础设施投资并面临现实障碍,但能源转型也为中国能源系统内外的可持续发展带来诸多好处。能源系统内部的收益显而易见,其中能源安全最显著。由于可再生能源对化石能源的大规模替代,中国未来对于石油和天然气的需求将会明显减少,从而提高了中国能源的独立性。据估计,到2050年,中国将能够实现天然气的自给自足,而石油的自给率也将提高到60%以上。此外,通过大规模的可再生能源建设,特别是分布式太阳能发电,能源可及性将得到大幅改善。未来20年由于电力部门的快速转型,综合发电成本有可能增加,但是由于可再生能源成本的快速下降,2050年的综合发电成本将接近甚至低于目前的水平。

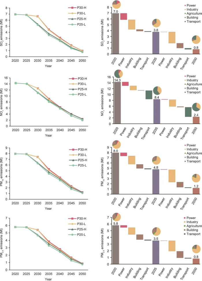
除此之外,能源转型带来以空气质量改善等为代表的显著正外部性。在假设不采取新的局地空气污染物控制措施情况下,仅通过二氧化碳减排就可以实现SO2、NOx、PM10和 PM2.5等空气污染物大幅减少(图10)。2020年,大部分的SO2来自于工业和电力部门。SO2排放由2020年的约700万吨减少到2050年的不足100万吨和80万吨,工业部门是减排的重点。电力部门的脱碳在2035年之前起到了一定作用,而2035年以后减排主要源于需求部门的燃料替代。到2050年,工业部门和交通部门是SO2最大的排放者。

图10.  CO2减排对局地空气污染物治理的协同效应(左)和P25-H情景下,2020—2035年和2035—2050年两段时期,各部门对于局地空气污染物减排的贡献分解(右)。

目前,超过一半的NOx来自于交通部门,另外三分之一来自工业部门。随着交通部门燃油汽车的淘汰和电气化,与2020年相比,2035年的NOx排放量将下降约40%,2050年将下降85%。由于交通和工业部门排放所占比例过大,未来30年内,绝大部分减排都来自于这两个部门。在2050年,交通部门的排放份额扩大至约三分之二,而工业部门的排放份额将先缓慢上升再下降。

PM10和PM2.5有着相似的减排途径和部门构成。2020年超过60%的颗粒物排放来自工业部门,其余大部分来自建筑部门。在2020—2050年,PM10和PM2.5排放将下降86%,而工业部门碳排放的份额将上升至75%以上。工业部门的碳减排对PM10和PM2.5控制起到了关键作用,但是建筑部门的变化也不应被忽视。

对比不同情景,在2025—2035年,上述4种局地污染物的排放在碳达峰时间不同的情景下会有明显的不同。与P30情景相比,P25情景的SO2、NOx、PM10、PM2.5排放分别减少21%、12%、15%和14%。因此,尽管不同情景下2050年的排放趋于一致,尽早开始碳减排都将产生更多的近期收益。

(四)敏感度分析

累计碳排放量、碳达峰时间和碳中和时间是影响减排路径的三个重要参数。在保持每个情景的碳达峰时间、峰值排放和2050年排放值不变的情况下,通过对累计排放值的摄取,进一步评估上述结果的鲁棒性(图11)。尽管累计排放的变化带来煤炭消费的巨大波动,但是可以看到,在所有情况下,2050年碳预算更严格,都将导致2035年的煤炭消费量减少。

图11.  2035年煤炭消费、2050年可再生能源装机容量、2050年BECCS产生的负排放和2050年边际减排成本的灵敏性分析。在固定峰值水平、达峰时间和2050年排放水平的情况下,2011—2050年每个灵敏性情景下累计排放增加或减少5%。根据基础情景的平均值对结果进行归一化处理。箱型图中的空心点代表了基础情景下的数值。

2050年不同情景的可再生电力装机容量达到了高度的一致,装机容量仅在基础情景下上下浮动2.5%的范围内波动。由于到2050年电力系统的脱碳已经基本完成,因此即使有更加严格的2050年碳预算,可再生能源的容量增幅也不会超过3.5%。

尽管BECCS技术的部署受到累计排放量变化的重大影响,但提前达峰能够减少对碳移除技术的依赖并减少由累计排放量不确定性带来的波动。由于所有部门在2050年都已经深度脱碳,因此所有情景都显示出了对BECCS的巨大需求,其中P25-L和P30-L情景有更高的普及率。与碳移除技术类似,MAC受到累计排放量的影响较大。较晚达峰和更严格的长期排放目标都会增加MAC,产生更大的减排压力,提前达峰能够在实现长期目标中占据主动地位。

四、结论和政策建议

文章研究了中国面向碳中和的减排路径和能源转型。根据中国现有的国家自主贡献目标和碳中和目标,本研究设计了4种情景。在这些情景下,碳达峰和碳中和将提前或者如期实现,最终得到通向碳中和的不同的路径。电力部门的脱碳在近期发挥关键作用,碳中和目标将促使电力部门在2040年前实现深度脱碳,随后产生大量的负排放来抵消需求部门的排放。煤炭在2040年前将被大规模部署的风能、太阳能、生物质能等可再生能源快速取代。到2050年,太阳能和风能发电装机容量将达到6.3~7.1 TW,并且供应了三分之二的电力需求。需求部门未来将实现更高水平的电气化(接近60%),氢能也将在工业和交通部门得到运用。能源系统的深度脱碳导致局地空气污染物的大幅减少,随之带来显著的健康效应。在对不同的碳达峰时间和碳中和时间情景比较中,发现了时间的不确定性对投资、成本、可行性和技术需求都有影响。

通过多情景比较发现,提前达峰能够给中国更多的时间来安排煤电厂的有序退役和可再生能源的平稳部署。虽然提前达峰在短期内可能会有更大的转型压力,但从长远来看,这是最具有成本效益的选择。同时,提前达峰带来的累计排放量减少,也将缩小21世纪下半叶对于负排放的大量需求。尽管4个情景2050年局地空气污染物的排放差异不大,但是提前实现碳达峰将导致未来15年的空气质量得到明显改善。2050年更低的排放值会增加整体的减排压力,这将导致可再生能源和负排放技术的进一步扩张。需求部门在能源转型中也将通过减少能源需求(但增加福利损失)、使用高成本技术(大规模使用氢能)等策略来应对更为严格的排放约束。

因此,根据研究成果提出以下政策建议:

(1)中国应当迅速采取行动,争取实现二氧化碳以较低水平提前达峰。

(2)中国需要在电力部门快速推广可再生能源取代化石能源,同时由于可再生能源的高渗透率给电力系统的供需匹配带来挑战,中国应当重视储能设施的配套发展。

(3)中国应当合理安排现有燃煤电厂的退役,并且建立CCS试点,完善生物质资源发展的全产业链,为后期大规模发展BECCS做好准备。

(4)国家应倡导绿色低碳、可持续的生产生活方式,加快电力、氢能在终端需求部门的渗透。提高效率、燃料转换和需求削减在终端部门同样重要。

总而言之,本研究为面向碳中和的中国能源转型指明了方向,剖析了每个部门可能的脱碳路径、减排策略和潜在挑战。同时,研究也清晰表明,中国目前采取的行动对于成功实施低碳转型至关重要,所有部门都有机会和潜力来加速转型。在未来,对能源转型的协同效应和潜在权衡给予更多的考虑,将能使研究更具有政策指导意义和参考价值。

注:本文内容呈现略有调整,若需可查看原文。

改编原文:

Shu Zhang, Wenying Chen.China’s Energy Transition Pathway in a Carbon Neutral Vision [J]. Engineering,2022,14(7):64-76.

加载中...