新浪财经

CRMW研究手册:为信用债上一份“保险”

债市研究

关注

正文

2023年6月底,交易商协会发布《关于进一步提升债务融资工具融资服务质效有关事项的通知》,其中提出鼓励用好民营企业债券融资支持工具,综合运用信用风险缓释凭证(CRMW)、信用联结票据(CLN)、担保增信、交易型增信等多种方式,积极为符合条件的民营企业发债融资提供增信支持。

01

信用风险缓释工具:为信用债上一份“保险”

信用风险缓释工具(Credit Risk Mitigation,CRM)本质是一种标的资产为单一公司债券的双边金融契约,能对债券发行人起到增信作用并且适用于国内市场。我国的信用风险缓释工具借鉴了国外的传统信用违约互换,并基于传统信用违约互换的特点,在继承其信用风险管理的功能的同时,降低了交易风险和市场风险。

1.1 分类:合约类&凭证类产品

我国信用风险缓释工具可分为合约类和凭证类产品,合约类产品包括:信用风险缓释合约(CRMA)、信用违约互换(CDS)和信用保护合约,是由交易双方一对一签署,非标准化的合约类产品不可转让;凭证类产品包括:信用风险缓释凭证(CRMW)、信用联结票据(CLN)和信用保护凭证,是由具有创设资格的核心交易商机构创设的标准化的场内产品,并且可以通过交易系统转让。

信用风险缓释合约(CRMA):是由买方和卖方所签订的一种金融合约,双方在合约中约定,在未来特定期间内,买方依据合约中约定的费用标准及收取情况向卖方支付信用保护费,在合约规定的标的债务存续期间,卖方在收取信用保护费的同时,承担向买方提供信用风险保护的责任,如果未来标的债务发生违约情况,卖方需按照合约约定给予买方相应的赔偿。此外,CRMA是买卖双方私下一对一签署的合同,不可在二级市场流通转让。

信用违约互换(CDS):与CRMA产品结构类似,区别在于CDS的标的为一个或多个参考实体。CDS分为单名CDS和CDS指数,CDS指数是根据一篮子参考实体相关信息编制的单名CDS等产品的集合。

信用保护合约:与CRMA和CDS产品结构类似,但为交易所产品。其中,组合型信用保护合约(简称CDX合约)是指合约交易双方达成的,以特定CDX组合项下全部参考实体或其符合特定债务种类和债务特征的全部债务为保护对象的信用保护合约。

信用风险缓释凭证(CRMW):是由已在交易商协会备案的创设机构创设的一种标准化的可在二级市场上进行转让的有价凭证,投资者在购买标的债券的同时可以选择是否购买其附加的CRMW,如果选择购买,则需要定期向创设机构支付一定的费用,未来如果标的债券发生违约情况,投资者可以依据凭证创设约定向创设机构索取赔付,如果不选择购买,就需自行承担标的债券的违约风险。

信用联结票据(CLN):是由已在交易商协会备案的创设机构向投资人创设的一种标准化且可在二级市场进行转让的凭证类产品,投资人以认购凭证的本金在参考实体发生信用事件时承担相应损失,投资人投入本金认购CLN后,定期收取利息和信用风险保护费的双重收益,CLN是把投资人的投资回报和参考实体的信用状况挂钩,若参考实体未发生违约情况,则投资人可获得投入的本金、利息及保护费,若参考实体发生违约情况,则投资人需用本金向创设机构进行赔付。

信用保护凭证:由凭证创设机构创设,就一个或多个参考实体或其符合特定债务种类和债务特征的一个或多个、一类或多类债务向凭证持有人提供信用保护。信用保护凭证的投资者向创设机构支付相关保护费,信用保护凭证可在投资人间挂牌转让。当信用事件发生后,由信用保护凭证的创设机构向信用保护凭证的投资人完成相关赔付责任。

从近年来的凭证类产品的发行规模来看,CRM市场以CRMW产品为主,近三年CRMW产品发行数量平均占据了72%的市场体量;其次为信用保护凭证,2021年、2022年、2023年1-7月分别发行了35只、77只和42只;发行量最少的是CLN品种,整个市场合计只发行了26只产品。

1.2 发展历程:目前处于快速发展期

我国信用风险缓释工具的发展历程可以划分为三个阶段:

第一阶段:创设期(2010年-2015年)。2010年10月,交易商协会发布《银行间市场信用风险缓释工具试点业务指引》,正式推出信用风险缓释工具(CRM),仅包括信用风险缓释合约(CRMA)和信用风险缓释凭证(CRMW)两类。期间,CRM市场仅发行了9只产品,均为CRMW,创设规模7.4亿元,并且2012年-2015年间均无产品发行,CRM市场活跃度很低。

第二阶段:重振期(2016年-2018年)。在债券市场信用风险加剧,弱资质主体融资难、融资贵背景下,交易商协会于2016年9月发布《银行间市场信用风险缓释工具试点业务规则》,降低了信用风险衍生品参与者的进入门槛,简化了相关流程,并在原有两款产品的基础上新增了信用违约互换(CDS)和信用联结票据(CLN)。当年,市场在沉寂4年后新发了一只CRMW产品,创设规模8亿元。

2018年10月,交易商协会发布《关于信用风险缓释工具一般交易商备案有关事项的通知》,进一步完善信用风险缓释工具自律管理制度;同时,央行发布《中国人民银行引导设立民营企业债券融资支持工具》,再度重提信用风险缓释概念,为稳定和促进民企债券的顺利发行,带来一波创设潮。2018年,CRM市场共创设了54只CRMW和2只CLN产品,创设金额分别为64.05亿元和0.6亿元,标的主体以民企为主。

第三阶段:快速发展期(2019年至今)。2019年5月,银保监会发布《关于保险资金参与信用风险缓释工具和信用保护工具业务的通知》,明确了保险资金可参与信用风险缓释工具和信用保护工具,但只能以对冲风险为目的进行参与。2020年10月,在信用保护合约业务试点稳健运行基础上,深交所正式发布《关于开展信用保护凭证业务试点的通知》,鼓励更多市场机构参与信用保护工具业务。2022年,深交所和上交所多次发布信用保护工具等相关管理办法/业务指引,进一步完善和规范CRM市场。2019年-2023年7月底,市场共创设了CRMW、CLN、信用保护凭证624只、24只、159只;创设规模分别为1020.68亿元、22.78亿元和124.16亿元。

02

CRMW条款特征全梳理

CRMW是标准化的合约,其内部条款具有较强的统一性,我们用2023年新发的“浙商银行股份有限公司2023年度第一期23西安高科MTN001信用风险缓释凭证”(简称“23浙商银行CRMW024”)为例,对CRMW具体条款进行分析解读。

(1)投资者范围:核心交易商或一般交易商。根据“23浙商银行CRMW024”的募集说明书,CRMW的投资者范围为已签署和备案《中国银行间市场金融衍生产品交易主协议(凭证特别版)》的银行间债券市场投资人,而未在交易商协会备案为信用风险缓释工具核心交易商或一般交易商的,须在交易达成后30个自然日内备案成为一般交易商。

(2)结算方式:以实物结算为主,早期产品采用现金结算。“23浙商银行CRMW024”采用实物结算,在结算条件(破产、支付违约)满足之日后的10个营业日内,投资人以标的债务票面金额向创设机构交割与凭证名义本金金额等值的标的债务,创设机构在同日向投资人支付实物结算金额。实物结算金额=投资人持有的凭证名义本金金额+截至标的债务到期日标的债务对应面值的应付未付利息。

此外,我们发现仅部分早起创设的部分CRMW采用过现金结算方式,后期基本以实物结算为主。

(3)信用事件:破产、支付违约,大部分产品会设置3个营业日的宽限期。“23浙商银行CRMW024”设置的信用事件包括破产和支付违约,同时设置了3个营业日的宽限期,起点金额为100万元。宽限期与起点金额作为限制因素,目的在于避免参考实体因内部管理疏忽或支付系统故障等原因没有支付小额到期债务,却构成了一项支付违约的情形。

此外,需要强调的是,债券展期可能不会触发“支付违约”。官方对于“支付违约”的解释是“参考实体未按约定在标的债务的支付日足额履行支付义务, 未支付款项总金额超过适用的起点金额,且在适用的宽限期届满时仍未纠正”。这意味着,如果在底层债券资产到期日前,债券持有人会议通过了债券展期议案,使得底层债券资产的支付日延期,那么在展期前约定的到期日该笔债券就不会触发“支付违约”。

另外,关注底层标的债券的“交叉违约”条款带来的风险。目前市场中已发行的CRMW底层债券中不少债券都有交叉违约条款,当同一主体其他债券违约时,就有可能触发标的债券的交叉违约条款,从而触及CRMW的信用事件。

(4)信用保护费支付:前端付费方式,在一定程度上“稀释”了投资者的实际收益。“23浙商银行CRMW024”的信用保护费安排在标的债券每存续年期初缴付,CRMW这种前端付费方式会使得投资者的付费和票息收入是错位的,使得投资者获得的IRR实际低于标的债券票面利率-CRMW保护费费率,并且保护费费率高,或部分前端一次性支付2年/3年的保护费的CRMW对投资者的实际收益率影响会更大,因此对于投资者来说在认购CRMW产品时,一定要提前确认好保护费支付方式,尽量避免一次性付费的长期限产品。

以“23浙商银行CRMW024”为例,底层标的债券票面利率为6.3%,保护费率为1.8%,简单测算,投资者的收益率=6.3%-1.8%=4.5%。

但是该CRMW的保护费是在每存续年期初缴付,这种前端付费方式使得投资者的实际收益率={(100+6.3%*100)/(100+1.8%*100)}-1=4.42%,相比简单计算方式下,“稀释”了投资者0.08%的收益,并且对于一些保护费率较高,或者前端一次性支付2年/3年的保护费的CRMW的产品,其被“稀释”的收益更高。

(5)凭证保护期限并不会完全覆盖债券存续期限。“23浙商银行CRMW024”的信用保护期限在2023年4月18日-2026年4月18日,能覆盖底层标的债券3+2期限的前三年,而回售日后存续规模CRMW将不覆盖。

03

CRMW如何定价?

3.1 一级创设费定价

CRMW产品的创设费价格是影响投资者实际收益的重要因素,创设费价格越高,投资者的实际收益越低,因此,我们进一步研究CRMW创设费的主要影响因素。

因变量:创设费价格Y

自变量:(1)标的债券票面利率X1:底层标的债券是CRMW产品的增信对象,标的债券信用资质越弱,其票面利率会越高,从而创设费越高。

(2)创设机构资质X2:投资者购买CRMW这样一个“保险”产品,实际上是信任创设机构的信用资质,而信用资质越强的创设机构其增信力度也更大,因此创设费通常也会更高。

我们将创设机构分为大型国有行、股份行、城商行、农商行、外资法人银行、担保机构(中债资信)、大体量券商(资产规模排名行业前十)、非大体量券商。我们认为其中城商行、农商行、外资法人银行、非大体量券商类别的创设机构的信用资质整体相对会略弱一点,将其虚拟变量设定为1;大型国有行、股份行、担保机构(中债资信)、大体量券商(资产规模排名行业前十)信用资质整体相对更强,将其虚拟变量设定为0。

(3)CRMW期限X3:CRMW的期限越长,未来创设机构面临的不确定性风险越高,其要求的创设价格越高。

(4)覆盖比例X4:覆盖比例或也会影响创设费价格的大小。

多元线性回归模型:Y=C+a1X1+a1X2+a3X3+a4X4+ε

回归结果分析:

(1)多元线性回归模型的解释力度整体较强,调整后的可决系数为0.64;

(2)标的债券票面利率X1、创设机构资质X2、CRMW期限X3的系数均为正,且P值均小于0.05,表明标的债券票面利率、创设机构资质、CRMW期限等因素对创设价格均有显著影响,且均为正相关关系,即说明,标的债券票面利率越高,创设机构资质越强,CRMW覆盖期限越长,创设费价格越高。

从系数的绝对值大小来看,标的债券票面利率X1的系数最高,当底层票面每提升1%,创设价格会提升0.66元。

(3)覆盖比例X4的P值明显高于0.05,与创设价格相关度不显著,说明覆盖比例指标与产品创设费价格关系不大。

3.2 二级中债估值

2019年6月,中债金融估值中心有限公司发布《中债信用风险缓释凭证估值方法论(试行)》,其中对CRMW的估值方法本质上是现金流折现法,主要思路为:创设机构发行 CRMW 相当于对标的债券的违约风险提供一个保险。对于持有标的债券的 CRMW 买方,其承担的信用风险从“标的债券”的信用风险降低至“被保险后标的债券”的信用风险。因此,CRMW提供的“保险估值”可通过“被保险后标的债券”与“标的债券”之间的价格差异计算得到。

中债 CRMW 估值方法提供“CRMW 估值”与“CRMW 参考费率”两个指标体现“保险估值”。

CRMW 估值体现买方持有 CRMW 的净收益。对于前端一次性付费的 CRMW,其估值即为“保险估值”;对于多次付费的 CRMW,其估值可以视为从“保险估值”中,扣除未来仍需要支付的信用保护费的现值,信用保护费根据 CRMW 发行时约定的信用保护费费率乘以名义本金计算得到。此外,中债 CRMW 估值方法综合考虑CRMW 流动性等因素,形成最终的 CRMW 估值。

CRMW 参考费率为,保持其他条款不变,假设估值日当天新发行的一个与标的债券剩余期限相同的 CRMW 的信用保护费费率,可根据“保险估值”反算得到。

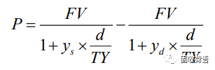
(1)保险估值

当 CRMW 标的债券为到期一次还本付息债券或标的债券为附息式债券但已处于最后付息周期时,保险估值为:

其中,P为估值日的保险估值;FV为标的债券到期时还本付息金额;TY:为标的债券计息年度天数;d为估值日到标的债券到期日实际天数;ys为保险后标的债券估价收益率;yd为标的债券估价收益率。

当 CRMW 标的债券为附息式债券且不处于最后付息周期时,以不含权的按年付息的标的债券为例,在标的债券起息日 CRMW的保险估值为:

其中,P为估值日的保险估值;CF1,2,⋅⋅⋅,n为标的债券底1,2,…,n 次现金流。

(2)CRMW估值

以按年付费的 CRMW 为例,在标的债券起息日 CRMW 估值为:

其中,VCRMW为 CRMW 估值;CFCRMW为未来每次支付的信用保护费;m为未来CRMW 剩余付费次数;r1,2,⋅⋅⋅,m为期限为 1,2,…, m年的对应收益率。

对于前端一次性付费的 CRMW,由于后续没有信用保护费支出,CRMW 估值等于保险估值。

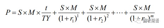
(3)CRMW参考费率

CRMW 参考费率根据估值日 CRMW 的保险估值反算得到。以按年支付保费且期初付费的 CRMW 为例,参考费率可通过下式反算得到:

其中,P为估值日的保险估值;S为估值日 CRMW 的年化参考费率;M为CRMW 的名义本金;TY为标的债券计息年度天数;t为估值日到下一信用保护费支付日的实际天数;m为 CRMW 剩余付费次数;r1,2,⋅⋅⋅,m为期限为 1,2,…, m年的对应收益率。

04

CRMW一级发行特征

4.1 2019年以来创设节奏加快,保障比例偏低

在2017年底起民企暴雷增加,弱资质主体融资难、融资贵背景下,2018年10月央行再度重提信用风险缓释概念,为稳定和促进民企债券的顺利发行,带来一波创设潮,2018年10月-12月就创设了54只产品,创设规模64.05亿元,其中民企标的的占比高达92.59%。

后续,CRMW的创设节奏明显加快,但保障比例整体仍较低。截止2023年7月底,全市场共创设688只产品,创设规模合计1100.13亿元,并且我们预测2023年将是CRMW的发行大年,前7个月的创设规模就已经与去年全年规模持平。

从保障比例来看,近年来创设的CRMW的平均保障比率基本维持在30%-40%左右,保障比率整体较低,说明并不是所有购买底层债券标的的投资者都对应去匹配了CRMW,主要是因为CRMW采用投资者付费制度,购买会损失掉一部分收益。

4.2 商业银行创设产品占比高达81%

CRMW产品的创设机构可以理解为“保险产品”的提供方,如果未来标的债券发生违约,投资者可以依据凭证创设约定向创设机构索取赔付;创设机构需要在交易商协会备案,截止2023年7月底,在案CRMW创设机构共有58家,包括政策性银行1家、国有行6家、股份行11家、城商行16家、农商行3家、外资行3家、券商17家、担保公司1家。

从CRMW历年来的创设数据来看,商业银行创设为市场主流,近年来创设产品占比高达81.25%,其中浙商银行、杭州银行、交通银行、徽商银行、东莞银行和兴业银行创设的CRMW数量较高,分别为161只、75只、57只、45只、25只和25只;另外,担保机构创设的规模也较高,中债增信共创设了69只产品,占比10.03%。

4.3 创设价格与标的票面呈明显正相关关系

目前市场中已发行的CRMW产品的创设产品价格区间在0.1元-4.7元,分化很大,创设价格最低的是一只隐含评级为AA的绿色超短融“22海峡环保GN002”,地方国企债,票面利率2.63%;而创设价格最高的是一只债项隐含评级为A+的民企债“22东阳光SCP002”,票面利率7.0%。

我们认为,由于创设机构需要承担相应的赔付风险,CRMW产品的创设价格的高低能反映出标的主体的信用资质的差异,隐含评级为AA、AA(2)、AA-和A+的标的债券的平均创设价格分别为0.87元、1.62元、2.23元和2.46元,主体评级也有同样的表现。

此外,创设价格与标的债券票面利率之间,也呈现明显正相关关系,相关系数高达0.79,通常信用资质弱的债券的发行票面会较高,对应CRMW产品的创设价格也会更高。

4.4 底层标的债券有着高票息、短久期的特征,CRMW认可度有所提升

CRMW产品出台的目的在于解决企业融资难、融资贵的问题,因此其底层标的债券多为一些偏弱资质的债券,因此有着高票息特征,6%-7%、5%-6%、4%-5%票面的标的债券占比分别为29%、27%和24%。

从底层标的债券的行权发行期限来看,有55%的标的债券的期限在1年以内,整体期限偏短,我们认为这反应出市场投资者整体对于此类弱资质信用债和CRMW产品的增信效力整体仍偏谨慎;但近年来标的债券的平均期限已有明显的提升,由2018年的0.80年提升到了2022年的1.78年,反映出随着市场对于CRMW产品的认知加深,对其增信效力的认可度有所提升。

4.5 创设标的逐渐由民企向国企、城投转移

CRMW产品底层创设标的资产发行主体的类型发生了结构性的改变:

(1)2018年以前,市场仅发行了10单CRMW产品,除了TCL是公众类企业外,其余9家均为央企和地方国企,主体评级也整体较高,当时的发行目的也主要是监管引导的“发行试水”,重在宣传。

(2)2018年10月央行再度提起信用风险缓释工具(CRM)概念,以稳定和促进民企债券发行,当年发行的54只产品中有50只均为民企,民企占比92.59%;后2019年和2020年延续了民企为主的态势,民企占比分别为76.19%和68.48%。

(3)而在2021年供给侧改革和城投端融资明显收紧后,创设机构开始明显转向诸如煤炭、钢铁等周期性产能过剩行业的国企,以及弱资质城投企业,致使当年民企标的占比跌至44.44%,而城投主体的占比攀升至36.11%左右;后一直延续上述态势,2023年1-7月,民企标的占比已跌至27.64%,城投标的占比升至47.15%。

标的城投主体分省份来看,主要以江苏、安徽、重庆、湖南、浙江等经济相对发达省份的城投主体为主,而真正融资环境较差的区域采用CRMW增信方式的不多;标的产业/金融主体分行业来看,主要是基础化工、医药生物、房地产、非银金融、建筑装饰、建筑材料等行业采用CRMW增信方式较多。

05

CRMW二级市场特征

5.1 市场参与者少,银行和资管产品管理人是主要交易机构

CRMW的投资者范围为已签署和备案《中国银行间市场金融衍生产品交易主协议(凭证特别版)》的银行间债券市场投资人,分为核心交易商和一般交易商。根据交易商协会官网披露,截止2023年7月底,市场中有核心交易商66家,主要为商业银行和证券公司;另有56家一般交易商,为各类型资产管理人,涉及308只资管产品。

银行和资管产品管理人是主要交易机构。根据交易商协会官网披露的《2022年信用风险缓释工具市场运行情况》报告中提到,CRM交易净卖出的机构主要是股份制银行、城商行和国有大型银行,净卖出名义本金合计251.32亿元。CRM交易净买入的机构主要是资管产品管理人、外资银行和农商行,净买入名义本金合计248.91亿元。资管产品管理人中,公募基金、私募基金和证券公司资管投资活跃,净买入名义本金分别为134.20亿元、14.70亿元和8.55亿元,期货公司资管和保险资管也买入少量保护。此外,证券公司和信用增进机构全年买入和卖出规模相对接近,规模均较小。

整体看,相比于传统债券市场,CRMW的市场参与者数量较少,且类型相对较为单一,银行和资管产品管理人是主要交易机构,交易活跃度较低,较为缺乏流动性。

5.2 无法裸卖空,利于发挥增信初衷,但制约了市场活跃度

根据交易商协会发布的《银行间市场信用风险缓释工具试点业务规则》,要求:任何一家核心交易商的信用风险缓释工具净卖出总余额不得超过其净资产的500%,任何一家一般交易商的信用风险缓释工具净卖出总余额不得超过其相关产品规模或净资产的100%,并且任何一只资产管理产品的信用风险缓释工具净卖出总余额不得超过相关产品规模的100%,即通过控制卖方的净卖出额度,对卖空方的交易量进行限制。

此外,若底层标的债券违约或实体破产,与国外现金交割为主流的交易方式(可以裸卖空)不同,我国近年来新发的CRMW产品均采用实物结算方式,即违约时仍需持有标的债券进行交割,因此我国的CRMW产品的投资者需要将主体债券和CRMW同时买入,限制了CRMW的裸卖空行为,在一定程度上制约了CRMW的投机行为,更加能发挥出其增信的本质初衷,但也同时限制了CRMW市场的活跃度和市场化水平。

5.3 能有效提高标的债券的流动性

我们观测CRMW标的债券近年来年度换手率的情况,CRMW刚大规模发行的2018年和2019年,底层标的债券的换手率处于较高水平,分别为122.30%和170.39%;而2020年及以后开始大幅回落,年度换手率在90%-110%之间波动。

我们认为,前期CRMW标的债券的换手率处于较高水平,是因为当时市场对于CRMW产品的理解不深,或存在一些“CRMW能改善市场对该主体的认可度”的非理性认知,从而提高了标的债券的换手率。

对比相同发行人下的CRMW标的债券和非标的债券的换手率数据,标的债券的换手率是高于非标的债券的,例如2023年1-7月,二者换手率分别为82.64%和71.48%,因此,CRMW产品的创设能有效提高标的债券的流动性。

06

CRMW怎么投?

CRMW产品在给投资者带来风险对冲机会的同时,也会给高风险偏好者带来高收益的投资机会,市场上传统主流的CRMW产品的投资策略包括三类:

投资策略一:“标的债券+CRMW”组合投资,锁住风险

投资者持有“标的债券+CRMW”组合,可在付出一定创设费的代价下,获得创设机构的增信,因此组合投资的信用风险可看作是创设机构发行的普通债券的信用风险,则“标的债券收益率-创设费”与“创设机构债券”之间可能存在一定的套利机会。

CRMW产品样本选择:我们关注截止2023年7月底仍然存续的CRMW产品,并剔除:(1)创设费价格缺失;(2)底层标的债券为ABS或ABN;(3)创设机构为中债增信、多家机构等产品,剩余218只CRMW产品。

对比债券选择:(1)对比债券需为同一银行/券商创设机构发行的债券;(2)债券类别选择商业银行普通债、证券公司普通债、证券公司短期融资券,无次级/永续债;(3)对比债券无担保等增信措施,且对应行权剩余期限相匹配。

我们通过利用当前符合条件的218只 CRMW产品底层标的债券的2023年8月2日的行权中债估值,扣减创设费后,与对应创设机构&对应行权剩余期限的银行/券商普通债的平均行权估值进行对比,计算超额利差。

结果显示,有144只CRMW产品存在符合条件的对比债券,可计算获取超额利差,我们发现基本符合底层标的债券的评级越低,剩余期限越长,其获取超额利差的空间越大的逻辑。

我们认为,对于以大型国有行、股份行或头部券商为创设机构,且目前有较高超额利差的“标的债券+CRMW”组合机会,具有投资价值,可在二级市场关注相关投资机会。

例如交通银行创设的“23交行CRMW013”,底层标的为“23易鑫租赁SCP002”,剩余期限0.62年,在当前时点同时在二市场买入标的债券+CRMW,可获得相比买入交行普通债的98bps的超额利差,同时还能获得交行的增信,性价比很高。

投资策略二:仅买入标的债券

我们认为,投资者仅买入标的债券,而不买入CRMW策略是否成功,取决两个条件:(1)该标的债券不会违约;(2)该标的债券相比同一主体的其他债券更具有性价比。

首先,对于条件1,CRMW产品标的债券通常期限比较短,因此我们建议高风险偏好的投资者重点关注1年以内短久期标的债券的投资机会,在承受一定风险的同时博取短期高回报。

对于条件2,首先,我们在前文发现,CRMW产品的创设能有效提高标的债券的流动性,比相同发行人的非标的债券有着更高的成交换手率;其次,与相同发行人的同评级同久期债券相比,CRMW产品的创设或许会在一定程度上降低该标的债券的信用利差,但从统计数据上来看,该结论更适用于隐含评级AA-级及以下的低评级债券,并不具有普适性。

我们计算了目前存续的CRMW产品底层债券的2023年8月2日的信用利差,与相同发行人的非标的债券的信用利差做对比,AA-级标的债券的信用利差明显低于非标的债券10-100bps不等。但是,其他评级下并没有该规律,该规律或不具有普适性。

投资策略三:CRMW保护期内的“发行人跟随”策略

CRMW保护期内的“发行人跟随”策略,即为买入CRMW保护期内,相同发行人的非标的债券。该策略的逻辑在于,若发行人名下出现一只债券违约,那么同一发行人的其他债券也会大概率违约;并且,基于目前市场暂无CRMW保护期内同一发行人出现违约的情况,因此市场认为,在CRMW保护期内,同一发行人其他标的债券违约的概率较小。“发行人跟随”策略可以达到既控风险、又增收益的目的。

但是我们认为,CRMW的作用更多的是在于解决企业融资难、融资贵的问题,可以有效的促进单只债券的发行,但是对于发行主体的整体信用资质的改善作用较为有限,因此我们认为“发行人跟随”策略整体信用风险较大,建议慎用。

07

风险提示

市场风险超预期。市场出现超预期风险事件,易引发系统性风险,影响债券市场整体走势。

政策边际变化。市场政策不确定性较大,将影响市场整体情况,进而带来投资风险。

加载中...