新浪财经

国庆八天假,让我发现了堵车的秘密

格上基金官方微博

关注

国庆假期,你玩得是否尽兴?

八天长假,你的疲劳有没有一扫而空?

快乐的时光总是短暂的,转眼间,假期已经结束,今天已经是上班的第三天了~

坐在办公室脑海里不禁回响起那首歌,“时间都去哪了?”。

显然还沉浸在假期的氛围里没有走出来。

好吧,言归正传。为什么想写这个话题呢?

因为小编在假期第一天就看到了大家在出游路上堵车的场面,“开车两小时,行驶两公里”,八小时的路走了五小时还有八小时,等等,场面一度十分壮观。

而上班不仅意味着假期的结束,而且又又又要开始面对早高峰晚高峰的日常堵车了。

那么不知道你有没有好奇过,好好的路上怎么就堵了呢?反正小编每次遇到堵车都搞不明白怎么回事?到底是从哪里开始堵的?每次都想下车走到路尽头去看看发生了什么。

这不,利用这八天假期在你们都出去玩的时候,小编好好做了一番功课,总算是弄懂了堵车的秘密。

灵堵车

有一些堵车呢,是由交通事故造成的,这很好理解,不是我们关心的对象,我们今天要做的就是寻找那些无缘无故堵车的原因,所谓的“幽灵堵车”。平白无故,走着走着,就堵了,不知道发生了什么?走着走着,莫名其妙地又通了,到底是什么在作怪?

说来其实很简单,不过在查资料的过程中,小编发现堵车这件事竟然跟物理还有着千丝万缕的联系,我们一起来看看。

人话版

2008年有人开展了一项实验,让一系列驾驶员驾车在环形道上行驶,经过一段时间后,就会出现自发的局部拥堵,这个实验很直观的展示了堵车的原因。

在行驶过程中,难免会有驾驶员注意力不集中,一旦某辆车在行驶过程中速度降下来,后面的车就要刹车,这就会造成一系列的连锁反应。当这个速度变慢的司机意识到这个问题后,开始加速,但是由于在刹车和加速之间存在着一定的反应时间,这一影响一级级地向后传递,司机的反应时间逐级积累,最终造成局部拥堵现象。

越是十字路口多的地方,越容易发生拥堵。

交通信号灯相当于给正常行驶的车辆加了一个扰动,每次信号灯亮起时,司机的反应时间都不一样,很有可能当一大串车流通过绿灯,刚好到你时,绿灯变了红灯(我相信你肯定经历过,请描述你的心情)。小编每天都站在窗口往下看,对这点可是深有体会。

即使在没有信号灯地方,假如一只猫突然穿过马路,也会引起一连串的反应,就算这只猫已经走了,这个影响也不能立刻消除,仿佛车辆经过了一个隐形的路口

因此交通堵塞经常发生在瓶颈处,比如道路变窄、车道减少、出现交通事故、十字路口等。在这些地方,一旦有人踩了刹车,就会引起一连串的连锁反应。

就算驾驶员能保持绝对专注,还是会频繁遇到各种路口或者各种奇怪的突发状况,比如前面提到的猫。道路交通是一个复杂的多体系统,任何扰动都会破坏它的平衡,产生交通拥堵。高速上没有十字路口正是为了避免这一点。

因此在开车的过程中,要注意跟前后车都保持合适的间距,这样,当前车刹车时,你有足够的反应距离可以不用刹的很猛,后面的车也是一样,就可以缩短车流收缩的时间,在较短时间内恢复到正常行驶状态。

倘若每一位司机都有娴熟的技能和稳定的行驶速度(当然这是不可能的,虽然堵在路上的每一位司机都觉得自己是驾驶水平最好的),那么就可以降低堵车的概率。

物理版

如果你细心的话,可能已经发现了,说了这么多,还没有出现一个数学公式,更没有看出来物理在哪里是不是?那么到底有没有物理的解释呢?有的,不但有,还很硬核。

小编在查资料的时候发现,在之前学过的一本书中有一节专门介绍“车流”的。不过不是交通专业的书,而是,这本书,

是的,你没看错,是《凝聚态物理学》。

车流跟凝聚态物理是怎么扯上关系的呢,这就要看凝聚态物理是多么的博大精深了。

凝聚态物理学是物理学最大的一个分支,短短60几年来已经获得过30多次诺贝尔物理和化学奖,跟多个学科领域都有交叉。

公路上的车流量就是凝聚态物理学和社会科学交叉的一个成功范例。小编也是第一次知道这两个学科之间还可以交叉。

在公路上,车辆可以看作是一个个具有相互作用的“粒子”,那么道路就是一个多体系统,而且是一个非平衡多体系统。(非平衡系统是凝聚态物理中很重要的一个研究分支,我们见到的大多数系统都属于非平衡系统,例如鸟群、生命系统等。)

由于车辆之间距离的可变性,车流就可以看做“可压缩流体”,这样就可以利用流体的相关知识来解释车辆在道路上出现的种种行为。当道路上车辆较少时,车流类似于液体的行为;当车辆较多时,车流就类似于固体的行为。在这之间存在着一种“相变”

不难理解,道路的交通情况跟车流量密切相关,只有当车流量增大到一定值时,才会出现交通拥堵。

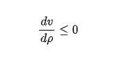
我们以 v 表示汽车的速度,ρ 表示汽车的密度,可以认为,当密度足够低时,v 是独立于 ρ 的,即车辆的行驶速度是不受周围车辆干扰的。随着汽车数量的增加,车与车之间的距离变短,“相互作用”变强,车辆的行驶会受到周围车辆的影响,行驶速度会受到极大的限制。总之,汽车行驶速度v是随着车辆密度 ρ 的增大减小的。用数学公式表示为:

最终车流密度到达最大值:

此时,车辆的行驶被完全限制,速度几乎为0,这就出现了“开车两小时,移动两公里”的壮观景象。

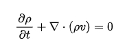
在这本书中,还给出了用流体动力学理论元胞自动机模型给出的分析,不过推导过于复杂,这里就不展开讲了。这里给出推导过程中要用到基本方程——理想流体的欧拉方程满足的连续性方程——的一般形式:

这个等式只是用来描述没有黏性和热传导的理想流体的动力学问题,也就是说描述在流体中没有任何热交换的过程。在描述“车流”这一复杂系统时,要稍作修改。

升级版

再往后查,小编又发现在2001年就有研究者在“Reviews of Modern Physics”(现代物理评论)上发表了一篇题为“Traffic and related self-driven many-particle systems”(交通和相关自驱动多体系统)的综述。

关于这个期刊,大家感兴趣的可以自己查一下。

这是一篇介绍物理学家交通动力学方面研究的综述性文章,正文62页,参考文献13页(可以看出相关研究是真的多)。看了之后,小编才知道原来早在1935年就有人研究了机动车的交通问题,在20世纪50年代,就有大量的介绍交通流和车辆密度关系以及交通稳定性的论文发表。

这篇文章用统计物理学非线性动力学的相关研究方法,从微观、介观、宏观尺度来分析机动车的交通问题。利用大量的观测数据对“幽灵堵车”、走走停停、不同类型的堵车现象等进行了讨论。

由于专业性太强,小编也看得一脸懵。不过,我们可以得出一个结论:

堵车远不是我们想象的那么简单,这里面可是大有学问的。

在最后

总之,要想减少堵车,最好的办法就是减少车流量(说来说去好像也没说什么新法子,这不就是限号和错峰出行的目的吗)。

因此在出行时,建议大家尽量乘坐公共交通工具,在路途不远时,尽量选择骑自行车或者步行,节能环保还方便(毕竟有时候停车位也不是那么好找的)。

另外就是提高自己的车技,在路上控制好行驶速度和前后车的间距,保持合适的距离。

最后祝大家上班愉快,提早下班,避免晚高峰。

参考资料:

1、How Not To Get Stuck In Traffic

2、解决交通阻塞最简单的方法

3、Rev. Mod. Phys. 73, 1067 (2001) - Traffic and related self-driven many-particle systems (aps.org)

4、冯端/金国钧,《凝聚态物理学》(下卷),高等教育出版社

加载中...