新浪财经

【平安证券】基金深度报告-量化资产配置系列报告之三:赔率因子在大类资产和行业轮动策略运用

市场资讯 2023.09.14 14:43

证券分析师

研究助理

任书康     一般证券从业资格编号S1060123050035

摘要

赔率衡量资产预期收益与亏损的比值,基于赔率的交易策略能够在获得足够安全边际的前提下分享市场上涨的盈利,缺点在于等待盈利周期相对长。赔率交易的核心在于,寻找估值长期中枢,避开“价值陷阱”。基于估值的均值回复特征,估值指标可以较好地衡量资产赔率。我们使用市盈率、市净率、股息率和市销率构建了赔率因子体系,基于Fed模型补充了权益风险溢价ERP,能够衡量股票对债券的相对价值,较全面地刻画了股票赔率。

我们使用统计特征分析、相关性检验、周期分析、平稳性检验研究了A股市场7大宽基指数,结果显示:上证50、沪深300、中证800、万得全A适合作为赔率交易标的,股息率DY是更合适的赔率因子;股票指数未来累计收益与赔率因子相关性在250个交易日内迅速提升,随后在500个交易日内达到局部峰值;除上证50股息率DY均值回复周期接近3年外,其余指数DY均值回复周期约为4年;中证500、中证1000、创业板指、万得全A的赔率因子为季度趋势平稳序列,估值中枢可能呈现缓慢、线性变化,需要关注估值中枢变化。使用同样方法检验行业风格资产,结果显示16个行业适合作为赔率交易标的,其中医药生物、轻工制造、公用事业、商贸零售、建筑装饰适用PS因子,电子、家用电器、社会服务、钢铁、基础化工、农林牧渔、建筑材料、食品饮料适用PB因子,有色金属、交通运输适用DY因子,纺织服饰适用PE因子;各行业估值水平差异较大,估值分位数是更为合理的归一化方法;各行业指数赔率因子均值回复周期集中在3-4年左右;在16个行业之外,传媒、电力设备、计算机、通信、环保、煤炭、机械设备、非银金融等行业赔率因子与未来收益存在短期负相关,需要警惕超涨/超跌风险。

股债轮动策略:基于赔率指标ERP(DY)的股债轮动策略能够获得显著超额收益,以万得全A为例,基于ERP(DY)的赔率策略年化收益率6.48%,夏普比0.74,相较于标的股指夏普比提高0.54。股票持仓大部分在20%-80%之间,策略择时表现较好。行业轮动策略:使用筛选后的行业及其赔率构建的行业轮动策略年化收益率11.28%,夏普比0.46,相对于万得全A年化超额收益3.49%,通过设置对照组证明了,筛选行业及赔率因子的操作贡献了策略大部分收益。目前上证50、沪深300、中证800、万得全A的ERP(DY)均处于历史极高水平,股票赔率凸显,基于ERP(DY)的股债轮动策略给予股票较高仓位。行业中建筑装饰、农林牧渔、家用电器的赔率较高,基于赔率的行业轮动策略提示配置机会。

风险提示:1)赔率交易策略具有较长的等待盈利周期,市场短期内有进一步下跌风险。2)市场情况发生变化导致资产估值中枢发生重大改变。3)宏观经济状况、政策变化导致的策略失效。

01

赔率交易理念与因子体系

1.1赔率交易理念:寻找资产估值中枢

赔率衡量的是资产预期收益与预期亏损的比值,也称盈亏比,基于赔率的交易策略能够在获得足够安全边际的前提下分享市场上涨的盈利,但等待盈利周期相对较长,对投资者负债端的稳定性要求较高。价值投资始祖格雷厄姆的“安全边际”理论至今被部分投资者奉若圭臬,基于赔率的交易理念在资本市场仍具有旺盛生命力。买入具有高赔率的标的能够使投资者在承担较小损失的同时,获得资产上涨的巨大收益。在资产配置中,基于赔率的交易策略往往要求投资者在资产价格较低时买入相应标的,直至资产价格反弹后获利了结。因此,相对于胜率、趋势等策略,赔率交易一般在左侧进场,是最早进场的投资者,往往要求投资者能够接受中短期的回撤或横盘,对投资者负债端的稳定性要求较高。

衡量赔率需要评估资产未来收益与亏损,估值水平可以作为赔率的替代指标。赔率交易的理念在于,估值长期围绕中枢上下波动。估值衡量的是资产价格与收益的比值,即“性价比”。由于资产定价锚定持有资产所带来的未来收益,在短期,经济周期等因素会导致大类资产估值出现较大偏离,但长期来看,资产估值会围绕中枢上下波动,呈现出显著均值回复特征。在估值能回到中枢水平的假设下,估值因子是赔率较好的替代指标。能够大致确定资产的估值中枢,并在估值出现较大偏离时买入资产持有至估值回复,是赔率交易获利的关键。

赔率交易的前提假设在于,估值会回到其长期中枢,且资产所带来的未来现金流没有明显恶化。寻找资产估值中枢,避开“价值陷阱”,是赔率交易入场时需要认真评估的问题。在投资中,“价值陷阱”指代那些表面估值便宜但实质昂贵的资产,一般是由于资产基本面出现严重恶化。在个股甚至行业投资中,“价值陷阱”是投资者入场时需要仔细辨别的问题,评估标的的基本面恶化属于短期因素还是长期趋势性变动,是识别“价值陷阱”的关键。重资产的夕阳行业、景气顶点的周期股、技术淘汰或赢家通吃的公司,是常见的“价值陷阱”类型。

1.2赔率因子体系:如何衡量性价比

基于估值的均值回复特征,估值指标可以较好地衡量资产赔率,我们使用估值指标构建了资产赔率因子体系。鉴于资产盈亏比的衡量较为困难,使用估值指标作为赔率因子是较实用的做法。在资产估值长期均值回归的假设下,低估值往往对应着资产的上涨空间较大而下跌空间有限,即赔率较高。我们选取了历史市盈率、预期市盈率、历史市净率、预期市净率、股息率和市销率六个绝对估值指标构建赔率因子体系。绝对估值是估值指标体系的基础,对于单个资产择时具有重要价值。而相对估值则涉及两资产相对价值的比较,建立在绝对估值指标基础上,在多资产间择券时应用较多。

Fed模型通过相对估值方法衡量股债相对性价比,提供了股债轮动策略的基本方法。该模型的发展历程可以追溯到1997年的美国货币政策报告,当时的美联储主席Alan Greenspan对股票市场的“非理性繁荣”表达了担忧,因此他的团队制定了一个股票市场估值模型帮助评估这种非理性繁荣的程度。后续Fed模型在经济学家Edward Yardeni的改进和说明下逐渐完善,更加接近我们现在理解的估值模型:通过计算股票市场的预期收益率和长期债券收益率来判断股市的估值水平。Fed模型的发展经过多次改进和演化,从最初的简单估值模型发展到后来的资产配置模型,为投资者提供了一种参考工具,用以判断股票市场的估值状态,Yardeni在1997年至2003年的四篇报告中有以下主要观点,为我们构建赔率指标体系和研究相应规律提供了借鉴:

(1)标准普尔500价格指数比预期盈利的比率(PE)与10年期债券收益率的倒数高度相关。通过将预期盈利除以债券收益率可以计算出标准普尔500的公允价值,当实际指数大于(小于)公允价值指数时,市场被认为是过高估值的(低估值的)。并且,他明确指出Fed模型支持使用预期盈利而不是实际盈利进行估值。

(2)改进的模型中纳入了业务风险和盈利预期变量。这一模型的核心公式为:

当前盈利收益率 = a + b × 10年期国债收益率 + c × 风险溢价 - d × 超过未来12个月的盈利预期变量

其中风险溢价是穆迪的A级公司债券收益率与国债收益率之差,预期变量使用I/B/E/S上5年盈利增长一致预测作为代理。后两项的长期增长成分平均上被公司债券市场中的风险变量抵消,因此简化版本在历史上的效果同样出色。

(3)Fed模型在显示股票的性价比方面表现出色,当市场过高估值(低估值)时,投资者在接下来的12-24个月里可能会获得低于(高于)平均收益。Fed模型演化的资产配置模型建议投资者根据市场过高估值或低估值的程度,主观地选择股债资产组合的比例。例如,当股票过高估值10%至20%时,建议风险中性投资者将股票和债券的比例分别设置为60%和40%。

(4)Fed模型并不是一个完善的市场择时工具,一个过高估值(低估值)的市场可能会变得更加过高估值(低估值)。同时,讨论了股息率和市盈率相对其历史平均的绝对水平,认为这些粗略的“回归平均值”模型值得追踪,但它们忽略了利率、通货膨胀和技术变化可能如何在短期和长期内影响估值。

权益风险溢价ERP(Equity Risk Premium)是Fed模型用于股债轮动策略的核心,用以表示股票投资相对于债券投资的额外回报。计算ERP的前提假设是市场回报是稳健的,且市场相对高效,因此从长期来看,平均回报应该是对预期回报的无偏估计。在资本资产定价模型(CAPM)中,ERP的计算如下:

其中,市场整体的期望回报率使用市场指数的历史数据进行估计,无风险利率通常使用较稳定的长期国债收益率作为近似值,如10年期国债收益率。

随着时间的推移,学术界和金融实践中出现了许多对CAPM模型的扩展形式,以更好地解释市场现象和处理实际情况:Fama-French三因子模型在ERP外,引入了规模因子(SMB)和价值因子(HML)来解释股票收益;Carhart四因子模型加入动量因子(MOM)来解释市场现象;还有一些扩展模型考虑了市场风险溢价随时间的变化、更复杂的风险厌恶度量、多资产类别的风险因子和非线性的回报与风险关系。

在Gordon Growth Model(戈登股利增长模型)中,加入了股利用于估算股票的内在价值,ERP是通过将预期股息率和股利增长率的和减去无风险利率得出的:

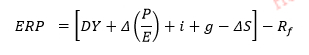
Grinold-Kroner Model更进一步将股票的回报拆分成股利、股票估值水平的变化(估值效应)和预测的宏观经济变量几个部分。其中DY表示股息率(Dividend Yield),i是预期通货膨胀率,g是经济实际增长率,ΔS表示流通股份变动:

我们在实证中用绝对估值指标除以10年国债收益率作为股债轮动信号的ERP,可以消除不同指标绝对值差异过大的问题。在Fed模型提出时,美国预期市盈率的倒数与10年债券收益率的大小维持在接近的范围上,因此计算ERP时做差是合理的。当我们使用历史市盈率并将时间窗口扩大到更长的时间范围上时,做差得到得ERP指标与股债相对收益的相关性逐渐减弱。在A股市场,历史市盈率倒数与国债收益率的大小差异较大,做差得到的结果实际上减弱了国债收益率变化带来的影响,使用除数可以减弱绝对值大小不一致带来的问题。

02

基于赔率的资产特征分析

2.1沪深300适合作为赔率交易标的

沪深300指数估值具有显著均值回复特征,适合作为赔率交易标的。当前沪深300估值水平处于历史较低水平,具备较好配置价值。沪深300未来一年累计收益率与市盈率倒数、市盈率ERP高度相关,且估值因子的波动具有显著周期性,证明了赔率交易在沪深300上的有效性。当前沪深300的绝对与相对估值均处于历史较低水平,或提示未来累计收益率有较高上行空间。

对比不同赔率因子,沪深300未来一年累计收益率与绝对估值指标相关性更高,其中股息率DY相关性最高。目前使用的预期估值因子与未来收益相关性无明显提升,下文研究不再讨论。使用2007年7月以来沪深300数据测算各赔率因子与沪深300未来一年累计收益率、未来一年累计超额收益(基准为万得中长期纯债型基金指数)的相关性,结果显示股息率DY的相关性最高。由于预期PE、PB数据区间较短,我们使用相同区间历史PE、PB重新测算,结果显示2013年以来的历史PE、PB与未来一年收益率之间的相关性分别为73.0%、78.4%,高于对应预期因子的69.7%、75.1%。PE-Forward、PB-Forward对未来收益预测无明显提升效果,后续研究将不再单独讨论预期因子。除DY外各赔率指标相关性使用赔率因子倒数与未来收益计算,下同。

2.2宽基指数的赔率特征分析

为了验证赔率交易在各宽基指数上的可行性,我们使用相关性检验、周期分析、平稳性检验筛选适合于赔率交易的指数及其赔率因子。使用2007年7月至2023年8月数据测算赔率因子在各宽基指数上的有效性。具体而言,分析的宽基指数包括沪深300、上证50、中证500、中证800、中证1000、创业板、万得全A,涵盖了大小盘指数以及A股整体。方法包括:(1)统计特征分析:通过箱型图、走势图了解赔率因子静态及时序特征;(2)相关性检验:研究赔率因子与资产未来走势的相关性,检验赔率信号的有效性;(3)周期性检验:统计赔率因子穿越均值上下一倍标准差的频率,推断赔率因子均值回复的周期长度,研究赔率交易的频率;(4)平稳性检验:应用ADF检验和KPSS检验研究赔率因子在不同统计频率下的平稳性特征,分析估值中枢的中长期变动趋势。

统计特征:中证1000、创业板指和中证50估值水平较高,股息率DY在指数间整体水平较为分散。从历史市盈率PE来看,中证1000、创业板指和中证500这几个偏小盘指数PE整体中枢较高,指数内PE存在显著差异。而沪深300、中证800、万得全A、上证50的PE整体水平较低,指数内差异较小;从股息率DY来看,指数间DY相较于PE更加分散,上证50、沪深300DY较高,各指数内DY差异较大;从市销率PS来看,同样是偏小盘指数估值较高,创业板内PS差异较大。

统计特征:赔率因子普遍在2008年前后存在较大幅度的震荡,在2010年以后维持在相对平稳的水平上下波动,并表现出相对稳定的回复周期。以沪深300指数的历史市盈率为例,使用滚动3年的移动均值和方差绘制布林带,赔率因子在接近2倍标准差后通常迎来反转,呈现出显著的均值回复特征。分年度统计的箱型图显示,沪深300的历史市盈率因子在2010年后箱体收窄,在12倍PE水平附近趋于平稳,截至2023年8月31日收于11.65。中证500的历史市净率在2015年前后突破上2倍标准差,迅速发生回落,截至2023年8月31日收于1.72,处于历史相对低位,当前中证500赔率较高。

相关性检验:大盘指数赔率因子与未来一年累计收益率的相关性显著强于小盘因子,更适合作为赔率交易标的。上证50、沪深300、中证800、万得全A的股息率DY与收益相关性较高,更适合作为赔率因子,中证500、中证1000、创业板指不适合作为赔率交易标的,各宽基指数未来收益与PEG相关性差。测算各指数未来一年累计收益率(252个交易日)与赔率因子的相关性,大盘指数的相关性显著大于小盘指。具体来说,上证50、沪深300、中证800、万得全A的历史PE、DY与未来一年收益均有不错相关性,其中DY相对更高。中证500、中证1000、创业板指与未来收益相关性较弱。相关性强的指数与因子对于未来收益走势更有信号价值,即相关性分析提示股息率因子DY在上证50、沪深300、中证800、万得全A具有择时价值。

赔率因子与资产未来累计收益率的相关性是赔率交易的关键,进一步相关性分析显示股票指数未来累计收益率与赔率因子的相关性在250个交易日内迅速提升。相关性分析显示,股票指数未来累计收益与赔率因子相关性在250个交易日内迅速提升,随后在500个交易日内达到局部峰值,这与Fed模型“当市场过高估值(低估值)时,投资者在接下来的12-24个月里可能会获得低于(高于)平均收益“的观点一致。对于同一股指,各估值指标的相关性路径同样显示在400个交易日内,相较于其它赔率因子股息率DY的相关性最高,各赔率指标在长期均存在均值回复趋势。

周期性检验:通过统计赔率因子穿越均值上下一倍标准差的时间,测算赔率因子均值回复的周期。周期长短决定了赔率交易的频率和等待盈利周期长短,均值回复周期短的赔率因子具有显著优势。使用赔率因子3年均值及标准差绘制布林带,赔率因子穿越上下布林带的周期长度反映了其均值回复速度,也代表了赔率交易的频率和等待盈利周期长短。当判断赔率处于历史相对高位或低位时,大致预估在四分之一周期后回复到对称位置。PEG指标波动较大周期不稳定,不参与测算。上证50历史PB、股息率DY均值回复速度显著优于历史PE;沪深300、万得全A各赔率因子均值回复速度相当,周期在950天左右;横向来看,上证50、沪深300、中证800、万得全A、创业板指的股息率DY的均值回复周期较为合理,中证500市销率PS周期合理,中证1000股息率DY周期较长,应该选择相关性其次的PB指标。

平稳性检验:估值中枢的相对稳定对赔率交易具有重要意义,平稳性检验为评估估值中枢变动提供参考价值:不平稳和差分平稳代表了估值中枢的不稳定变动,影响赔率交易表现;趋势平稳提示了估值中枢的线性变动趋势。ADF检验(Augmented Dickey-Fuller test)和KPSS检验(Kwiatkowski-Phillips-Schmidt-Shin test)都是常用的单位根检验方法,用于判断一个时间序列数据是否具有平稳性,二者检验方法不同,检验结果具有一定差异。当ADF和KPSS检验同时判断数据平稳时我们认为数据“严格平稳”,当ADF检验判断数据非平稳而KPSS检验判断数据平稳时我们判断数据为“趋势平稳”, 当ADF检验判断数据平稳而KPSS检验判断数据非平稳时我们判断数据为“差分平稳”:

(1)严格平稳 (Strict Stationarity): 数据的均值是恒定的,不随时间变化;数据的方差是恒定的,不随时间变化;数据的自相关性不随时间变化。严格平稳的时间序列统计特性在时间上保持不变。

(2)趋势平稳 (Trend Stationarity): 数据的均值随时间变化,但变化是缓慢、线性的;数据的方差是恒定的,不随时间变化;数据的自相关性不随时间变化。趋势平稳的时间序列在长期内趋于稳定,但可能在短期内存在一些波动。

(3)差分平稳 (Difference Stationarity): 差分平稳是一种相对较弱的平稳性概念。如果一个时间序列在原始状态下是非平稳的,但它的一阶差分序列是平稳的,那么我们可以将其认为是差分平稳的。

根据检验,季度水平上指数平稳性显著提高,均能通过平稳性检验,中证500、中证1000、创业板指、万得全A为趋势平稳,估值中枢可能呈现缓慢、线性变化。

结合相关性检验、周期分析、平稳性检验结果,上证50、沪深300、中证800、万得全A适合作为赔率交易标的,适合的赔率因子均为股息率DY。相关性检验衡量了交易信号的有效性,周期长度决定了赔率交易的频率和等待盈利时间长短,平稳性检验结果验证了估值中枢的长期稳定,并提示了部分指数估值中枢的线性变动趋势。

2.3行业风格资产的赔率特征分析

在行业风格资产上,同样使用统计特征分析、相关性分析、周期分析研究各资产的赔率特征,在申万一级行业中筛选出16个适合赔率交易的行业及其赔率因子。大部分申万一级行业指数的赔率因子具有均值回复特性,并且与未来收益存在较强相关。在行业风格资产上使用同样统计方法,可以分析各行业风格资产的赔率特征,以便建立基于赔率的行业择时或者轮动策略。

不同行业间赔率因子的绝对水平相差较大,在比较不同行业间赔率因子大小时,相较于估值绝对水平和Z-score方法,估值分位数是更为合理的归一化方法。以历史市盈率PE为例,箱型图显示:不同行业赔率因子中枢存在显著差异,估值绝对水平难以直接比较,需要使用归一化将它们转化到同一量纲进行比较;同一行业内赔率因子离群点较多,不符合正态分布假设,相较于Z-score方法,滚动分位数是更合适的归一化方法。

同一行业各赔率因子在相关性、回复周期上存在显著差异,选择合适的赔率因子是构建行业策略的关键。以钢铁行业为例,历史市盈率PE走势较为极端,均值回复周期长,近年来波动较小,从走势上看历史市净率PB更加符合均值回复特征。从相关性来看同样如此,钢铁行业未来一年累计收益率与PB相关性高达63.1%,而与PE相关性仅为0.5%,选择合适的赔率因子对于构建行业策略至关重要。

通过相关性检验筛选出适合赔率交易的16个行业及其赔率因子,展示其对应的均值回复周期。相关性检验评估赔率因子作为交易信号的有效性,周期性检验关注因子的周期特征和赔率交易频率。使用2007年7月至2023年8月数据进行相关性和周期性检验,筛选出与未来一年累计收益率相关性高于0.4的行业及其最大相关性因子如下表。医药、电子、家用电器等16个行业未来一年累计收益率与赔率因子表现出较强相关性,赔率因子可以作为其有效的择时和择券信号。所有行业最大相关性因子的均值回复周期集中在3-4年左右,赔率交易的等待盈利周期较长。

行业上赔率因子与未来累计收益的相关性随着累计天数的增加而增加,与在股指上的表现类似。传媒、电力设备、计算机、通信、环保、煤炭、机械设备、非银金融、美容护理、银行等行业的相关性表现在短期出现显著反转,需要关注行业资产继续上涨/下跌风险。受到短期动量的效应,一个过高估值(低估值)的市场可能会变得更加过高估值(低估值),此时随着累计天数的增加,赔率因子与未来收益率相关性呈现U型。传媒、电力设备、计算机、通信、环保、煤炭、机械设备、非银金融、美容护理、银行等行业的相关性路径呈现显著U型特征,需要警惕相关行业短期内的超涨/超跌风险。我们筛选的行业及对应赔率因子均不存在短期相关性反转现象,更加适合赔率交易。

03

基于赔率的资产配置策略

3.1 股债轮动策略

借鉴Fed模型,使用股息率DY计算ERP指标,构建股债轮动策略。根据前文分析,使用股息率DY分别对沪深300、中证800、万得全A、上证50构建股债轮动策略。投资标的是股票(沪深300/中证800/万得全A/上证50)和债券(中证全债)两类资产。

股债轮动的择时策略基于长短滚动窗口的相对分位数确认买入或卖出信号,采用了一种基于市场情况和赔率指标的动态资产配置方法。赔率因子数据区间为2007年7月至2023年8月,策略信号基于近3年赔率因子生成,因此我们将策略开始时间设定为2011年1月1日,采用日频数据生成策略信号。策略步骤如下:1)策略使用滚动窗口的方式计算了市场赔率指标的分位数,以衡量市场的投资价值,策略初始股票权重为25%,剩余资金配置债券。策略将综合应用于大周期(3年)和小周期(1年)。在大周期内,当市场赔率指标高于特定阈值(上90分位数)时,策略会逐步增加股票权重(日度高位信号增加0.1%仓位),以反映较高的投资机会。相反,当市场赔率指标低于另一个阈值(下10分位数)时,策略会逐步增加债券权重,以减少风险。2)类似地,在小周期内,也会进行类似的调整,但调仓幅度较小(日度高位信号增加0.05%仓位),以应对更短期内的市场波动。3)在生成信号时,同时检查信号的变动是否超过一定阈值。如果变动较大,则更新信号的大小,以避免频繁的交易。我们希望在赔率较高时尽量多买入,在赔率低时谨慎抛售,因此买卖信号的变动阈值略有差异(买入时机为仓位变动5%,卖出时机为仓位变动10%)。4)将信号序列向前移动一个日期窗口的长度,以确保信号与实际建仓操作之间的正确对应关系。

基于赔率指标ERP(DY)的股债轮动策略能够获得显著超额收益,股票持仓大部分在20%-80%之间,策略择时表现较好。在沪深300、中证800、万得全A、上证50四个宽基指数上,基于ERP(DY)的赔率策略均取得了显著超额收益。以万得全A、中证全债作为标的资产,基于ERP(DY)的赔率策略年化收益率6.48%,夏普比0.74,相对于万得全A均有显著提升,波动及回撤均大幅低于万得全A。从持仓来看,我们的股债轮动策略在股指回调时逐步建仓,往往能够抓住股票上涨机会,策略择时效果较好。我们采用同样方法构建了基于历史PE、PB、PS的股债轮动策略,策略表现劣于DY,也证明了上文统计分析的有效性。

要控制该策略的波动率和回撤,可以考虑增加主动调仓频率,或增加监控市场周期和市场情绪变化的其他预警因子。策略进一步的改进方向在于:不同赔率因子是否可以组合,不同的赔率因子与股债超额收益是否存在非线性关系,赔率因子是否存在较优的区间。另外,在债券配置上也可以考虑对国债、企业债等不同种类和不同期限的固收品种进行划分,寻找固收内部的主动收益。

3.2 行业轮动策略

基于赔率的行业轮动策略关注不同行业间的估值差异,通过配置被市场低估的行业获得超额收益。基于赔率的行业轮动策略注重挖掘被市场低估的行业风格资产的配置价值,通常的做法为买入估值较低的行业等待行业风格回归。通过研究我们已经确定了申万一级行业中估值回归能力较强的16个行业及其对应的最佳赔率因子,下面我们将构建相关组合验证基于赔率的行业轮动策略。

基于行业赔率因子历史分位数的3年均值筛选赔率前3行业,等权构建行业组合。为了使行业间赔率相对可比,计算当前赔率在过去3年数据中的历史分位数作为赔率因子。由于行业估值回复周期较长,上文研究发现大部分行业回复周期在3-4年,为了避免持仓的频繁变动及过早卖出,使用近3年历史分位数的平均值作为赔率信号。日频监控赔率信号计算行业资产仓位,使用全部申万一级行业及PE因子构建对照组。获取的资产估值数据开始于2007年7月,赔率信号需要使用过去6年的估值数据,因此我们将策略开始时间设定为2014年1月1日。

行业轮动策略:分别使用图表22展示的16个行业对应的最佳赔率因子计算赔率信号,每期在16个行业中选取赔率较高的3个行业等权构建投资组合。

对照组:分别使用31个申万一级行业及其PE计算赔率信号,每期选取赔率较高的3个行业等权构建投资组合。

使用筛选后的行业及其赔率构建的行业轮动策略表现优于万得全A及对照组,证实了基于赔率的行业轮动策略的有效性,以及优选均值回复行业、赔率因子的重要性。行业轮动策略的年化收益率达到11.28%,相对于万得全A年化超额收益3.49%,夏普比0.46,显著优于万得全A及对照组,证明了基于赔率的行业轮动策略的可行性;对照组表现劣于万得全A,证实了筛选的均值回复行业及其赔率因子对策略的重要性。

基于赔率的行业轮动策略依赖于较长期的赔率信号,了解资产及赔率因子特征尤其是均值回复周期是赔率交易的重点。我们分别尝试使用1年、1季、1月的赔率分位数均值作为赔率信号筛选行业,行业轮动策略表现逐次下滑,说明基于赔率的行业轮动策略依赖于较长窗口的赔率信号。赔率因子的均值回复周期平均在3-4年,等待盈利周期较长,短期内资产有继续下跌风险,了解资产及赔率因子特征尤其是均值回复周期是赔率交易的重点。

3.3基于赔率信号的资产配置建议

目前上证50、沪深300、中证800、万得全A的ERP(DY)均处于历史极高水平,股票赔率凸显,基于ERP(DY)的股债轮动策略给予股票较高仓位。在16个赔率因子均值回复能力较强的行业中,建筑装饰、农林牧渔、家用电器的赔率较高,具备配置性价比。需要注意的是,赔率交易策略具有较长的等待盈利周期,市场短期内有进一步下跌风险,持有相关标的在未来12个月内可能会有不错收益。

04

风险提示

1)赔率交易策略具有较长的等待盈利周期,市场短期内有进一步下跌风险。

2)市场情况发生变化导致资产估值中枢发生重大改变。

3)宏观经济状况、政策变化导致的策略失效。

评级说明及声明

加载中...