新浪财经

信任桥梁和资金流动:改善跨境支付的数字市场

IMI财经观察

关注

导读

近日,国际货币基金组织(IMF)发表了Trust Bridges and Money Flows: A Digital Marketplace to Improve Cross-Border Payments一文,概述了支撑国内支付系统的货币和信任网络的性质,并讨论跨境支付中的信息差如何使信任网络复杂化,以及数字货币简化跨境经济关系的可能方式。最后,文章概述了跨境交易和转移数字货币的概念模型,并确定了包括低风险和低成本在内的关键效率收益因素。本文旨在为市场和平台的设计提供概念基础,以促进数字货币的跨境转移。“IMI财经观察”对文章核心内容进行了编译,以飨读者。

《信任桥梁和资金流动:改善跨境支付的数字市场》

作者:

Tobias Adrian, Rodney Garratt, Dong He, and Tommaso Mancini-Griffoli

来源:

IMF Fintech Note

01

引言

跨境支付由于昂贵、缓慢且不透明,反映出多重摩擦。这些问题对低收入国家尤为严重。本文解释了为什么与跨境支付交易相关的摩擦如此普遍,并探讨了数字货币如何帮助克服或减轻一些摩擦。本文旨在为市场和平台的设计提供概念基础,以促进数字货币的跨境转移。

跨境支付之所以困难,是因为它们通常涉及多种货币和多个中介机构。将一种货币兑换成另一种货币可能并不简单,尤其是新兴市场和发展中经济体发行的货币,因为这些市场更薄、汇率波动更大。即使在外汇交易完成后,获得的资金仍然必须转移到预定的接收方。跨境资金转移涉及位于不同司法管辖区、受不同法律法规约束的各方,他们通常通过代理银行关系(CBRs)联系在一起。

信任在以信用为基础的货币交换中起着核心作用。货币的使用者需要信任货币的发行方不会违约,而发行方也必须信任用户能够满足金融诚信要求。只有信任存在,交易才有可能发生。因此,不同形式的货币之间的互操作性可以被概念化为交易所必需的可信链接网络。由于统一的法律体系和中央银行通过提供可信赖的结算资产而发挥的重要作用,这种网络可以在管辖范围内更简单地建立起来。代理银行之间建立了双边信任联系,其所需的固定成本催生了一个昂贵而集中的体系。此外,代理银行关系正在萎缩,这种现象在低收入国家中尤为明显。而有时,中央银行由于彼此信任不足从而无法实现跨境支付,所以央行之间的联系主要存在于地缘政治上接近或有共同历史联系的国家。

本文首先概述了支撑国内支付系统的货币和信任网络的性质,其次,本文讨论跨境支付中的信息差如何使信任网络复杂化,再次,本文考虑数字货币简化跨境经济关系的可能方式。最后,作者概述了跨境交易和转移数字货币的概念模型,并确定了包括低风险和低成本在内的关键效率收益因素。

02

货币和信任网络

货币包括中央银行货币、商业银行货币和非银行货币等多种形式。中央银行货币属于中央银行的负债,包括商业银行在中央银行持有的现金和非现金余额;商业银行货币是存款人在商业银行账户中持有的余额;非银行货币是保存在非银行金融机构中的余额,包括eMoney、稳定币和货币市场基金等。

所有现代货币都以信用关系为基础,代表关联方之间的债权和债务关系。从合并资产负债表的角度来看,即使是中央银行的货币也是政府的负债,并最终得到公共债务——即未来税收收入净值的可持续性支持。可持续性缺失导致的通货膨胀会削弱央行货币的价值。商业银行货币代表银行与其存款人之间的信用关系,非银行货币代表客户对非银行发行机构的索取权。相比之下,比特币等无担保的加密资产不以任何信用关系为基础,也不是任何实体的负债。

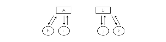
在以信用为基础的货币领域,信任扮演着关键的角色。货币持有人必须相信发行人具有弹性和可信赖的基础资产,并且其发表的声明具有一定的法律效力。发行人必须信任资金持有人满足AML/CFT和其他合规规则。因此,信任是从发行者到持有人的方向性概念,反之亦然(如图1和图2所示)。

然而,建立信任需要支付来自获取、监控信息的固定和经常性成本,需要对交易对手的事先了解,这些都会花费较多的时间和精力成本。而公共政策可以降低这一成本:完善监管和执法体系有助于提升发行方的可信度,国家身份系统、制裁名单的使用可以减小信息差,提高持有者的可信度。

命题一:基于信用的支付交易只能发生在同一信任网络的个体间。

同一家银行的两个账户持有者可以用该银行发行的货币相互支付,因为双方都信任银行并且都受到银行的信任(如图1)。因为信任基于对于参与方的了解,因此图中的箭头同样描绘了各方之间的信息往来。

图1:银行A与存款持有人h、i之间的信任关系

推论:短期内不存在信任网络之间的支付。事实上,若没有额外安排,A银行账户所有者i不可能向B银行账户所有者j付款(如图2所示)。j不会想持有A银行发行的货币,而A银行也不会想向一个不知名的人提供存款。个体i和j的信任网络互不相交。

图2:个体i和j之间的信任缺失使交易变复杂

命题二:支付交易只能在共同的基础设施上发生。图1可能涉及的基础设施包括:专门的消息传递系统、包含银行内部分类账的中央数据库。然而,当涉及多家银行时,信任关系可能存在于基础设施不足的地方,从而使支付变得不可能。(为简单起见,后续忽略此点)。

因此,支付中的互操作性问题被定义为跨信任网络的价值转移。接下来的章节将证明,在相同的货币和法律领域内,解决互操作性问题对于国内交易来说要容易得多,而跨国会带来更高的费用和更差的服务。

03

国内支付的互通性

图2中的个体i和人j似乎无法相互支付,但实际并不是这样。这是因为银行A和银行B已经解决了国内支付的互操作性问题,解决方案在于A银行将央行准备金(Ra)转移到B银行(如图3)。

图3:使用央行准备金从A银行到B银行的国内转账

注:首字母表示资产,下标表示货币。因为银行A和银行B在同一个国家,所有的资产都用货币A表示。E =权益;L =贷款;R =准备金。

该模型建立在两个基本支柱上:(1)共同结算资产,在本例中为央行准备金;(2)一个共同的平台,即央行的实时全额结算(RTGS)系统,该系统与两家银行相连,并确保结算的最终性。这两个支柱都是央行提供的必不可少的公共产品。

在这个例子中,通过建立对央行的信任来满足两家银行信任网络的桥梁。事实上,两家银行都信任央行发行的货币,这些货币不存在违约和流动性风险,并且(理想情况下)锚定在可信的货币政策和可持续的公共债务上,而央行通过监管关系了解并信任这两家银行。

因此,央行是一个强大的增强信任机制。它降低了连接信任网络的相关成本。考虑一个有多家(n)银行但没有央行的模型。银行之间的互操作性需要以巨大的成本建立 n(n-1) 个双边信任关系。相反,中央银行的存在将各银行与中央银行之间双向的信任关系减少到2n。

图4:中央银行在解决互操作性方面起到了增强信任的机制作用

图4中左半部分显示:在RTGS系统的全球扩散之前,许多银行系统在引入中央银行之前的运作方式。历史上,许多银行系统的准备金转移会在一天结束时才发生(递延净结算),但收款银行会在当天记入收款人的账户,这意味着收款人的银行必须信任付款人的银行。随着时间的推移,银行间支付的价值和数量增加到令人不安的日内风险水平,银行变得不太愿意默许。通过RTGS系统,直到结算资产从付款人的银行实际转移到收款人的银行,收款人的账户才会被记入贷方。

现实情况比这种程式化的模型要更复杂。在实践中,一些银行确实相互信任,并愿意通过在货币市场上进行日内交易,转移央行准备金来建立适度的双边风险敞口,以满足支付需求。然而,银行之间的信任水平是不稳定的。例如,在2008-09年和2011年的大金融危机期间,银行间货币市场几乎冻结。银行对外资银行采取更为谨慎的态度,这甚至导致违反了覆盖利率平价。

04

跨境支付中的互操作性

当个体i希望向另一个国家的个体j汇款时,互操作性问题变得更难解决。通用结算平台被Swift等通用信息系统所取代,该系统允许实体就结算条款达成一致,但实际上不像RTGS系统那样通过移动资产来结算交易。事实上,资金并不会跨境流动。银行也不再有共同结算资产的追索权。中央银行或其他政府机构无法在A银行和b银行之间架起信任网络的桥梁,而是需要银行建立自己的双边信任联系,往往要付出高昂的代价。图5还显示了没有跨境信托联系的银行D,其必须通过银行C和银行A开展业务。

图5:跨境信托网络涉及代理银行之间的双边关系

在实践中,由于A银行和B银行都没有共同的结算资产,这就要求银行要么向对方提供信贷(信贷模式),要么预先为潜在的跨境支付需求提供资金(预融资模式)。这两种模式都建立在两家银行之间建立的双边信任关系之上:

信用模型

在此模型中,银行A借记人个体i的帐户,并向银行B提供本票或贷款协议(IOU),银行B贷记个体j的帐户(如图6)。实质上,B银行向A银行提供信贷。这张以B货币计价的IOU要求B银行承担交易对手风险,A银行承担外汇风险。如果缺乏健全的基础信任联系,两家银行都不会承担这样的风险。

图6:通过信用模式进行跨境支付

注:首字母表示资产,下标表示货币(a或b均可),D =存款;E =权益;L =贷款;R =准备金;IOU是“我欠你的”,即信用的延长。

随着交易对手和外汇风险的增加,银行希望使其资产负债表正常化。各国之间的平衡支付流动能够自发调节资产负债表至正常状态,从B银行到A银行的信贷将与从A银行到B银行的信贷相抵消。或者,A银行可以转向更专业的持有未平仓外汇头寸的银行(例如外汇交易商)以减轻风险。A银行将通过其国内RTGS系统将货币A储备转移给交易商。反过来,经销商将通过外国RTGS系统将其在外国子公司持有的货币b储备转移给B银行。其结果是,A银行和B银行将消灭它们的借据,并随之消灭交易对手和外汇风险。但这些风险并没有消失;它们只是转移给了交易商银行,由其承担外汇风险和与入库外币相关的流动性成本。

信用模式自然导致了代理行集中化的市场结构。在A银行和B银行之间建立双边信任联系需要大量和重复的沉没成本,这些沉没成本与获取交易对手的信息及对其安全性的评估有关,此外还需要对风险对冲能力进行投资。最后,虽然上述讨论强调了与信任货币发行方相关的成本,但信任货币的发送方和接收方也会提高成本。特别是在跨国界时,客户尽职调查和其他合规程序可能存在显著差异,进一步提高了信任资金的持有者的沉没成本。能够承担这些成本的银行很少,且银行资产负债表随规模增大而变得更多样化,因此被交易对手认定的风险就越小——这是诱导市场集中的另一个因素。

先行融资模型

这种模式和信贷模式相似但不完全相同,它指的是A银行最初在B银行积累存款,并在进行跨境支付时提取这些存款(如图7)。

图7:通过先行融资模式进行跨境支付

注:首字母表示资产,下标表示货币(a或b均可),D =存款;E =权益;L =贷款;R =准备金;W = A银行向B银行发放的信贷。

在这个模型中,A银行在B银行预先为一个批发账户(Wb)提供资金。它要么从B银行的客户那里筹集资金,来向A银行的客户付款,要么将资金转移到外汇交易商那里,外汇交易商将像上面讨论的那样在B银行存入准备金。在进行跨境支付时,A银行借记个体i的账户(Da),而B银行借记A银行的批发存款(Wb),贷记个体j的账户(Db)。在这种情况下,A银行会产生流动性成本,以及与在B银行维持资金相关的外汇和交易对手风险。同样,A银行必须了解并信任B银行,这导致代理银行的市场结构集中。

同样,这两种模式中嵌入的外汇市场也往往是集中的。实际上,由于代理银行和外汇交易商试图限制货币仓储成本和风险,外汇交易往往通过少于基础支付交易的周转货币进行。与此同时,强大的网络效应强化了对周转货币的集中。一旦货币确立为周转货币,其主导地位往往会导致降低的交易成本超过了间接交换的成本。

中央银行的作用

协调失败可能会阻碍商业银行达成双边信任,商业银行关系也可能在压力时期破裂。然而,在正常时期,在发达经济体和少数新兴市场经济体之间,商业银行关系运作良好,促进了支付和外汇市场流动性。但当商业银行无法建立支持跨境支付所必需的信任联系时,中央银行会介入并提供同等的服务,产生的信任网络与前文相同(图8)。

图8:中央银行可以进行协调

在这个角色中,中央银行复制上述两种模式来促进跨境支付。信贷模式是通过中央银行之间的互换实现,而预融资模式是通过中央银行与其外国同行持有的外汇储备来实现。尽管主要是作为获取外汇的后盾,而且只在相互高度信任的中央银行之间进行,越来越多的中央银行使用互换额度。例如,在2008-09年和2011年的金融危机期间,很多银行曾寻求与美联储达成互换额度,但遭到许多国家的拒绝。如今,互换额度仅存在于少数国家的中央银行地域集群中(如美国、欧盟和中国)。在许多新兴市场和发展中经济体,央行的外汇储备是用于支付的唯一外汇来源。

图9:2020年全球存在的互换额度地图

05

改善跨境支付

本节首先指出,降低信任成本和建设全球清算所能有效改善跨境支付。再者,本节阐释了货币代币化如何影响信任关系,并提出了一个全球市场模型,以有效实现代币的跨境交换。由于该模型仍处于探索性阶段,此文仅奠定初步蓝图,后续需要进一步讨论。

提高互换额度

既然央行之间的互换额度有效地降低了外汇息差,从而降低了跨境支付的成本,为什么不将其投入更广泛的使用?全球金融危机以来,央行之间的银行和托管关系的作用越来越重要,因此我们亟需增强央行之间信任。

中央信任增强机制可以控制双边关系的高昂代价,该机制类似于中央银行之间的进行互换安排的全球清算所(如图9),它可以通过两种基本方式降低信任成本。首先,清算所可以减少创建支付网络所需的双边信任关系的数量,因为每个央行都可以只信任全球清算所。其次,清算所可以降低整体风险:它可以最大限度实现净互换、持有亏损缓冲资本、要求央行提供抵押品并分摊风险。

图10:全球清算所可实现中央银行之间的互换安排

转向代币:国内交易的基本模块

代币是指在公共分类账中记录和交易一种货币的产权。换句话说,代币的持有者被假定为其所有者,所有权通过转让工具来转移。但是,代币不等于匿名,其所有者的身份和交易的性质仍然可以进行适当监控。例如,美元,欧元和比索等稳定币正在竞相寻找其代币象征。商业银行也在探索将其存款代币化的方法,各国央行也在积极评估和试点央行数字货币(CBDC)。

当货币被代币化时,交易和结算所需的信任会发生巨大变化,而与货币价值和合规性相关的信任则不会。在网络技术和治理完善的条件下,个体一旦收到了私钥,他就成为它的唯一合法所有者。因此,代币结算只需要对网络的信任,而不再需要对交易方的信任。

然而,货币在本质上仍然是以信用为基础的,因此交易必须满足与价值和合规性相关的两个关键信任关系:(1)资金相对于接收者所在地的记账单位具有稳定性;(2)资金接收方必须满足财务诚信要求。(如图11)

图11:信任网络持有和交易代币化货币

建立这些信任联系的成本可能很高:私人货币发行者之间的竞争可能会导致用户同时持有多种货币——持有每一笔额外的货币都需要支付额外的沉没成本,以建立和维持信任联系。在代币化的世界中,介于货币发行者和最终用户之间的数字钱包提供商可以降低与信任相关的成本。

网关可以通过给特定的代币背书,从而使最终用户无需评估每个发行者是否具有稳定性。网关可以与每个货币发行者建立信任链接,但最终用户只需要与单个(或几个)网关建立信任链接。反过来,网关还会验证用户是否具有健康的财政状况。

此外,信任网络的成本还可以通过公共政策进一步降低:例如施行对货币发行者和网关的许可要求和监管。这些政策有助于降低网关对货币发行者和最终用户对网关的信任成本。此外,如果代币是由已经受到严监管机构或央行发行的,那么信任成本会进一步降低。

使用代币的跨国市场模式

加强跨境支付还可以通过建立一个数字平台市场、跨境交易代币来实现,这需要考虑两个关键因素:互操作性和外汇交易。首先,互操作性要求在不同的信任网络上将资金转移给接收者,并且可以在国内或跨境背景下进行说明。相反,外汇部分对跨境环境来说是独一无二的,因为它需要将一种货币兑换成另一种货币,然后再将其转移给最终的接收者。

互操作性:银行发行自己的债务。持有发行者A的货币的个体i想要支付持有货币b的个体j。每个人都知道并信任各自的发行人,通过网关gA和gB,反之亦然(如图12)。由于代币不再是一种排他性的双边关系,代币市场需要一种新的模式,即“多重所有权模式”。个体j可以从个体i那里得到a币,且个体j相信这些货币满足赎回标准,那么交易就能顺利进行。这种模式解决了最初为互操作性确定的两个标准:公共信任和基础设施网络。在某种程度上,个体i和j属于同一个信任网络,并且信任使用同一组货币的共同网关,那么货币就可以直接进行交易、具有可互操作性(如图12)。在具有排他性双边信用关系的传统银行业中,最终用户与一家或多家银行建立信任关系,而在数字世界中,最终用户可以通过其网关与多个货币发行方建立信任关系。

图12:基于分布式账本技术的数字货币的互操作性问题

外汇交易:个体j必须能够将以a货币兑换成j所在国内的b货币,否则j很难在当地消费。数字货币的全球市场可以解决一些外汇问题,即个体i可以兑换b货币,并被个体j接受(如图13)。交易同步发生的情况比较简单易理解,若交易非自然同步则需要网关和做市商的参与。做市商将采取与个体i相反的交易方式,即接收a币并支付b币,而对两种货币的相对需求和供给将决定市场上的汇率。

图13:数字货币跨境市场

在实践中,市场将获得跨境交易的互操作性和外汇交易的结合优势。首先,市场提供了一种增强信任的机制。由于个体i和网关在交易中无需持有b币,因此他们不需要信任b币;由于货币不再植根于一种排他性的双边信用关系,个体 i及其网关只需要信任市场。其次,由于货币类似于任何做市商都可以投标持有的标准化合约,做市商会更具竞争力。与早期的代理银行模式不同,做市商不需要与发行人a建立优先的双边关系才能与之开展业务,他们只需要与市场建立联系即可。做市商的积极参与和竞标将有助于降低跨境支付的外汇交易成本。

06

结论

现代货币依赖于信任关系,对信任关系的研究有助于我们理解跨境支付存在的难题,尤其是发展中国家间的交易。在国家内部,中央银行通过提供共同的结算资产和结算平台、消除成本高昂的双边信任关系,在市场参与者之间发挥增强信任的机制性作用。

但由于不同的国家使用不同的货币和银行体系,不存在跨境支付相关的共同结算资产或平台。在这种情况下,交易各方间的双边信用关系愈发重要,但这些关系通常比较稀缺且代价高昂。中央银行目前正通过互换额度以提供流动性,不过创建额度所必需的央行间的信任却非常不稳定且稀少。

本文为跨境支付提供了两种可能的解决方案。首先,建立全球清算所可以消除了对双边信任关系的需求,但可能会出现各种现实障碍。其次,形成代币交易市场不仅可以减少对双边信任关系的需求,还能够促进更高效、更有竞争力的做市行为。

扫码获取英文原文

    来源:IMI财经观察

    加载中...