新浪财经

我们为什么要关注时政?

卢克文工作室

关注

来源:卢克文工作室

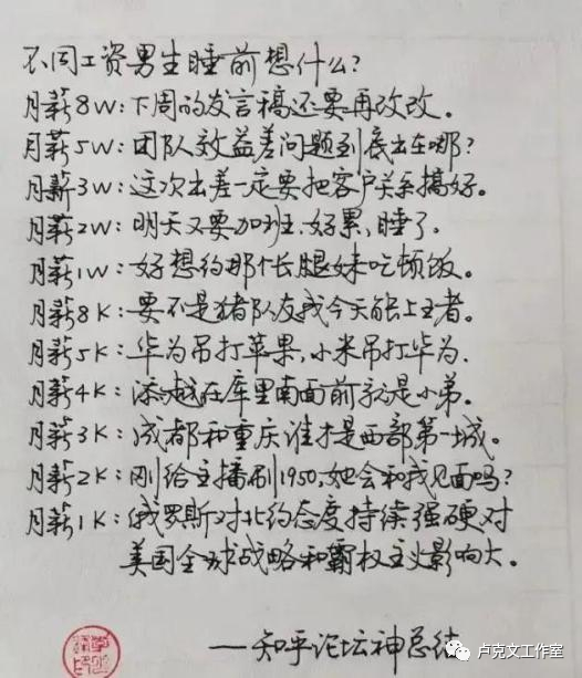
一直以来,在互联网上流传一张图片。

图片内容很有意思,说的是“不同工资男生睡前想什么?”

首先,月薪8w的人想的是“下周的发言稿还要再改改”;然后,月薪3w的人则考虑“这次出差一定要把客户关系搞好”。月薪2w的打工人还在抱怨加班,月薪1w想的则是“好想约那个长腿妹吃顿饭”;后面的就不细说了,大家自行看图。

最好玩的是最后一条:

薪1k:俄罗斯对北约态度持续强硬对美国全球战略和霸权主义影响大。

这个就有意思了。

仔细看看上面的例子。月薪8w想的是改发言稿,可以看出是指领导层;月薪3w,企业中层,薪水已经超出大多数人,但仍要为更高的薪水奔波,所以想着搞好客户关系也是合理的;月薪1w,不上不下,想的是爱情,但也还只限于吃饭,更进一步的想法还需要更进一步的薪水支撑。但月薪1k的人,真的是在想国际政治吗?

也有一种说法与此类似,“太关注时政会导致贫穷。”

这种说法虽然听起来很离谱,但也确实有它的道理:精力花在哪儿,价值就提升在哪儿。

月薪由高到低,所关心的事情越来越跟自己无关,投资在自己身上的精力不同,那薪水自然有高有低。但这有个前提,“太关注”。太关注和赚钱没什么关系的事,那肯定是会影响挣钱。时政这个话题给人的感觉太过宏大,和普通人格格不入,所以被单独拉出来当靶子。

说个玩笑话,如果按照这个逻辑,月入500的人可能在关心地球和太阳系的未来。

所以对时政有了解的人并不会被这种说法迷惑,事实上,大家也只是把它当做段子,看完之后一笑而过,该看新闻还看新闻。

那么话说回来,我们为什么需要关注时政?又该怎么关心?

先举一个正面的例子。

2018年,卡舒吉案,这事儿虽然在国际上闹得很大,但国内并没多少人知道。原因无他,沙特的一个记者,又不是什么大人物,大家没兴趣了解。

然而,当时一位默默无闻的电商人关注了这件事,并在朋友圈给出了自己的推理,精彩的文笔加案件本身的离奇,最后成就了现在的知名自媒体时政博主。

再举一个反面的例子。

2023年,笑果事件,一个有着大好前途的脱口秀演员,一句别有用心的言论,最终葬送了自己和整个公司的前程。

再比如去年某带货主播更是因为团队都缺乏政治敏感度,而被禁播3个月。

网络上也常常有这样一种发言,大家肯定注意到过:XX影响我月薪3吗。

短期看,确实不影响。

一个事件的影响,其扩散过程是按照蝴蝶效应来的,如果不是当事人,自然不会直接影响到我们普通人的当下。

然而,长期来看,它却通过影响国家、进而影响行业、企业,紧接着就是个人。

俄罗斯打乌克兰有什么影响?下届美国总统是谁有什么影响?尹锡悦反不反华有什么影响?

都有影响,只是远近快慢的区别。

世界在变化,时代在进步,未知的趋势难以捉摸,但事前多一些了解,却真的能够在事情到来时,多一分对它的看透。

很多卖课程的自媒体文章喜欢引用《教父》中的一句话:“花半秒钟就看透事物本质的人,和花一辈子都看不清事物本质的人,注定是截然不同的命运。”

讲得很对,放在时政上同样适用。

半秒钟就看透政策的人,和花一辈子都理解不了国家政策的人,注定是截然不同的命运。

但《教父》这句话被引用多了,有些功利的意味在。多了解历史和政治是可以帮助我们看清事物的本质,进而谋取实际的经济利益,只是见效会比较慢。

而有一些事与政治无关,它们需要另一句话来适用:

“大多数人,到死都没向尘世之外瞥一眼。”出自《三体》。

只在自己的圈子里兜兜转转是遗憾的,圈子之外有太多丰富的世界。尘世之外的星辰大海可能太过遥远,但俄乌冲突、中美博弈却是与你我息息相关。

简单地向它们瞥一眼,并不会导致贫穷。

一个人,可以既熟悉宏大叙事,也明晰底层逻辑,二者不矛盾。

宏大叙事,在书中,是指国际时政;底层逻辑,在书中,则是指经济链。

什么书?《风云录二〇二二》。

《风云录二〇二二》是卢克文的第三本书,分为国际篇,国内篇与随笔篇三部分。

国际篇主讲国际战略,长篇如《王道与霸道》,为大家拆解中老铁路修建的意义,以及更为宏观的泛亚铁路、西部陆海新通道、一带一路;短评如《收租的人》,一针见血地点评东南亚一家电商公司背后牵扯出的经济规律。

国内篇主讲省份与近代史,省份系列涉及《江苏:十三太保》、《陕西:潜龙在渊》、《湖北:星耀江汉》、江西、湖南等等,揭示每个省份的过去与未来;《四座城市的宿命》,记录衡阳、邵阳、襄阳、荆州的城市宿命;《大清灭亡史》则生动还原了大清帝国走向灭亡的全程;更有《当帝国衰落时》,对比古今,我们会发现美国与清朝衰落的原因不无相似。

随笔篇收录有《掌握了经济链,就是掌握了自己的命运》,承接《卢克文作品二〇二一》中《如何看透世界的本质》一文,进一步分析了经济链的作用。以及《从华裔女博士被乱枪打死,看中美文化差异性》,熟悉的以小见大风格,从一桩离奇的案件,窥看两个国家的文化隔阂。

《风云录二〇二二》,揭晓国际风云变幻的逻辑,描绘这个时代人们努力生存的模样。

双节将至,我们也给大家带来迄今为止最大力度的优惠和福利:

下单优惠,原价68元的书籍,现价统一59.8元。

优惠仅限国庆期间,需要的读者速度下单~~~!

加载中...